Aqueous Two-Phase System Extraction of Polyketide-Based Fungal Pigments Using Ammonium- or Imidazolium-Based Ionic Liquids for Detection Purpose: A Case Study
Abstract
1. Introduction
2. Materials and Methods
2.1. Selection of the Ionic Liquids and Formation of the Kosmotropic Salt Buffer
2.2. Fungal Strains and Culture Conditions
2.3. Binodal Curves Determination
2.4. Fungal Pigments Partitioning Using Ionic Liquids in an Aqueous Two-Phase System Extraction
2.5. Determination of the Coefficients of Partition of Pigments (Kpigment)
2.6. Determination of the Selectivity of Type of Pigments Ratio (Spigment)
2.7. Determination of the Extraction Efficiencies (Eff%)
3. Results
3.1. Determination of Biphasic Systems Using Binodial Curves
3.2. Effect of the Ionic Liquids Aqueous Two-Phase System Extraction in the Partitioning of Fungal Pigments
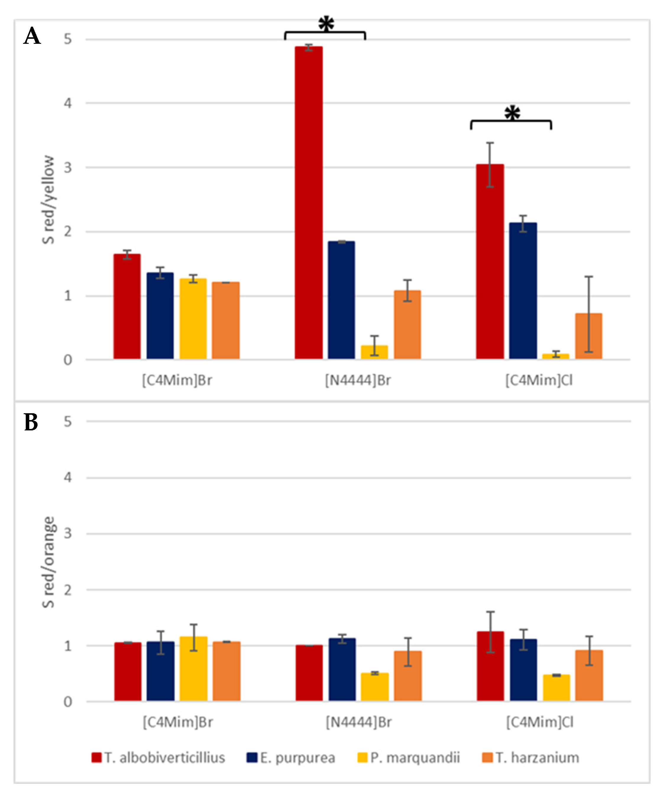
3.3. Selectivity of the IL-ATPS for Red Pigments in Various Fungal Broths
3.4. Reverse Extraction of the Fungal Pigments from the IL-ATPSs
4. Conclusions
Supplementary Materials
Author Contributions
Funding
Conflicts of Interest
References
- Křížová, H. Natural dyes: Their past, present, future and sustainability. In Recent Developments in Fibrous Material Science; Křemenáková, D., Militký, J., Mishra, R., Eds.; Kanina-o.p.s: Kanina, Czech Republic, 2015; pp. 59–71. [Google Scholar]
- Chaitanya Lakshmi, G. Food coloring: The natural way. Res. J. Chem. Sci. 2015, 4, 87–96. [Google Scholar]
- Dufossé, L.; Fouillaud, M.; Caro, Y.; Mapari, S.A.S.; Sutthiwong, N. Filamentous fungi are large-scale producers of pigments and colorants for the food industry. Curr. Opin. Biotechnol. 2014, 26, 56–61. [Google Scholar] [CrossRef] [PubMed]
- Caro, Y.; Venkatachalam, M.; Lebeau, J.; Fouillaud, M.; Dufossé, L. Pigments and colorants from filamentous fungi. In Fungal Metabolites. Reference Series in Phytochemistry; Merillon, J.M., Ramawat, K.G., Eds.; Springer: Cham, Switzerland, 2017; pp. 499–568. [Google Scholar]
- Chemat, F.; Vian, M.A.; Cravotto, G. Green extraction of natural products: Concept and principles. Int. J. Mol. Sci. 2012, 13, 8615–8627. [Google Scholar] [CrossRef] [PubMed]
- Joshi, D.R.; Adhikari, N. An overview on common organic solvents and their toxicity. J. Pharm. Res. Int. 2019, 28, 1–18. [Google Scholar] [CrossRef]
- Han, D.; Row, K.H. Recent applications of ionic liquids in separation technology. Molecules 2010, 15, 2405–2426. [Google Scholar] [CrossRef]
- Ghandi, K. A review of ionic liquids, their limits and applications. Green Sustain. Chem. 2014, 4, 44–53. [Google Scholar] [CrossRef]
- Mussagy, C.U.; Santos-Ebinuma, V.C.; Gonzalez-Miquel, M.; Coutinho, J.A.P.; Pereira, J.F.B. Protic ionic liquids as cell-disrupting agents for the recovery of intracellular carotenoids from yeast Rhodotorula glutinis CCT-2186. ACS Sustain. Chem. Eng. 2019, 7, 16765–16776. [Google Scholar] [CrossRef]
- Pereira, M.M.; Coutinho, J.A.P.; Freire, M.G. Ionic liquids as efficient tools for the purification of biomolecules and bioproducts from natural sources (Chapter 8). In Ionic Liquids in the Biorefinery Concept: Challenges and Perspectives; Bogel-Lukasik, R., Ed.; Royal Society of Chemistry: London, UK, 2016; pp. 227–257. [Google Scholar]
- Egorova, K.S.; Gordeev, E.G.; Ananikov, V.P. Biological activity of ionic liquids and their application in pharmaceutics and medicine. Chem. Rev. 2017, 117, 7132–7189. [Google Scholar] [CrossRef]
- Plechkova, N.V.; Seddon, K.R. Applications of ionic liquids in the chemical industry. Chem. Soc. Rev. 2008, 37, 123–150. [Google Scholar] [CrossRef]
- Capela, E.V.; Coutinho, J.A.P.; Freire, M.G. Application of Ionic Liquids in Separation and Fractionation Processes. In Green Chemistry and Chemical Engineering; Han, B., Wu, T., Eds.; Encyclopedia of Sustainability Science and Technology Series; Springer: New York, NY, USA, 2019; pp. 637–665. [Google Scholar]
- Ventura, S.P.M.; Gonçalves, A.M.M.; Sintra, T.; Pereira, J.L.; Gonçalves, F.; Coutinho, J.A.P. Designing ionic liquids: The chemical structure role in the toxicity. Ecotoxicology 2013, 22, 1–12. [Google Scholar] [CrossRef]
- Freire, M.G.; Neves, C.M.S.S.; Marrucho, I.M.; Coutinho, J.A.P.; Fernandes, A.M. Hydrolysis of tetrafluoroborate and hexafluorophosphate counter ions in imidazolium-based ionic liquids. J. Phys. Chem. A 2010, 114, 3744–3749. [Google Scholar] [CrossRef] [PubMed]
- Jastorff, B.; Störmann, R.; Ranke, J.; Mölter, K.; Stock, F.; Oberheitmann, B.; Hoffmann, W.; Hoffmann, J.; Nüchter, M.; Ondruschka, B.; et al. How hazardous are ionic liquids? Structure-activity relationships and biological testing as important elements for sustainability evaluation. Green Chem. 2003, 5, 136–142. [Google Scholar] [CrossRef]
- Cserjési, P.; Bélafi-Bakó, K.; Nemestóthy, N.; Gubicza, L. Recent trends on application of ionic liquids in organic synthesis. Hung. J. Ind. Chem. Veszprém 2008, 36, 27–34. [Google Scholar]
- Luís, A.; Dinis, T.B.V.; Passos, H.; Taha, M.; Freire, M.G. Good’s buffers as novel phase-forming components of ionic-liquid-based aqueous biphasic systems. Biochem. Eng. J. 2015, 101, 142–149. [Google Scholar] [CrossRef]
- Mcqueen, L.; Lai, D. Ionic liquid aqueous two-phase systems from a pharmaceutical perspective. Front. Chem. 2019, 1, 135. [Google Scholar] [CrossRef]
- Gutowski, K.E.; Broker, G.A.; Willauer, H.D.; Huddleston, J.G.; Swatloski, R.P.; Holbrey, J.D.; Rogers, R.D. Controlling the aqueous miscibility of ionic liquids: Aqueous biphasic systems of water-miscible ionic liquids and water-structuring salts for recycle, metathesis, and separations. J. Am. Chem. Soc. 2003, 125, 6632–6633. [Google Scholar] [CrossRef]
- Suarez Ruiz, C.A.; Emmery, D.P.; Wijffels, R.H.; Eppink, M.H.; van den Berg, C. Selective and mild fractionation of microalgal proteins and pigments using aqueous two-phase systems. J. Chem. Technol. Biotechnol. 2018, 93, 2774–2783. [Google Scholar] [CrossRef]
- Freire, M.G.; Neves, C.M.S.S.; Marrucho, I.M.; Canongia Lopes, J.N.; Rebelo, L.P.N.; Coutinho, J.a.P. High-performance extraction of alkaloids using aqueous two-phase systems with ionic liquids. Green Chem. 2010, 12, 1715. [Google Scholar] [CrossRef]
- Cláudio, A.F.M.; Marques, C.F.C.; Boal-Palheiros, I.; Freire, M.G.; Coutinho, J.A.P. Development of back-extraction and recyclability routes for ionic-liquid-based aqueous two-phase systems. Green Chem. 2014, 16, 259–268. [Google Scholar] [CrossRef]
- Flieger, J.; Czajkowska-Zalazko, A. Ionic liquids in separation techniques. J. Chromatogr. A 2011, 1184, 6–18. [Google Scholar]
- Lebeau, J.; Venkatachalam, M.; Fouillaud, M.; Petit, T.; Vinale, F.; Dufossé, L.; Caro, Y. Production and new extraction method of polyketide red pigments produced by ascomycetous fungi from terrestrial and marine habitats. J. Fungi 2017, 3, 34. [Google Scholar] [CrossRef] [PubMed]
- Venkatachalam, M.; Zelena, M.; Cacciola, F.; Ceslova, L.; Girard-Valenciennes, E.; Clerc, P.; Dugo, P.; Mondello, L.; Fouillaud, M.; Rotondo, A.; et al. Partial characterization of the pigments produced by the marine-derived fungus Talaromyces albobiverticillius 30548. Towards a new fungal red colorant for the food industry. J. Food Compos. Anal. 2018, 67, 38–47. [Google Scholar] [CrossRef]
- Vinale, F.; Marra, R.; Scala, F.; Ghisalberti, E.L.; Lorito, M.; Sivasithamparam, K. Major secondary metabolites produced by two commercial Trichoderma strains active against different phytopathogens. Lett. Appl. Microbiol. 2006, 43, 143–148. [Google Scholar] [CrossRef] [PubMed]
- Qian-Cutrone, J.; Huang, S.; Chang, L.P.; Pirnik, D.M.; Klohr, S.E.; Dalterio, R.A.; Hugill, R.; Lowe, S.; Alam, M.; Kadow, K.F. Harziphilone and fleephilone, Two new HIV REV/RRE binding inhibitors produced by Trichoderma harzianum. J. Antibiot. 1996, 49, 990–997. [Google Scholar] [CrossRef]
- Contreras-Cornejo, H.A.; Macías-Rodríguez, L.; Del-Val, E.; Larsen, J. Ecological functions of Trichoderma spp. and their secondary metabolites in the rhizosphere: Interactions with plants. FEMS Microbiol. Ecol. 2016, 92, 36. [Google Scholar] [CrossRef]
- Lin, Y.R.; Lo, C.T.; Liu, S.Y.; Peng, K.C. Involvement of pachybasin and emodin in self-regulation of Trichoderma harzianum mycoparasitic coiling. J. Agric. Food Chem. 2012, 60, 2123–2128. [Google Scholar] [CrossRef]
- Li, M.-F.; Li, G.-H.; Zhang, K.-Q. Non-volatile metabolites from Trichoderma spp. Metabolites 2019, 9, 58. [Google Scholar] [CrossRef]
- Chen, A.J.; Frisvad, J.C.; Sun, B.D.; Varga, J.; Kocsubé, S.; Dijksterhuis, J.; Kim, D.H.; Hong, S.-B.; Houbraken, J.; Samson, R.A. Aspergillus section Nidulantes (formerly Emericella): Polyphasic taxonomy, chemistry and biology. Stud. Mycol. 2016, 84, 1–118. [Google Scholar] [CrossRef]
- Meng, J.; Wang, X.; Xu, D.; Fu, X.; Zhang, X.; Lai, D.; Zhou, L.; Zhang, G. Sorbicillinoids from fungi and their bioactivities. Molecules 2016, 21, 715. [Google Scholar] [CrossRef]
- Decay, R.K. Ionic Liquid Pre-Treatment of Microalgae and Extraction of Biomolecules. Ph.D. Thesis, Wageningen University, Wageningen, The Netherlands, 9 December 2016. [Google Scholar]
- Venkatachalam, M.; Magalon, H.; Dufossé, L.; Fouillaud, M. Production of pigments from the tropical marine-derived fungi Talaromyces albobiverticillius: New resources for natural red-colored metabolites. J. Food Compos. Anal. 2018, 70, 35–48. [Google Scholar] [CrossRef]
- Hatti-Kaul, R.; Kaul, A. The phase diagram. Aqueous Two Phase Syst. Methods Protoc. 2003, 11, 11–21. [Google Scholar]
- Freire, M.G.; Cláudio, A.F.M.; Araújo, J.M.M.; Coutinho, J.A.P.; Marrucho, I.M.; Canongia Lopesac, J.N.; Rebelo, L.P.N. Aqueous biphasic systems: A boost brought about by using ionic liquids. Chem. Soc. Rev. 2012, 41, 4966–4995. [Google Scholar] [CrossRef] [PubMed]
- Domínguez-Pérez, M.; Tomé, L.I.N.; Freire, M.G.; Marrucho, I.M.; Cabeza, O.; Coutinho, J.A.P. Extraction of biomolecules using aqueous biphasic systems formed by ionic liquids and aminoacids. Sep. Purif. Technol. 2010, 72, 85–91. [Google Scholar] [CrossRef]
- Sintra, T.E.; Cruz, R.; Ventura, S.P.M.; Coutinho, J.A.P. Phase diagrams of ionic liquids-based aqueous biphasic systems as a platform for extraction processes. J. Chem. Thermodyn. 2014, 77, 206–213. [Google Scholar] [CrossRef]
- Ventura, S.P.M.; Santos-Ebinuma, V.C.; Pereira, J.F.B.; Teixeira, M.F.S.; Pessoa, A.; Coutinho, J.A.P. Isolation of natural red colorants from fermented broth using ionic liquid-based aqueous two-phase systems. J. Ind. Microbiol. Biotechnol. 2013, 40, 507–516. [Google Scholar] [CrossRef]
- Ferreira, A.M.; Coutinho, J.A.P.; Fernandes, A.M.; Freire, M.G. Complete removal of textile dyes from aqueous media using ionic-liquid-based aqueous two-phase systems. Sep. Purif. Technol. 2014, 128, 58–66. [Google Scholar] [CrossRef]
- Flieger, J.; Grushka, E.-B.; Czajkowska-Zelazko, A. Ionic liquids in separation processes. Chem. Thermodyn. Ind. 2014, 1, 76–87. [Google Scholar]
- Tan, Z.; Li, F.; Xu, X. Isolation and purification of aloe anthraquinones based on an ionic liquid/salt aqueous two-phase system. Sep. Purif. Technol. 2012, 98, 150–157. [Google Scholar] [CrossRef]
- Montalvo-Hernández, B.; Rito-Palomares, M.; Benavides, J. Recovery of crocins from saffron stigmas (Crocus sativus) in aqueous two-phase systems. J. Chromatogr. A 2012, 1236, 7–15. [Google Scholar] [CrossRef]
- De Souza Mesquita, L.M.; Martins, M.; Maricato, E.; Nunes, C.; Quinteiro, P.S.G.N.; Dias, A.C.R.V.; Coutinho, J.A.P.; Pisani, L.P.; de Rosso, V.V.; Ventura, S.P.M. Ionic liquid-mediated recovery of carotenoids from the bactris gasipaes fruit waste and their application in food-packaging chitosan films. ACS Sustain. Chem. Eng. 2020, 8, 4085–4095. [Google Scholar] [CrossRef]
- Raja, S.; Murty, V.R.; Thivaharan, V.; Rajasekar, V.; Ramesh, V. Aqueous two phase systems for the recovery of biomolecules—A Review. Sci. Technol. 2012, 1, 7–16. [Google Scholar] [CrossRef]
- Ventura, S.P.M.; Silva, F.A.E.; Quental, M.V.; Mondal, D.; Freire, M.G.; Coutinho, J.A.P. Ionic-liquid-mediated extraction and separation processes for bioactive compounds: Past, present, and future Trends. Chem. Rev. 2017, 117, 6984–7052. [Google Scholar] [CrossRef] [PubMed]
- Zhou, J.; Sui, H.; Jia, Z.; Yang, Z.; He, L.; Li, X. Recovery and purification of ionic liquids from solutions: A review. RSC Adv. 2018, 8, 32832–32864. [Google Scholar] [CrossRef]
- De Oliveira, F.; Rie Hirai, P.; Teixeira, M.F.S.; Pereira, J.F.B.; Santos-Ebinuma, V.C. Talaromyces amestolkiae cell disruption and colorant extraction using imidazolium-based ionic liquids. Sep. Purif. Technol. 2021, 257, 117759. [Google Scholar] [CrossRef]






| ILs | Salt | Structure |
|---|---|---|
| [C4Mim]Br− 1-Butyl-3-methylimidazolium bromide | Na2CO3 Sodium carbonate (Inorganic) | ![]() |
| [C4Mim]Cl− 1-Butyl-3-methylimidazolium chloride | ![]() | |
| [N4444]Br− Tetrabutylammonium bromide | NaCH3CO2 Sodium acetate (Organic) | ![]() |
Publisher’s Note: MDPI stays neutral with regard to jurisdictional claims in published maps and institutional affiliations. |
© 2020 by the authors. Licensee MDPI, Basel, Switzerland. This article is an open access article distributed under the terms and conditions of the Creative Commons Attribution (CC BY) license (http://creativecommons.org/licenses/by/4.0/).
Share and Cite
Lebeau, J.; Petit, T.; Fouillaud, M.; Dufossé, L.; Caro, Y. Aqueous Two-Phase System Extraction of Polyketide-Based Fungal Pigments Using Ammonium- or Imidazolium-Based Ionic Liquids for Detection Purpose: A Case Study. J. Fungi 2020, 6, 375. https://doi.org/10.3390/jof6040375
Lebeau J, Petit T, Fouillaud M, Dufossé L, Caro Y. Aqueous Two-Phase System Extraction of Polyketide-Based Fungal Pigments Using Ammonium- or Imidazolium-Based Ionic Liquids for Detection Purpose: A Case Study. Journal of Fungi. 2020; 6(4):375. https://doi.org/10.3390/jof6040375
Chicago/Turabian StyleLebeau, Juliana, Thomas Petit, Mireille Fouillaud, Laurent Dufossé, and Yanis Caro. 2020. "Aqueous Two-Phase System Extraction of Polyketide-Based Fungal Pigments Using Ammonium- or Imidazolium-Based Ionic Liquids for Detection Purpose: A Case Study" Journal of Fungi 6, no. 4: 375. https://doi.org/10.3390/jof6040375
APA StyleLebeau, J., Petit, T., Fouillaud, M., Dufossé, L., & Caro, Y. (2020). Aqueous Two-Phase System Extraction of Polyketide-Based Fungal Pigments Using Ammonium- or Imidazolium-Based Ionic Liquids for Detection Purpose: A Case Study. Journal of Fungi, 6(4), 375. https://doi.org/10.3390/jof6040375




