Physiological and Metabolic Mechanisms of Penicillium sclerotigenum-Induced Postharvest Rot in Lichuan Yam (Dioscorea polystachya Turcz.)
Abstract
1. Introduction
2. Materials and Methods
2.1. Materials
2.2. Isolation, Purification, and Identification of Microorganisms from Decayed Tissue
2.2.1. Sample Preparation and Microbial Isolation and Purification
2.2.2. Microbial Identification
2.3. Pathogenicity Assays for Major Putrefactive Microorganisms
2.4. Preparation of Pathogen Infection Dynamics Samples
2.5. Physiological and Biochemical Parameter Measurements
2.5.1. Determination of Weight Loss Ratio and Water Activity
2.5.2. Determination of Soluble Sugars, Starch, and Protein Content
2.5.3. Determination of Total Phenolic and Malondialdehyde (MDA) Contents and Polyphenol Oxidase (PPO) and Peroxidase (POD) Activity
2.6. Non-Targeted Metabolomics Analysis
2.7. Data Processing and Statistical Analysis
3. Results
3.1. Microbial Isolation and Identification of Primary Pathogens
3.2. Effects of P. sclerotigenum Infection on Yam Water Metabolism
3.3. Effects of P. sclerotigenum Infection on Yam Carbon and Nitrogen Reserve Metabolism
3.4. Defense Responses and Oxidative Damage Induced by P. sclerotigenum Infection
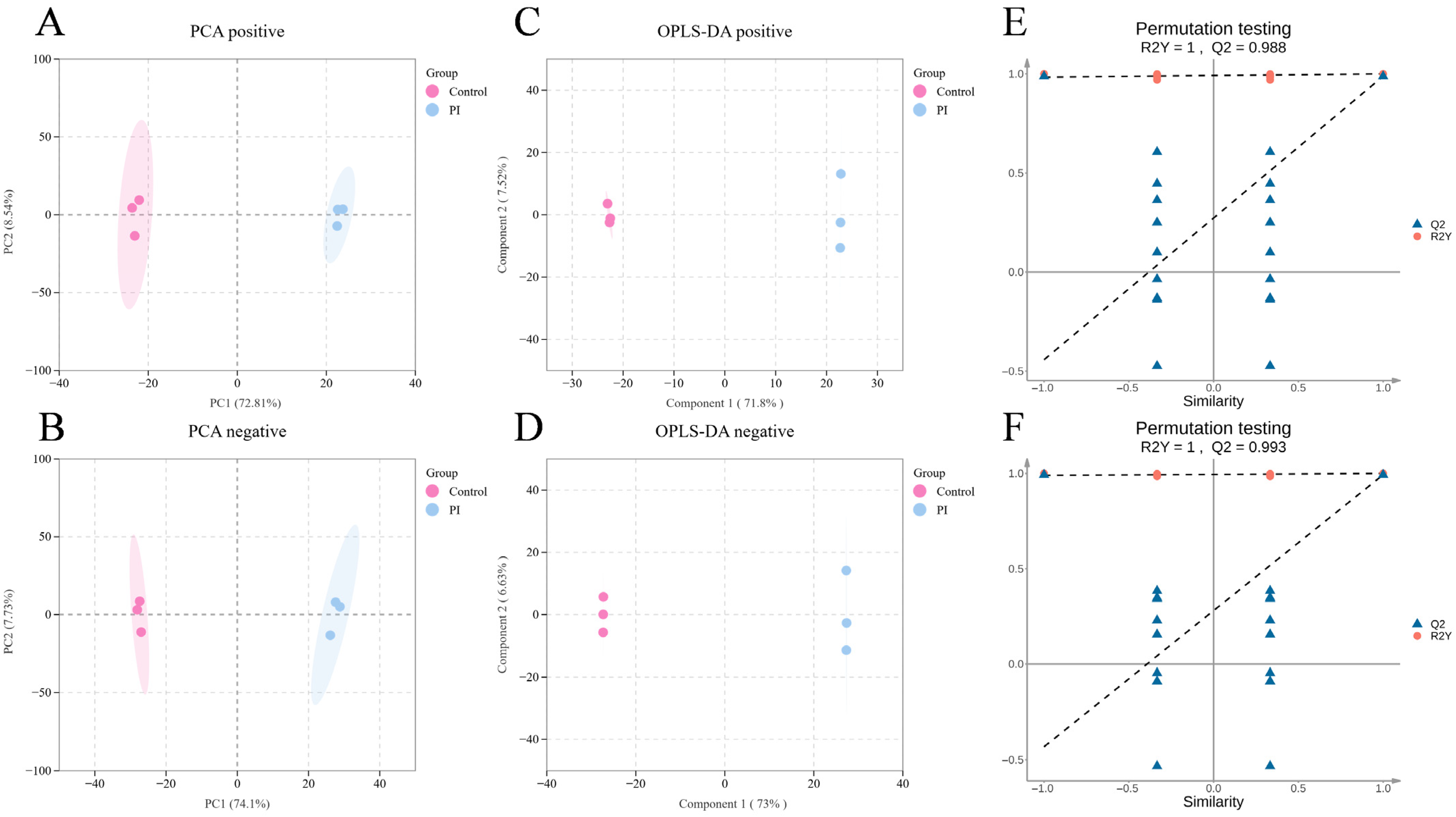
3.5. Global Metabolic Analysis Based on Metabolomics
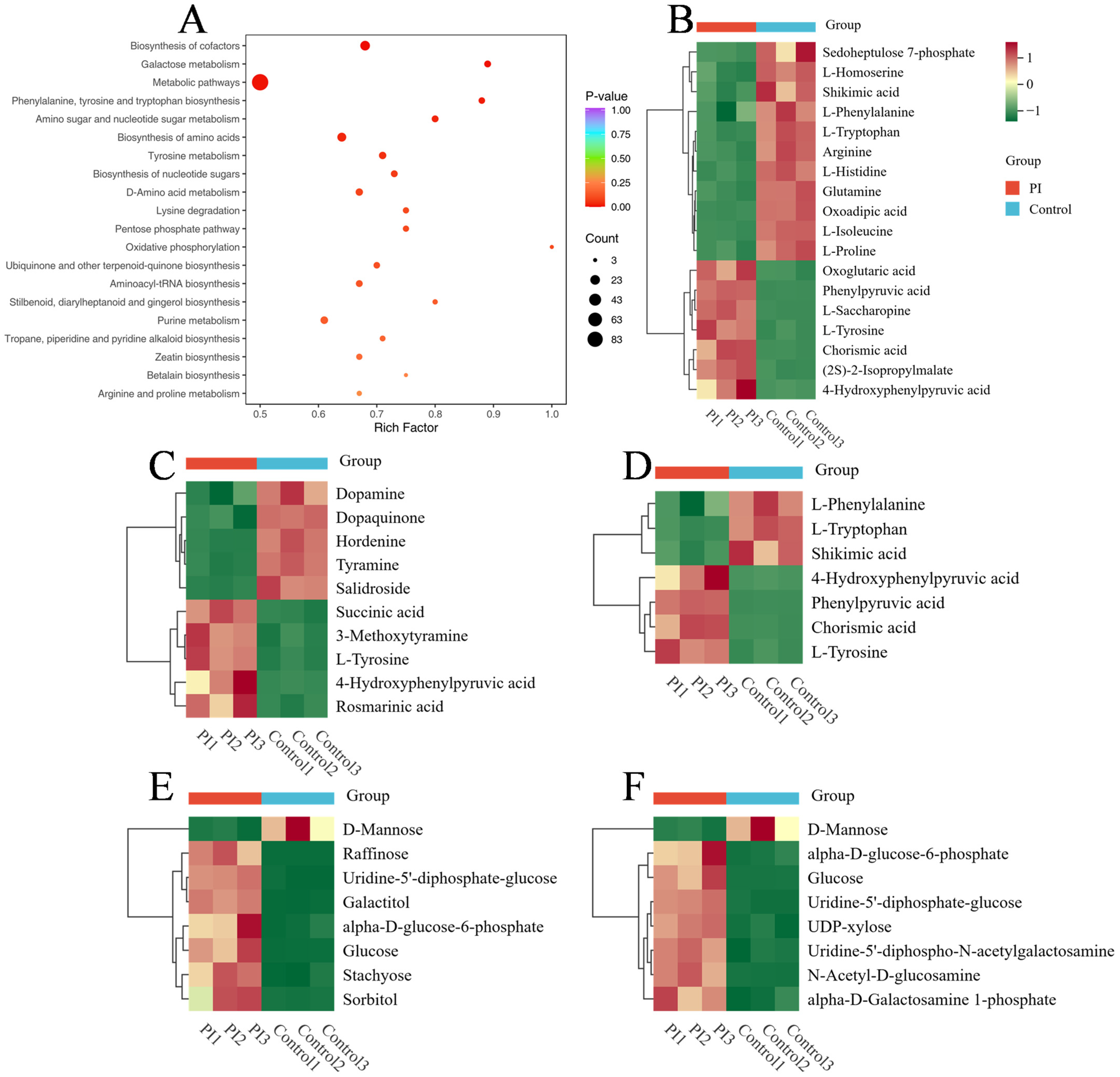
3.6. Differentially Expressed Metabolite (DEM) Analysis
3.7. Metabolic Pathway Enrichment Analysis
4. Discussion
5. Conclusions
Supplementary Materials
Author Contributions
Funding
Institutional Review Board Statement
Informed Consent Statement
Data Availability Statement
Acknowledgments
Conflicts of Interest
Abbreviations
| POD | Peroxidase |
| PPO | Phenol oxidase |
| MDA | Malondialdehyde |
| DEMs | Differentially expressed metabolites |
| PCA | Principal components analysis |
| OPLS-DA | Orthogonal partial least squares discriminant analysis |
References
- Gong, L.; Hu, L.; Feng, D.; Chi, J.; Wang, B.; Wang, J. Effects of different household cooking methods on the biological properties of Chinese yam. Food Chem. 2021, 363, 130246. [Google Scholar] [CrossRef]
- Li, Q.; Li, W.; Gao, Q.; Zou, Y. Hypoglycemic Effect of Chinese Yam (Dioscorea opposita rhizoma) Polysaccharide in Different Structure and Molecular Weight. J. Food Sci. 2017, 82, 2487–2494. [Google Scholar] [CrossRef]
- Wang, P.; Shan, N.; Ali, A.; Sun, J.; Luo, S.; Xiao, Y.; Wang, S.; Hu, R.; Huang, Y.; Zhou, Q. Comprehensive evaluation of functional components, biological activities, and minerals of yam species (Dioscorea polystachya and D. alata) from China. LWT 2022, 168, 113964. [Google Scholar] [CrossRef]
- Fasusi, S.; Kim, J.-M.; Kang, S. Determinants and Constraints influencing Yam Production in Nigeria. J. Korean Soc. Int. Agric. 2022, 34, 298–305. [Google Scholar] [CrossRef]
- Tan, X.; Tao, N. Isolation and Control of Fruit and Vegetable Rot Fungi. J. Fungi 2024, 10, 539. [Google Scholar] [CrossRef] [PubMed]
- Ravi, V.; Aked, J. Review on tropical root and tuber crops. II. Physiological disorders in freshly stored roots and tubers. Crit. Rev. Food Sci. Nutr. 1996, 36, 711–731. [Google Scholar] [CrossRef] [PubMed]
- Akomah-Abadaike, O.; Elenwa, G. Molecular Profiling Ecofriendly Trichoderma Biological Control Agent of Yam Tuber Microbial Rot in Northern Nigeria. Eur. J. Biol. Biotechnol. 2024, 5, 1–5. [Google Scholar] [CrossRef]
- Terngu, U.; Tyoga, I.; Msugh, T. Phytochemical Analysis and In vitro Antimicrobial Potential of Colocasia esculenta Tuber Peel Extract Against Pathogens Isolated from Water Yam (Dioscorea alata) Tubers. Asian J. Res. Biochem. 2024, 14, 72–86. [Google Scholar] [CrossRef]
- Uy, R.J.; Kayamori, M.; Nakashima, C. Characterization of Penicillium Species Isolated from Dioscorea polystachya in Hokkaido, Japan. Mycoscience 2023, 64, 11–18. [Google Scholar] [CrossRef]
- Shah, P.; Powell, A.L.; Orlando, R.; Bergmann, C.; Gutierrez-Sanchez, G. Proteomic analysis of ripening tomato fruit infected by Botrytis cinerea. J. Proteome Res. 2012, 11, 2178–2192. [Google Scholar] [CrossRef] [PubMed]
- Slatnar, A.; Mikulic Petkovsek, M.; Halbwirth, H.; Stampar, F.; Stich, K.; Veberic, R. Enzyme activity of the phenylpropanoid pathway as a response to apple scab infection. Ann. Appl. Biol. 2010, 156, 449–456. [Google Scholar] [CrossRef]
- Zhang, M.; Liu, M.; Pan, S.; Pan, C.; Li, Y.; Tian, J. Perillaldehyde Controls Postharvest Black Rot Caused by Ceratocystis fimbriata in Sweet Potatoes. Front. Microbiol. 2018, 9, 1102. [Google Scholar] [CrossRef]
- Pan, C.; Yang, K.; Erhunmwunsee, F.; Li, Y.X.; Liu, M.; Pan, S.; Yang, D.; Lu, G.; Ma, D.; Tian, J. Inhibitory effect of cinnamaldehyde on Fusarium solani and its application in postharvest preservation of sweet potato. Food Chem. 2023, 408, 135213. [Google Scholar] [CrossRef]
- Negri, S.; Lovato, A.; Boscaini, F.; Salvetti, E.; Torriani, S.; Commisso, M.; Danzi, R.; Ugliano, M.; Polverari, A.; Tornielli, G.B.; et al. The Induction of Noble Rot (Botrytis cinerea) Infection during Postharvest Withering Changes the Metabolome of Grapevine Berries (Vitis vinifera L., cv. Garganega). Front. Plant Sci. 2017, 8, 1002. [Google Scholar] [CrossRef]
- Yang, Q.; Qian, X.; Routledge, M.N.; Wu, X.; Shi, Y.; Zhu, Q.; Zhang, H. Metabonomics analysis of postharvest citrus response to Penicillium digitatum infection. LWT 2021, 152, 112371. [Google Scholar] [CrossRef]
- Zhang, F.; Shi, Q.; Chen, K.; Pan, X.; Xie, S.; Sun, J.; Wang, W. Uncovering metabolite changes of potato Fusarium sambucinum infection based on a UPLC-Q-TOF metabonomic approach. Food Chem. 2025, 470, 142688. [Google Scholar] [CrossRef]
- Zhang, S.; Liu, Y.; Liu, J.; Li, E.; Xu, B. Characterization and Pathogenicity of Colletotrichum truncatum Causing Hylocereus undatus Anthracnose through the Changes of Cell Wall-Degrading Enzymes and Components in Fruits. J. Fungi 2024, 10, 652. [Google Scholar] [CrossRef]
- Delgado-Mera, E.; Hernández-Amasifuen, A.D.; Tuesta-Casique, Á.; Chumacero-Acosta, J.S.; Cosme-Garate, G.A.; Alves da Silva, G.; Carvajal Vallejos, F.M.; Xavier Corrêa, R.; Corazon-Guivin, M.A. Fusarium suttonianum Identified as the Causal Agent of Root Rot in Plukenetia volubilis in Peru. J. Fungi 2025, 11, 642. [Google Scholar] [CrossRef]
- Yue, F.; Zhang, J.; Xu, J.; Niu, T.; Lü, X.; Liu, M. Effects of monosaccharide composition on quantitative analysis of total sugar content by phenol-sulfuric acid method. Front. Nutr. 2022, 9, 963318. [Google Scholar] [CrossRef]
- Bradford, M.M. A rapid and sensitive method for the quantitation of microgram quantities of protein utilizing the principle of protein-dye binding. Anal. Biochem. 1976, 72, 248–254. [Google Scholar] [CrossRef] [PubMed]
- Dudonne, S.; Vitrac, X.; Coutiere, P.; Woillez, M.; Mérillon, J.-M. Comparative study of antioxidant properties and total phenolic content of 30 plant extracts of industrial interest using DPPH, ABTS, FRAP, SOD, and ORAC assays. J. Agric. Food Chem. 2009, 57, 1768–1774. [Google Scholar] [CrossRef] [PubMed]
- Wu, X.; Chen, B.; Xiao, J.; Guo, H. Different doses of UV-B radiation affect pigmented potatoes’ growth and quality during the whole growth period. Front. Plant Sci. 2023, 14, 1101172. [Google Scholar] [CrossRef] [PubMed]
- Zhang, S. Recent Advances of Polyphenol Oxidases in Plants. Molecules 2023, 28, 2158. [Google Scholar] [CrossRef]
- Taher, M.A.; Elsherbiny, E.A. Impact of Isonicotinic Acid Blending in Chitosan/Polyvinyl Alcohol on Ripening-Dependent Changes of Green Stage Tomato. Polymers 2023, 15, 825. [Google Scholar] [CrossRef]
- Bano, A.; Gupta, A.; Prusty, M.R.; Kumar, M. Elicitation of fruit fungi infection and its protective response to improve the postharvest quality of fruits. Stresses 2023, 3, 231–255. [Google Scholar] [CrossRef]
- Wang, X.; Zhang, X.; Sun, M.; Wang, L.; Zou, Y.; Fu, L.; Han, C.; Li, A.; Li, L.; Zhu, C. Impact of vanillin on postharvest disease control of apple. Front. Microbiol. 2022, 13, 979737. [Google Scholar] [CrossRef]
- Liu, T.; Zhou, Z.; Luo, C.; Luo, H.; Tang, J.; Shi, X.; Li, D.; Zhang, Q.; Li, J.; Xia, Y.; et al. Elucidation of mechanisms underlying active oxygen burst in Citrus sinensis after Diaporthe citri infection using transcriptome analysis. Front. Microbiol. 2024, 15, 1425441. [Google Scholar] [CrossRef]
- Ajijah, N.; Fiodor, A.; Dziurzynski, M.; Stasiuk, R.; Pawlowska, J.; Dziewit, L.; Pranaw, K. Biocontrol potential of Pseudomonas protegens ML15 against Botrytis cinerea causing gray mold on postharvest tomato (Solanum lycopersicum var. cerasiforme). Front. Plant Sci. 2023, 14, 1288408. [Google Scholar] [CrossRef]
- Dong, H.; Cheng, L.; Tan, J.; Zheng, K.; Jiang, Y. Effects of chitosan coating on quality and shelf life of peeled litchi fruit. J. Food Eng. 2004, 64, 355–358. [Google Scholar] [CrossRef]
- Gava, C.A.; Alves, Í.L.S.; Duarte, N.C. Timing the application of Bacillus subtilis QST 713 in the integrated management of the postharvest decay of mango fruits. Crop Prot. 2019, 121, 51–56. [Google Scholar] [CrossRef]
- Louw, J.P.; Korsten, L. Pathogenic Penicillium spp. on apple and pear. Plant Dis. 2014, 98, 590–598. [Google Scholar] [CrossRef] [PubMed]
- Palou, L.; Guardado, A.; Montesinos-Herrero, C. First report of Penicillium spp. and Pilidiella granati causing postharvest fruit rot of pomegranate in Spain. New Dis. Rep. 2010, 22, 2044-0588. [Google Scholar] [CrossRef]
- Plumbley, R.A.; Cox, J.; Kilminster, K.; Thompson, A.K.; Donegan, L. The effect of imazalil in the control of decay in yellow yam caused by Penicillium sclerotigenum. Ann. Appl. Biol. 1985, 106, 277–284. [Google Scholar] [CrossRef]
- Liu, H.; Htun, A.A.; Aung, S.L.; Sang, H.; Deng, J.; Tao, Y. Fungal Species Associated with Tuber Rot of Foshou Yam (Dioscorea esculenta) in China. J. Fungi 2025, 11, 380. [Google Scholar] [CrossRef]
- Corbu, V.M.; Gheorghe-Barbu, I.; Dumbravă, A.Ș.; Vrâncianu, C.O.; Șesan, T.E. Current Insights in Fungal Importance—A Comprehensive Review. Microorganisms 2023, 11, 1384. [Google Scholar] [CrossRef] [PubMed]
- Yadeta, K.; Thomma, B. The xylem as battleground for plant hosts and vascular wilt pathogens. Front. Plant Sci. 2013, 4, 97. [Google Scholar] [CrossRef]
- Schlüter, U.; Colmsee, C.; Scholz, U.; Bräutigam, A.; Weber, A.P.M.; Zellerhoff, N.; Bucher, M.; Fahnenstich, H.; Sonnewald, U. Adaptation of maize source leaf metabolism to stress related disturbances in carbon, nitrogen and phosphorus balance. BMC Genom. 2013, 14, 442. [Google Scholar] [CrossRef]
- Julius, B.T.; Leach, K.A.; Tran, T.M.; Mertz, R.A.; Braun, D.M. Sugar Transporters in Plants: New Insights and Discoveries. Plant Cell Physiol. 2017, 58, 1442–1460. [Google Scholar] [CrossRef]
- Li, S.; Gu, X.; Wang, S.; Wang, L.; Lin, Y.; Liang, X.; Yang, J.; Zhu, X.; Wang, J.; Cai, K. Rhamnolipid Modified Silica Nanoparticles Control Rice Blast Disease by Enhancing Antifungal Activity In Vivo and Antioxidant Defense System of Rice (Oryza sativa L.). ACS Appl. Mater. Interfaces 2025, 17, 1792–1802. [Google Scholar] [CrossRef]
- Grace, S.C.; Logan, B.A. Energy dissipation and radical scavenging by the plant phenylpropanoid pathway. Philos. Trans. R. Soc. B Biol. Sci. 2000, 355, 1499–1510. [Google Scholar] [CrossRef]
- Guyon, K.; Balagué, C.; Roby, D.; Raffaele, S. Secretome analysis reveals effector candidates associated with broad host range necrotrophy in the fungal plant pathogen Sclerotinia sclerotiorum. BMC Genom. 2014, 15, 336. [Google Scholar] [CrossRef] [PubMed]
- Vandenabeele, P.; Bultynck, G.; Savvides, S.N. Pore-forming proteins as drivers of membrane permeabilization in cell death pathways. Nat. Rev. Mol. Cell Biol. 2023, 24, 312–333. [Google Scholar] [CrossRef]
- Cho, Y.-G.; Kang, K.-K. Functional Analysis of Starch Metabolism in Plants. Plants 2020, 9, 1152. [Google Scholar] [CrossRef]
- Jiang, Z.; Wang, M.; Nicolas, M.; Ogé, L.; Pérez-Garcia, M.-D.; Crespel, L.; Li, G.; Ding, Y.; Le Gourrierec, J.; Grappin, P.; et al. Glucose-6-Phosphate Dehydrogenases: The Hidden Players of Plant Physiology. Int. J. Mol. Sci. 2022, 23, 16128. [Google Scholar] [CrossRef] [PubMed]
- Havko, N.E.; Major, I.T.; Jewell, J.B.; Attaran, E.; Browse, J.; Howe, G.A. Control of Carbon Assimilation and Partitioning by Jasmonate: An Accounting of Growth–Defense Tradeoffs. Plants 2016, 5, 7. [Google Scholar] [CrossRef] [PubMed]








Disclaimer/Publisher’s Note: The statements, opinions and data contained in all publications are solely those of the individual author(s) and contributor(s) and not of MDPI and/or the editor(s). MDPI and/or the editor(s) disclaim responsibility for any injury to people or property resulting from any ideas, methods, instructions or products referred to in the content. |
© 2026 by the authors. Licensee MDPI, Basel, Switzerland. This article is an open access article distributed under the terms and conditions of the Creative Commons Attribution (CC BY) license.
Share and Cite
Sun, X.; Wang, Z.; Huang, Y.; Zhang, L.; Zhu, Y.; Zhou, D.; Xiong, K.; Qin, Y.; Li, K. Physiological and Metabolic Mechanisms of Penicillium sclerotigenum-Induced Postharvest Rot in Lichuan Yam (Dioscorea polystachya Turcz.). J. Fungi 2026, 12, 225. https://doi.org/10.3390/jof12030225
Sun X, Wang Z, Huang Y, Zhang L, Zhu Y, Zhou D, Xiong K, Qin Y, Li K. Physiological and Metabolic Mechanisms of Penicillium sclerotigenum-Induced Postharvest Rot in Lichuan Yam (Dioscorea polystachya Turcz.). Journal of Fungi. 2026; 12(3):225. https://doi.org/10.3390/jof12030225
Chicago/Turabian StyleSun, Xiaoxiao, Zhichao Wang, Yun Huang, Liya Zhang, Yuchang Zhu, Dazhai Zhou, Kun Xiong, Yan Qin, and Kelin Li. 2026. "Physiological and Metabolic Mechanisms of Penicillium sclerotigenum-Induced Postharvest Rot in Lichuan Yam (Dioscorea polystachya Turcz.)" Journal of Fungi 12, no. 3: 225. https://doi.org/10.3390/jof12030225
APA StyleSun, X., Wang, Z., Huang, Y., Zhang, L., Zhu, Y., Zhou, D., Xiong, K., Qin, Y., & Li, K. (2026). Physiological and Metabolic Mechanisms of Penicillium sclerotigenum-Induced Postharvest Rot in Lichuan Yam (Dioscorea polystachya Turcz.). Journal of Fungi, 12(3), 225. https://doi.org/10.3390/jof12030225
