Genome Mining and Heterologous Reconstitution of a PKS-NRPS Gene Cluster from Aspergillus flavipes LY1-5 Affords Structurally Novel Tetronates
Abstract
1. Introduction
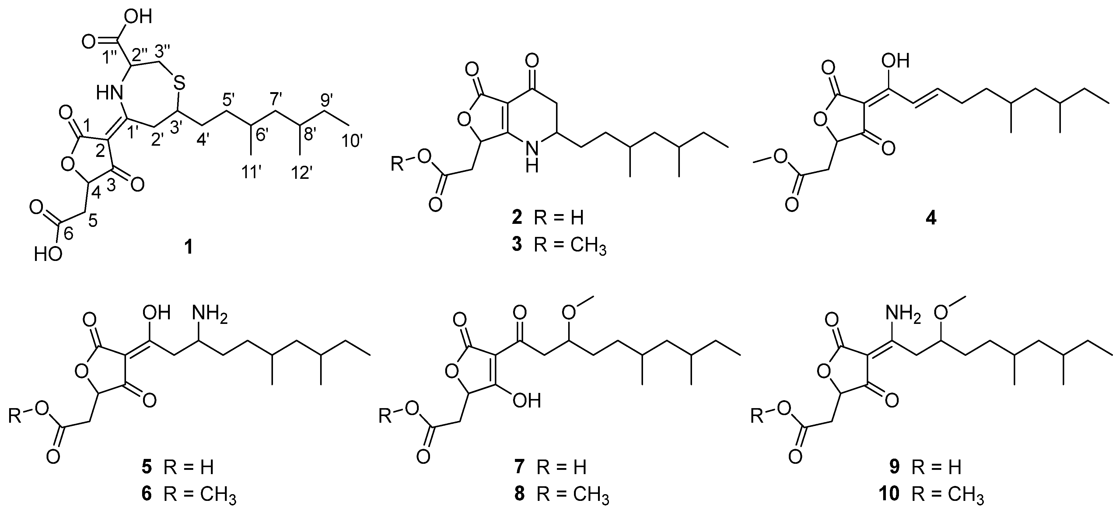
2. Results and Discussion
3. Materials and Methods
3.1. General Experimental Procedures
3.2. Materials and Culture Conditions
3.3. Whole-Genome Sequencing and Bioinformatic Analysis
3.4. Gene Cloning, Plasmid Construction, and Genetic Manipulation
3.5. Transformation of A. nidulans
3.6. Fermentation and LC/LC−MS Analysis
3.7. Extraction, Isolation, and Purification
3.8. Antibacterial Activity Assay
4. Conclusions and Future Prospects
Supplementary Materials
Author Contributions
Funding
Institutional Review Board Statement
Data Availability Statement
Conflicts of Interest
References
- Bills, G.F.; Gloer, J.B. Biologically active secondary metabolites from the fungi. Microbiol. Spectr. 2016, 4, FUNK-0009-2016. [Google Scholar] [CrossRef] [PubMed]
- Vieweg, L.; Reichau, S.; Schobert, R.; Leadlay, P.F.; Süssmuth, R.D. Recent advances in the field of bioactive tetronates. Nat. Prod. Rep. 2014, 31, 1554–1584. [Google Scholar] [CrossRef] [PubMed]
- Ishida, K.; Krabbe, J.; Meisinger, P.R.; Shabuer, G.; Schieferdecker, S.; Cyrulies, M.; Tank, C.; Barnes, E.; Paetz, C.; Hertweck, C. Discovery and biosynthesis of celluxanthenes, antibacterial arylpolyene alkaloids from diverse cellulose-degrading anaerobic bacteria. Angew. Chem. Int. Ed. 2025, 64, e202503697. [Google Scholar] [CrossRef] [PubMed]
- Xi, M.Y.; Zhang, B.; Peng, T.; Ma, X.X.; Zhu, A.; Wang, Z.J.; Gu, Y.; Tan, R.X.; Ge, H.M. Enzymatic stereoselective nucleophilic cyclization governs atypical spirotetronate assembly in lucensimycin A biosynthesis. J. Am. Chem. Soc. 2025, 147, 24077–24084. [Google Scholar] [CrossRef] [PubMed]
- Tao, W.; Zhu, M.; Deng, Z.; Sun, Y. Biosynthesis of tetronate antibiotics: A growing family of natural products with broad biological activities. Sci. China Chem. 2013, 56, 1364–1371. [Google Scholar] [CrossRef]
- Lacoske, M.H.; Theodorakis, E.A. Spirotetronate polyketides as leads in drug discovery. J. Nat. Prod. 2015, 78, 562–575. [Google Scholar] [CrossRef] [PubMed]
- Fan, J.; Liao, G.; Ludwig-Radtke, L.; Yin, W.-B.; Li, S.-M. Formation of terrestric acid in Penicillium crustosum requires redox-assisted decarboxylation and stereoisomerization. Org. Lett. 2020, 22, 88–92. [Google Scholar] [CrossRef] [PubMed]
- Tian, W.; Chen, X.; Zhang, J.; Zheng, M.; Wei, G.; Deng, Z.; Qu, X. Biosynthesis of tetronates by a nonribosomal peptide synthetase–polyketide synthase system. Org. Lett. 2023, 25, 1628–1632. [Google Scholar] [CrossRef] [PubMed]
- Schobert, R.; Schlenk, A. Tetramic and tetronic acids: An update on new derivatives and biological aspects. Biorg. Med. Chem. 2008, 16, 4203–4221. [Google Scholar] [CrossRef] [PubMed]
- Vellanki, S.H.; Cruz, R.G.B.; Jahns, H.; Hudson, L.; Sette, G.; Eramo, A.; Hopkins, A.M. Natural compound tetrocarcin A downregulates Junctional Adhesion Molecule-A in conjunction with HER2 and inhibitor of apoptosis proteins and inhibits tumor cell growth. Cancer Lett. 2019, 440–441, 23–34. [Google Scholar] [CrossRef] [PubMed]
- Little, R.F.; Samborskyy, M.; Leadlay, P.F. The biosynthetic pathway to tetromadurin (SF2487/A80577), a polyether tetronate antibiotic. PLoS ONE 2020, 15, e0239054. [Google Scholar]
- Fang, Z.; Zhang, Q.; Xiong, W.; Sun, L.; Tan, B.; Zhu, M.; Ma, L.; Zhang, L.; Zhu, Y.; Zhang, C. Discovery of tetronate-containing kongjuemycins from a coral-associated actinomycete and elucidation of their biosynthetic origin. Org. Lett. 2023, 25, 6346–6351. [Google Scholar] [CrossRef] [PubMed]
- Blin, K.; Shaw, S.; Augustijn, H.E.; Reitz, Z.L.; Biermann, F.; Alanjary, M.; Fetter, A.; Terlouw, B.R.; Metcalf, W.W.; Helfrich, E.J.N.; et al. antiSMASH 7.0: New and improved predictions for detection, regulation, chemical structures and visualisation. Nucleic Acids Res. 2023, 51, W46–W50. [Google Scholar] [CrossRef] [PubMed]
- Zhu, Y.; Wang, J.; Mou, P.; Yan, Y.; Chen, M.; Tang, Y. Genome mining of cryptic tetronate natural products from a PKS-NRPS encoding gene cluster in Trichoderma harzianum t-22. Org. Biomol. Chem. 2021, 19, 1985–1990. [Google Scholar] [CrossRef] [PubMed]
- Starkenmann, C.; Brauchli, R.; Maurer, B. How cysteine reacts with citral: An unexpected reaction of β,β-disubstituted acroleins with cysteine leading to hexahydro-1,4-thiazepines. J. Agric. Food Chem. 2005, 53, 9244–9248. [Google Scholar] [CrossRef] [PubMed]
- Cimarelli, C.; Palmieri, G.; Camalli, M. A directed stereoselective aldol reaction: Simple synthesis of enantiopure δ-hydroxy-β-enamino ketones by condensation of homochiral β-enamino ketones with aldehydes and ketones. Tetrahedron Asymmetry 1996, 7, 2099–2112. [Google Scholar] [CrossRef]
- Chen, L.; Tang, J.-W.; Liu, Y.Y.; Matsuda, Y. Aspcandine: A pyrrolobenzazepine alkaloid synthesized by a fungal nonribosomal peptide synthetase-polyketide synthase hybrid. Org. Lett. 2022, 24, 4816–4819. [Google Scholar] [CrossRef] [PubMed]
- Yee, D.A.; Tang, Y. Investigating fungal biosynthetic pathways using heterologous gene expression: Aspergillus nidulans as a heterologous host. In Engineering Natural Product Biosynthesis: Methods and Protocols; Skellam, E., Ed.; Springer: New York, NY, USA, 2022; pp. 41–52. [Google Scholar]
- Wali, A.F.; Talath, S.; El Tanani, M.; Rashid Rangraze, I.; Babiker, R.; Shafi, S.; Bansal, R. PI3K/AKT/mTOR pathway in breast cancer pathogenesis and therapy: Insights into phytochemical-based therapeutics. Nutr. Cancer 2025, 77, 938–958. [Google Scholar] [CrossRef] [PubMed]





| No. | 1 a | 1 b | ||
|---|---|---|---|---|
| δC, Type | δH (J in Hz) | δC, Type | δH (J in Hz) | |
| 1 | 173.7, C | 170.8, C | ||
| 2 | 94.4, C | 91.8, C | ||
| 3 | 198.8, C | 197.0, C | ||
| 4 | 80.4, CH | 4.82, m | 78.4, CH | 4.76, m |
| 5 | 36.7, CH2 | 2.94, td, (16.7, 3.9) 2.68, dd, (16.7, 7.3) | 36.1, CH2 | 2.80, m 2.56, dd, (17.6, 7.6) |
| 6 | 172.7, C | 171.0, C | ||
| 1′ | 171.0, C | 170.8, C | ||
| 2′ | 20.2, CH2 | 4.31, dd, (15.6, 7.3) 3.58, dd, (20.5, 15.6) | 34.9, CH2 | 4.14, dd, (14.3, 7.3) 3.37, m |
| 3′ | 54.9 CH | 3.20, m | 38.0, CH | 3.03, m |
| 4′ | 25.2, CH2 | 1.40, m | 31.0, CH2 | 1.37, m |
| 5′ | 35.2, CH2 | 1.47, m 1.31, m | 28.7, CH2 | 1.30, m 1.02, m |
| 6′ | 31.0, CH | 1.52, m | 31.1, CH | 1.35, m |
| 7′ | 45.3, CH2 | 1.21, m 0.92, m | 43.9, CH2 | 1.16, m 0.86, m |
| 8′ | 32.8, CH | 1.41, m | 29.4, CH | 1.61, m |
| 9′ | 30.3, CH2 | 1.32, m 1.09, m | 34.3, CH2 | 1.47, m 1.06, m |
| 10′ | 11.5, CH3 | 0.86, t, (overlapped) | 11.0, CH3 | 0.82, t, (overlapped) |
| 11′ | 20.2, CH3 | 0.83, d, (overlapped) | 20.2, CH3 | 0.81, d, (overlapped) |
| 12′ | 20.0, CH3 | 0.83, d, (overlapped) | 19.6, CH3 | 0.81, d, (overlapped) |
| 1″ | 171.4, C | 170.3, C | ||
| 2″ | 48.0, CH | 5.35, dd, (15.3, 10.0) | 60.0, CH | 5.08, m |
| 3″ | 44.8, CH2 | 3.48, dd, (15.3, 5.2) 3.12, m | 28.0, CH2 | 3.03, m |
| NH | 11.54, d, (5.4) | |||
| No. | 2 a | 3 a | 4 b | |||
|---|---|---|---|---|---|---|
| δc, Type | δH (J in Hz) | δC, Type | δH (J in Hz) | δC, type | δH (J in Hz) | |
| 1 | 166.3, C | 166.2, C | 170.6, C | |||
| 2 | 93.4, C | 93.4, C | 97.4, C | |||
| 3 | 176.3, C | 175.5, C | 183.2, C | |||
| 4 | 72.1, CH | 5.21, m | 71.6, CH | 5.27, m | 79.3, CH | 4.92, m |
| 5 | 37.9, CH2 | 3.00, d, (16.0) 2.63, dd, (16.0, 7.9) | 36.9, CH2 | 3.14, m 2.78, m | 35.9, CH2 | 2.98, d, (4.2) 2.86, d, (6.4) |
| 6 | 170.7, C | 169.5, C | 170.6, C | |||
| 7 | 51.9, CH3 | 3.61, s | 52.7, CH3 | 3.65, s | ||
| 1′ | 185.4, C | 185.3, C | 178.0, C | |||
| 2′ | 41.6, CH2 | 2.45, m 2.23, m | 41.2, CH2 | 2.42, m 2.20, m | 121.0, CH | 7.11, d, (15.4) |
| 3′ | 54.2, CH | 3.83, m | 54.2, CH | 3.80, m | 156.2, CH | 7.41, m |
| 4′ | 30.5f, CH2 | 1.58, m | 30.5, CH2 | 1.56, m | 31.7, CH2 | 2.43, m |
| 5′ | 32.2, CH2 | 1.33, m 1.11, m | 31.8, CH2 | 1.36, m 1.07, m | 35.5, CH2 | 1.55, m 1.29, m |
| 6′ | 29.7, CH | 1.48, m | 31.1, CH | 1.39, m | 30.6, CH | 1.56, m |
| 7′ | 44.0, CH2 | 1.18, m 0.89, m | 44.0, CH2 | 1.19, m 0.90, m | 45.0, CH2 | 1.27, m 0.97, m |
| 8′ | 31.1, CH | 1.42, m | 29.7, CH | 1.45, m | 32.3, CH2 | 1.34, m |
| 9′ | 28.7, CH2 | 1.23, m 1.05, m | 28.7, CH2 | 1.29, m 1.02, m | 29.8, CH2 | 1.37, m |
| 10′ | 11.4, CH3 | 0.81, (overlapped) | 11.0, CH3 | 0.82, (overlapped) | 11.0, CH3 | 0.82, (overlapped) |
| 11′ | 20.1, CH3 | 0.78, (overlapped) | 20.1, CH3 | 0.81, (overlapped) | 20.2, CH3 | 0.81, (overlapped) |
| 12′ | 19.7, CH3 | 0.78, (overlapped) | 19.7, CH3 | 0.81, (overlapped) | 20.0, CH3 | 0.81, (overlapped) |
| NH | 9.58, d, (16.5) | |||||
| No. | 5 a | 6 a | 7 a | |||
|---|---|---|---|---|---|---|
| δC, Type | δH (J in Hz) | δC, Type | δH (J in Hz) | δC, type | δH (J in Hz) | |
| 1 | 173.8, C | 173.6, C | 177.8, C | |||
| 2 | 94.9, C | 94.6, C | 97.5, C | |||
| 3 | 194.5, C | 193.8, C | 197.8, C | |||
| 4 | 76.7, CH | 4.44, m | 75.9, CH | 4.41, m | 79.4, CH | 4.64, m |
| 5 | 38.1, CH2 | 2.65, d, (15.5) 2.18, m | 37.1, CH2 | 2.76, dt, (16.0, 3.1) 2.32, dd, (16.0, 7.4) | 40.1, CH2 | 2.79, m 2.28, dd, (16.0, 9.5) |
| 6 | 172.4, C | 171.0, C | 176.3, C | |||
| 7 | 51.7, CH3 | 3.61, s | ||||
| 1′ | 190.3, C | 190.0, C | 195.7, C | |||
| 2′ | 40.9, CH2 | 3.12, m 2.81, m | 41.2, CH2 | 3.09, dt (17.3, 4.3) 2.80, dd (17.3, 8.2) | 45.8, CH2 | 3.07, m 2.79, m |
| 3′ | 48.3, CH | 3.37, m | 48.3, CH | 3.37, m | 79.6, CH | 3.69, m |
| 4′ | 29.8, CH2 | 1.52, m | 29.8, CH2 | 1.50, m | 32.6, CH2 | 1.38, m |
| 5′ | 31.6, CH2 | 1.34, m 1.03, m | 28.6, CH2 | 1.29, m 1.03, m | 31.5, CH2 | 1.45, m |
| 6′ | 31.0, CH | 1.40, m | 29.5, CH | 1.42, m | 30.3, CH | 1.43, m |
| 7′ | 43.9, CH2 | 1.17, m 0.87, m | 43.8, CH2 | 1.18, m 0.89, m | 45.9, CH2 | 1.20, m 0.86, m |
| 8′ | 29.6, CH | 1.39, m | 30.9, CH | 1.40, m | 32.9, CH | 1.51, m |
| 9′ | 28.7, CH2 | 1.27, m 1.03, m | 31.6, CH2 | 1.30, m 1.07, m | 30.6, CH2 | 1.30, m 1.05, m |
| 10′ | 11.1, CH3 | 0.83, (overlapped) | 11.0, CH3 | 0.82, (overlapped) | 11.6, CH3 | 0.83, (overlapped) |
| 11′ | 20.6, CH3 | 0.81, (overlapped) | 20.6, CH3 | 0.80, (overlapped) | 20.7, CH3 | 0.81, (overlapped) |
| 12′ | 20.1, CH3 | 0.81, (overlapped) | 20.1, CH3 | 0.80, (overlapped) | 20.2, CH3 | 0.0.81, (overlapped) |
| 13′ | 56.9, CH3 | 3.28, s | ||||
| NH2 | 7.67, s | |||||
| No. | 8 a | 9 b | 10 b | |||
|---|---|---|---|---|---|---|
| δC, Type | δH (J in Hz) | δC, Type | δH (J in Hz) | δC, type | δH (J in Hz) | |
| 1 | 176.8, C | 171.4, C | 171.0, C | |||
| 2 | 96.9, C | 90.5, C | 90.3, C | |||
| 3 | 196.0, C | 197.5, C | 197.0, C | |||
| 4 | 77.4, CH | 4.56, m | 77.1, CH | 4.66, m | 76.6, CH | 4.71, m |
| 5 | 37.6, CH2 | 2.83, dd, (16.4, 3.6) 2.49, dd, (16.4, 8.8) | 36.5, CH2 | 2.77, td, (16.7, 3.9) 2.50, dd, (16.7, 7.3) | 36.0, CH2 | 2.86, m 2.63, m |
| 6 | 172.3, C | 171.4, C | 170.2, C | |||
| 7 | 52.6, CH3 | 3.63, s | 51.8, CH3 | 3.58, s | ||
| 1′ | 195.9, C | 172.7, C | 172.7, C | |||
| 2′ | 45.4, CH2 | 2.86, m | 36.8, CH2 | 2.89, m | 37.0, CH2 | 2.93, m |
| 3′ | 79.7, CH | 3.62, m | 78.9, CH | 3.51, m | 79.1, CH | 3.50, m |
| 4′ | 31.9, CH2 | 1.51, m | 30.8, CH2 | 1.45, m | 30.8, CH2 | 1.43, m |
| 5′ | 32.7, CH2 | 1.33, m 1.07, m | 29.1, CH2 | 1.20, m | 31.7, CH2 | 1.28, m 1.03, m |
| 6′ | 31.0, CH | 1.48, m | 29.8, CH | 1.47, m | 29.8, CH | 1.43, m |
| 7′ | 45.4, CH2 | 1.22, m 0.91, m | 44.4, CH2 | 1.15, m 0.86, m | 44.4, CH2 | 1.17, m 0.87, m |
| 8′ | 32.4, CH | 1.42, m | 31.4, CH | 1.35, m | 31.3, CH | 1.36, m |
| 9′ | 30.0, CH2 | 1.37, m | 31.7, CH2 | 1.26, m 1.07, m | 28.9, CH2 | 1.28, m 1.03, m |
| 10′ | 11.5, CH3 | 0.83, (overlapped) | 11.3, CH3 | 0.81, (overlapped) | 11.2, CH3 | 0.78, (overlapped) |
| 11′ | 20.6, CH3 | 0.81, (overlapped) | 20.4, CH3 | 0.78, (overlapped) | 20.4, CH3 | 0.78, (overlapped) |
| 12′ | 20.1, CH3 | 0.81, (overlapped) | 19.9, CH3 | 0.78, (overlapped) | 19.8, CH3 | 0.78, (overlapped) |
| 13′ | 56.5, CH3 | 3.21, s | 56.6, CH3 | 3.20, s | 56.6, CH3 | 3.22, s |
Disclaimer/Publisher’s Note: The statements, opinions and data contained in all publications are solely those of the individual author(s) and contributor(s) and not of MDPI and/or the editor(s). MDPI and/or the editor(s) disclaim responsibility for any injury to people or property resulting from any ideas, methods, instructions or products referred to in the content. |
© 2025 by the authors. Licensee MDPI, Basel, Switzerland. This article is an open access article distributed under the terms and conditions of the Creative Commons Attribution (CC BY) license.
Share and Cite
Dai, Q.; Li, Y.; Lv, S.; Zhao, S.; Han, L.; Xu, J.; Shuai, H.; Zhang, Y.; Yan, F. Genome Mining and Heterologous Reconstitution of a PKS-NRPS Gene Cluster from Aspergillus flavipes LY1-5 Affords Structurally Novel Tetronates. J. Fungi 2026, 12, 28. https://doi.org/10.3390/jof12010028
Dai Q, Li Y, Lv S, Zhao S, Han L, Xu J, Shuai H, Zhang Y, Yan F. Genome Mining and Heterologous Reconstitution of a PKS-NRPS Gene Cluster from Aspergillus flavipes LY1-5 Affords Structurally Novel Tetronates. Journal of Fungi. 2026; 12(1):28. https://doi.org/10.3390/jof12010028
Chicago/Turabian StyleDai, Quan, Yiqiao Li, Shuzhe Lv, Shuang Zhao, Liyuan Han, Jiaxin Xu, Hui Shuai, Youming Zhang, and Fu Yan. 2026. "Genome Mining and Heterologous Reconstitution of a PKS-NRPS Gene Cluster from Aspergillus flavipes LY1-5 Affords Structurally Novel Tetronates" Journal of Fungi 12, no. 1: 28. https://doi.org/10.3390/jof12010028
APA StyleDai, Q., Li, Y., Lv, S., Zhao, S., Han, L., Xu, J., Shuai, H., Zhang, Y., & Yan, F. (2026). Genome Mining and Heterologous Reconstitution of a PKS-NRPS Gene Cluster from Aspergillus flavipes LY1-5 Affords Structurally Novel Tetronates. Journal of Fungi, 12(1), 28. https://doi.org/10.3390/jof12010028

