Characterization and Phylogenetic Analysis of the Complete Mitogenomes of Valsa mali and Valsa pyri
Abstract
1. Introduction
2. Materials and Methods
2.1. Sample Collection and Fungal Pure Culture Obtain
2.2. Fungal DNA Extraction and Sequencing
2.3. Mitogenome Assembly and Annotation
2.4. The Sequences Analysis
2.5. The Repetitive Elements Analysis
2.6. Phylogenetic Tree Construction and Phylogenetic Analysis
3. Results
3.1. The Mitogenome Size and Organization Characteristics
3.2. rRNA, tRNA, and Codon Usage Analysis
3.3. The Repeatitive Elements Analysis
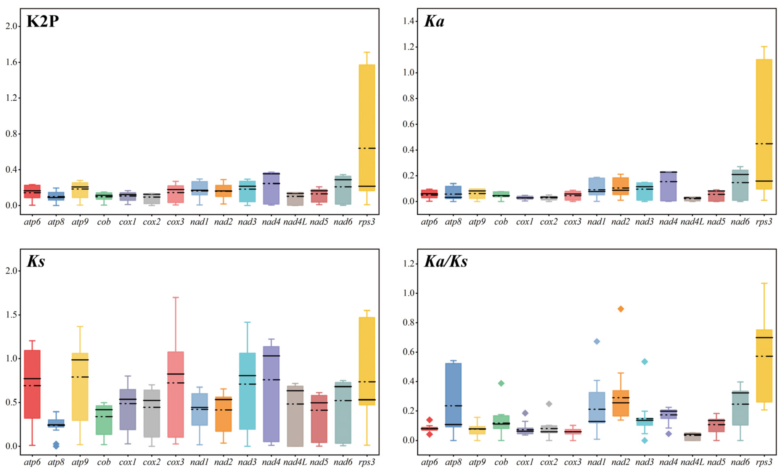
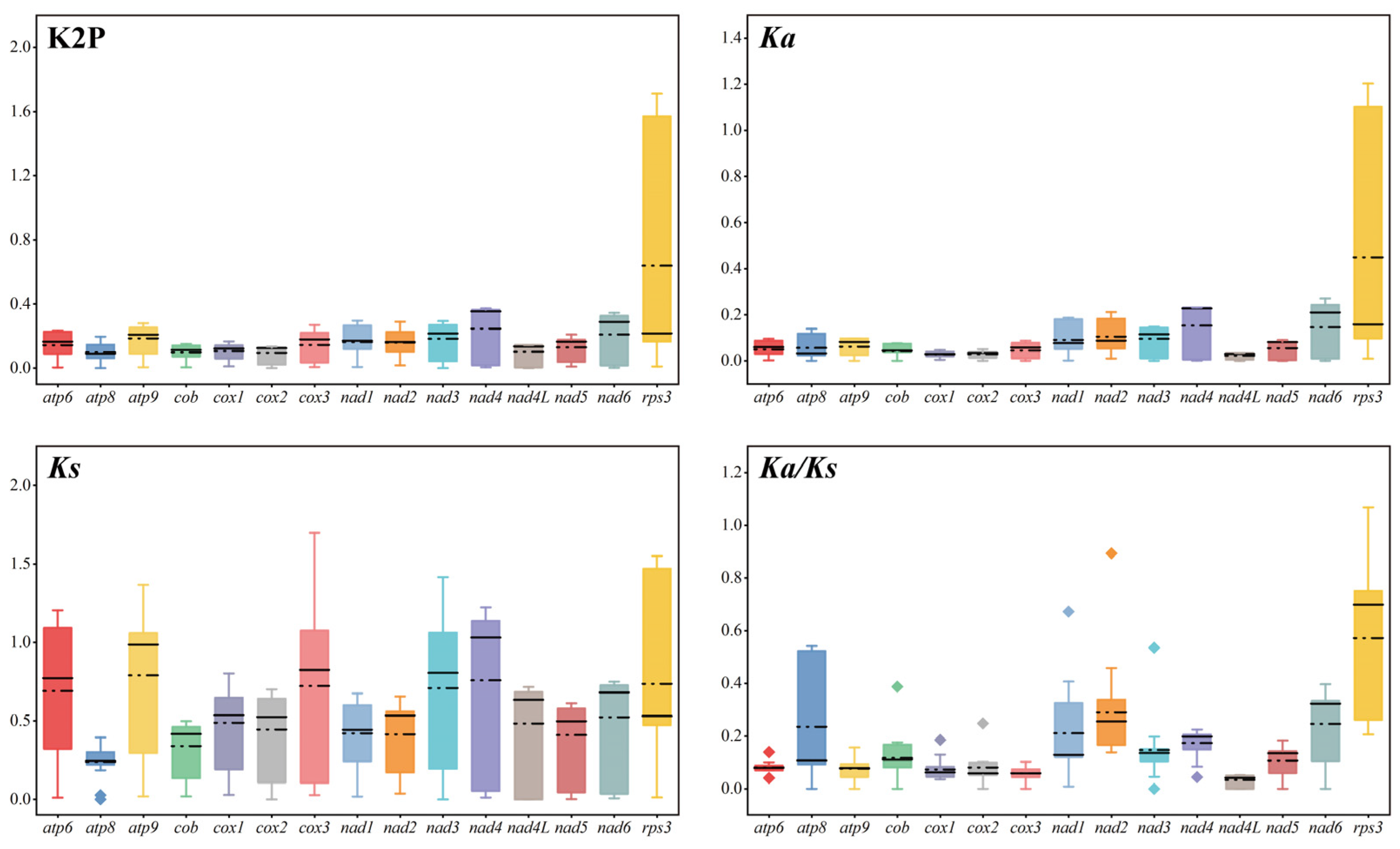
3.4. Variation, Genetic Distance and Evolutionary Rates of 15 Core PCGs
3.5. Mitochondrial Gene Arrangement and Collinearity Analysis in Diaporthales
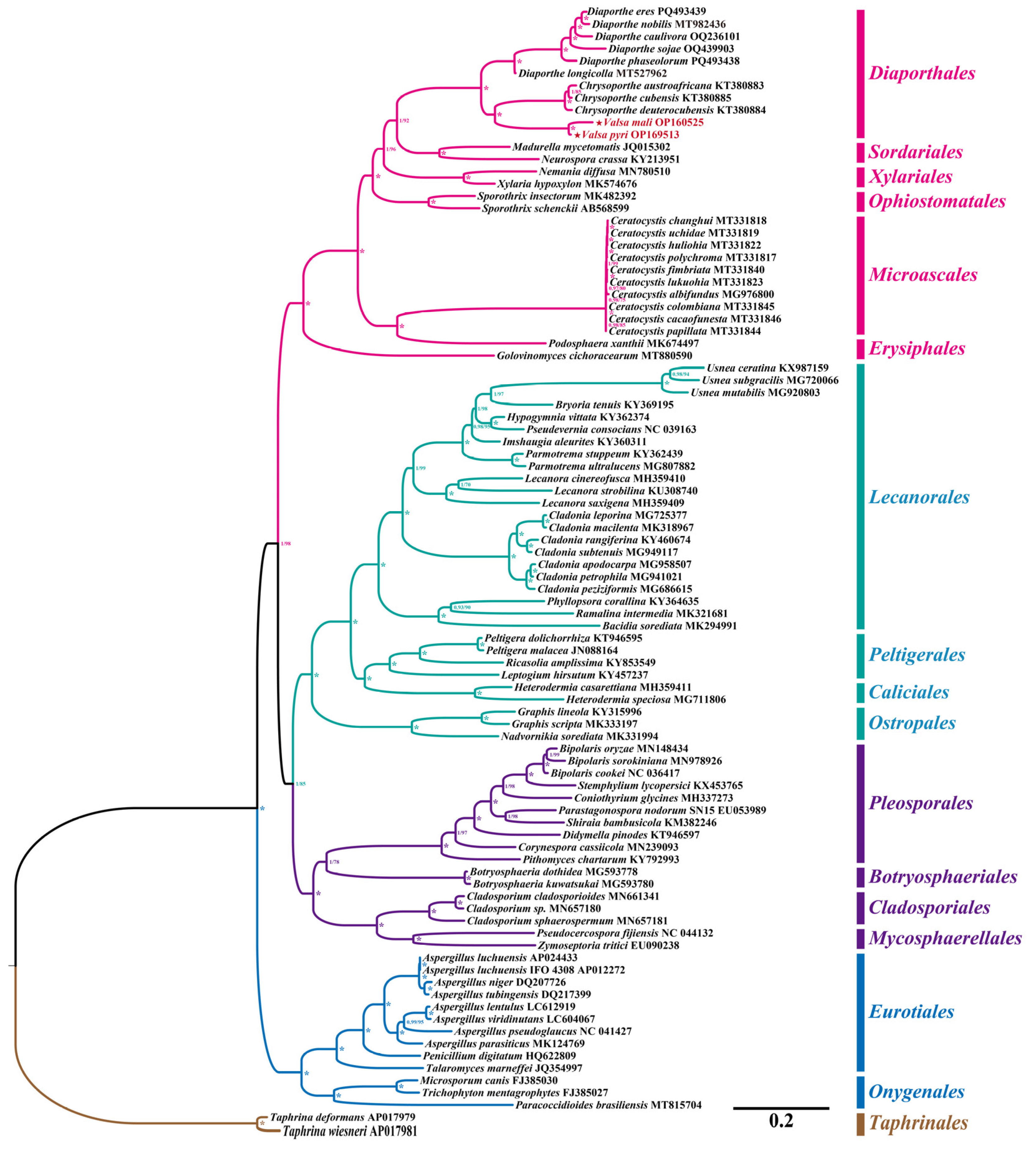
3.6. Phylogenetic Relationships Analysis
4. Discussion
5. Conclusions
Supplementary Materials
Author Contributions
Funding
Institutional Review Board Statement
Informed Consent Statement
Data Availability Statement
Acknowledgments
Conflicts of Interest
Abbreviations
| EF1α | Elongation factor-1 alpha |
| ITS | Internal transcribed space |
| TUB | beta-tubulin |
| BI | Bayesian inference |
| ML | Maximum likelihood |
| BPP | Bayesian posterior probability |
| K2P | Kimura-2-parameter |
| PCG | Protein-coding gene |
| rRNA | Ribosomal RNA |
| tRNA | Transfer RNA |
References
- Peng, H.X.; Wei, X.Y.; Xiao, Y.X.; Sun, Y.; Biggs, A.R.; Gleason, M.L.; Shang, S.P.; Zhu, M.Q.; Guo, Y.Z.; Sun, G.Y. Management of Valsa Canker on Apple with Adjustments to Potassium Nutrition. Plant Dis. 2016, 100, 884–889. [Google Scholar] [CrossRef] [PubMed]
- Wang, X.; Zang, R.; Yin, Z.; Kang, Z.; Huang, L. Delimiting Cryptic Pathogen Species Causing Apple Valsa Canker with Multilocus Data. Ecol. Evol. 2014, 4, 1369–1380. [Google Scholar] [CrossRef] [PubMed]
- Wang, X.; Shi, C.M.; Gleason, M.L.; Huang, L. Fungal Species Associated with Apple Valsa Canker in East Asia. Phytopathol. Res. 2020, 2, 35. [Google Scholar] [CrossRef]
- Abe, K.; Kotoda, N.; Kato, H.; Soejima, J. Resistance Sources to Valsa Canker (Valsa ceratosperma) in a Germplasm Collection of Diverse Malus Species. Plant Breed. 2007, 126, 449–453. [Google Scholar] [CrossRef]
- Togashi, K. Some Studies on a Japanese Apple Canker and Its Causal Fungus, Valsa mali. J. Coll. Agric. Hokkaido Imp. Univ. 1925, 12, 265–324. [Google Scholar]
- Vasilyeva, L.; Kim, W.G. Valsa mali Miyabe et Yamada, the Causal Fungus of Apple Tree Canker in East Asia. Mycobiology 2000, 28, 153–157. [Google Scholar] [CrossRef]
- Ideta, A. Handbook of the Plant Diseases in Japan, 4th ed.; Shōkwabō: Tokyo, Japan, 1909; pp. 295–297. [Google Scholar]
- Arcila-Galvis, J.E.; Arango, R.E.; Torres-Bonilla, J.M.; Arias, T. The Mitochondrial Genome of a Plant Fungal Pathogen Pseudocercospora Fijiensis (Mycosphaerellaceae), Comparative Analysis and Diversification Times of the Sigatoka Disease Complex Using Fossil Calibrated Phylogenies. Life 2021, 11, 215. [Google Scholar] [CrossRef]
- Kobayashi, T. Taxonomic Studies of Japanese Diaporthaceae with Special Reference to Their Life-Histories; Nōrinshō Ringyō Shikenjō: Tokyo, Japan, 1970. [Google Scholar]
- Wang, X.; Wei, J.; Huang, L.; Kang, Z. Re-Evaluation of Pathogens Causing Valsa Canker on Apple in China. Mycologia 2011, 103, 317–324. [Google Scholar] [CrossRef]
- Lu, Y.J. Studies on the Pathogenic Fungus of Pear Canker Disease. Acta Phytopathol. Sin. 1992, 22, 197–203. [Google Scholar] [CrossRef]
- Yin, Z.; Liu, H.; Li, Z.; Ke, X.; Dou, D.; Gao, X.; Song, N.; Dai, Q.; Wu, Y.; Xu, J.; et al. Genome Sequence of Valsa Canker Pathogens Uncovers a Potential Adaptation of Colonization of Woody Bark. New Phytol. 2015, 208, 1202–1216. [Google Scholar] [CrossRef]
- Sandor, S.; Zhang, Y.; Xu, J. Fungal Mitochondrial Genomes and Genetic Polymorphisms. Appl. Microbiol. Biotechnol. 2018, 102, 9433–9448. [Google Scholar] [CrossRef] [PubMed]
- Kouvelis, V.N.; Hausner, G. Editorial: Mitochondrial Genomes and Mitochondrion Related Gene Insights to Fungal Evolution. Front. Microbiol. 2022, 13, 897981. [Google Scholar] [CrossRef] [PubMed]
- Calderone, R.; Li, D.; Traven, A. System-Level Impact of Mitochondria on Fungal Virulence: To Metabolism and Beyond. FEMS Yeast Res. 2015, 15, fov027. [Google Scholar] [CrossRef]
- Chatre, L.; Ricchetti, M. Are Mitochondria the Achilles’ Heel of the Kingdom Fungi? Curr. Opin. Microbiol. 2014, 20, 49–54. [Google Scholar] [CrossRef]
- Medina, R.; Franco, M.E.E.; Bartel, L.C.; Martinez Alcántara, V.; Saparrat, M.C.N.; Balatti, P.A. Fungal Mitogenomes: Relevant Features to Planning Plant Disease Management. Front. Microbiol. 2020, 11, 978. [Google Scholar] [CrossRef]
- Kulik, T.; Diepeningen, A.D.V.; Hausner, G. Editorial: The Significance of Mitogenomics in Mycology. Fron. Microbiol. 2021, 11, 628579. [Google Scholar] [CrossRef]
- Fonseca, P.L.C.; De-Paula, R.B.; Araújo, D.S.; Tomé, L.M.R.; Mendes-Pereira, T.; Rodrigues, W.F.C.; Del-Bem, L.E.; Aguiar, E.R.G.R.; Góes-Neto, A. Global Characterization of Fungal Mitogenomes: New Insights on Genomic Diversity and Dynamism of Coding Genes and Accessory Elements. Front. Microbiol. 2021, 12, 787283. [Google Scholar] [CrossRef]
- Song, N.; Geng, Y.; Li, X. The Mitochondrial Genome of the Phytopathogenic Fungus Bipolaris Sorokiniana and the Utility of Mitochondrial Genome to Infer Phylogeny of Dothideomycetes. Front. Microbiol. 2020, 11, 863. [Google Scholar] [CrossRef]
- Wang, L.; Zhang, S.; Li, J.; Zhang, Y. Mitochondrial Genome, Comparative Analysis and Evolutionary Insights into the Entomopathogenic Fungus Hirsutella thompsonii. Environ. Microbiol. 2018, 20, 3393–3405. [Google Scholar] [CrossRef]
- Wang, B.; Liang, X.; Hao, X.; Dang, H.; Hsiang, T.; Gleason, M.L.; Zhang, R.; Sun, G. Comparison of Mitochondrial Genomes Provides Insights into Intron Dynamics and Evolution in Botryosphaeria dothidea and B. kuwatsukai. Environ. Microbiol. 2021, 23, 5320–5333. [Google Scholar] [CrossRef]
- Zhang, Y.; Zhang, S.; Zhang, G.; Liu, X.; Wang, C.; Xu, J. Comparison of Mitochondrial Genomes Provides Insights into Intron Dynamics and Evolution in the Caterpillar Fungus Cordyceps Militaris. Fungal Genet. Biol. 2015, 77, 95–107. [Google Scholar] [CrossRef] [PubMed]
- Kanzi, A.M.; Wingfield, B.D.; Steenkamp, E.T.; Naidoo, S.; Van Der Merwe, N.A. Intron Derived Size Polymorphism in the Mitochondrial Genomes of Closely Related Chrysoporthe Species. PLoS ONE 2016, 11, e0156104. [Google Scholar] [CrossRef] [PubMed]
- Araújo, D.S.; De-Paula, R.B.; Tomé, L.M.R.; Quintanilha-Peixoto, G.; Salvador-Montoya, C.A.; Del-Bem, L.E.; Badotti, F.; Azevedo, V.A.C.; Brenig, B.; Aguiar, E.R.G.R.; et al. Comparative Mitogenomics of Agaricomycetes: Diversity, Abundance, Impact and Coding Potential of Putative Open-Reading Frames. Mitochondrion 2021, 58, 1–13. [Google Scholar] [CrossRef]
- Megarioti, A.H.; Kouvelis, V.N. The Coevolution of Fungal Mitochondrial Introns and Their Homing Endonucleases (GIY-YIG and LAGLIDADG). Biol. Evol. 2020, 12, 1337–1354. [Google Scholar] [CrossRef]
- Mukhopadhyay, J.; Hausner, G. Organellar Introns in Fungi, Algae, and Plants. Cells 2021, 10, 2001. [Google Scholar] [CrossRef]
- Zardoya, R. Recent Advances in Understanding Mitochondrial Genome Diversity. F1000Research 2020, 9, 270. [Google Scholar] [CrossRef]
- Friedrich, A.; Jung, P.P.; Hou, J.; Neuvéglise, C.; Schacherer, J. Comparative Mitochondrial Genomics within and among Yeast Species of the Lachancea Genus. PLoS ONE 2012, 7, e47834. [Google Scholar] [CrossRef]
- Hafez, M.; Hausner, G. Homing Endonucleases: DNA Scissors on a Mission. Genome 2012, 55, 553–569. [Google Scholar] [CrossRef]
- Li, Y.; Hu, X.D.; Yang, R.H.; Hsiang, T.; Wang, K.; Liang, D.Q.; Liang, F.; Cao, D.M.; Zhou, F.; Wen, G.; et al. Complete Mitochondrial Genome of the Medicinal Fungus Ophiocordyceps Sinensis. Sci. Rep. 2015, 5, 13892. [Google Scholar] [CrossRef]
- Zang, R.; Yin, Z.; Ke, X.; Wang, X.; Li, Z.; Kang, Z.; Huang, L. A Nested PCR Assay for Detecting Valsa mali Var. Mali in Different Tissues of Apple Trees. Plant Dis. 2012, 96, 1645–1652. [Google Scholar] [CrossRef]
- Chen, S.; Zhou, Y.; Chen, Y.; Gu, J. Fastp: An Ultra-Fast All-in-One FASTQ Preprocessor. Bioinformatics 2018, 34, i884–i890. [Google Scholar] [CrossRef] [PubMed]
- Li, H.; Durbin, R. Fast and Accurate Short Read Alignment with Burrows–Wheeler Transform. Bioinformatics 2009, 25, 1754–1760. [Google Scholar] [CrossRef] [PubMed]
- Tillich, M.; Lehwark, P.; Pellizzer, T.; Ulbricht-Jones, E.S.; Fischer, A.; Bock, R.; Greiner, S. GeSeq–Versatile and Accurate Annotation of Organelle Genomes. Nucleic Acids Res. 2017, 45, W6–W11. [Google Scholar] [CrossRef] [PubMed]
- Greiner, S.; Lehwark, P.; Bock, R. OrganellarGenomeDRAW (OGDRAW) Version 1.3.1: Expanded Toolkit for the Graphical Visualization of Organellar Genomes. Nucleic Acids Res. 2019, 47, W59–W64. [Google Scholar] [CrossRef]
- Li, Q.; Ren, Y.; Shi, X.; Peng, L.; Zhao, J.; Song, Y.; Zhao, G. Comparative Mitochondrial Genome Analysis of Two Ectomycorrhizal Fungi (Rhizopogon) Reveals Dynamic Changes of Intron and Phylogenetic Relationships of the Subphylum Agaricomycotina. Int. J. Mol. Sci. 2019, 20, 5167. [Google Scholar] [CrossRef]
- Tamura, K.; Stecher, G.; Kumar, S. MEGA11: Molecular Evolutionary Genetics Analysis Version 11. Mol. Biol. Evol. 2021, 38, 3022–3027. [Google Scholar] [CrossRef]
- Wang, D.; Zhang, Y.; Zhang, Z.; Zhu, J.; Yu, J. KaKs_Calculator 2.0: A Toolkit Incorporating Gamma-Series Methods and Sliding Window Strategies. Genom. Proteom. Bioinf. 2010, 8, 77–80. [Google Scholar] [CrossRef]
- Stothard, P. The Sequence Manipulation Suite: JavaScript Programs for Analyzing and Formatting Protein and DNA Sequences. BioTechniques 2000, 28, 1102–1104. [Google Scholar] [CrossRef]
- Slater, G.S.C.; Birney, E. Automated Generation of Heuristics for Biological Sequence Comparison. BMC Bioinform. 2005, 6, 31. [Google Scholar] [CrossRef]
- Darling, A.C.E.; Mau, B.; Blattner, F.R.; Perna, N.T. Mauve: Multiple Alignment of Conserved Genomic Sequence With Rearrangements. Genome Res. 2004, 14, 1394–1403. [Google Scholar] [CrossRef]
- Camacho, C.; Coulouris, G.; Avagyan, V.; Ma, N.; Papadopoulos, J.; Bealer, K.; Madden, T.L. BLAST+: Architecture and Applications. BMC Bioinform. 2009, 10, 421. [Google Scholar] [CrossRef] [PubMed]
- Zhang, D.; Gao, F.; Jakovlić, I.; Zou, H.; Zhang, J.; Li, W.X.; Wang, G.T. PhyloSuite: An Integrated and Scalable Desktop Platform for Streamlined Molecular Sequence Data Management and Evolutionary Phylogenetics Studies. Mol. Ecol. Resour. 2020, 20, 348–355. [Google Scholar] [CrossRef]
- Lanfear, R.; Frandsen, P.B.; Wright, A.M.; Senfeld, T.; Calcott, B. PartitionFinder 2: New Methods for Selecting Partitioned Models of Evolution for Molecular and Morphological Phylogenetic Analyses. Mol. Biol. Evol. 2016, 34, msw260. [Google Scholar] [CrossRef]
- Ronquist, F.; Huelsenbeck, J.P. MrBayes 3: Bayesian Phylogenetic Inference under Mixed Models. Bioinformatics 2003, 19, 1572–1574. [Google Scholar] [CrossRef]
- Li, Q.; Wang, Q.; Jin, X.; Chen, Z.; Xiong, C.; Li, P.; Zhao, J.; Huang, W. Characterization and Comparison of the Mitochondrial Genomes from Two Lyophyllum Fungal Species and Insights into Phylogeny of Agaricomycetes. Int. J. Biol. Macromol. 2019, 121, 364–372. [Google Scholar] [CrossRef]
- Trifinopoulos, J.; Nguyen, L.T.; von Haeseler, A.; Minh, B.Q. W-IQ-TREE: A Fast Online Phylogenetic Tool for Maximum Likelihood Analysis. Nucleic Acids Res. 2016, 44, W232–W235. [Google Scholar] [CrossRef]
- Ma, Q.; Geng, Y.; Li, Q.; Cheng, C.; Zang, R.; Guo, Y.; Wu, H.; Xu, C.; Zhang, M. Comparative Mitochondrial Genome Analyses Reveal Conserved Gene Arrangement but Massive Expansion/Contraction in Two Closely Related Exserohilum Pathogens. Comput. Struct. Biotec. 2022, 20, 1456–1469. [Google Scholar] [CrossRef]
- Chen, H.; Sun, S.; Norenburg, J.L.; Sundberg, P. Mutation and Selection Cause Codon Usage and Bias in Mitochondrial Genomes of Ribbon Worms (Nemertea). PLoS ONE 2014, 9, e85631. [Google Scholar] [CrossRef]
- Yang, Z.; Nielsen, R. Estimating Synonymous and Nonsynonymous Substitution Rates Under Realistic Evolutionary Models. Mol. Biol. Evol. 2000, 17, 32–43. [Google Scholar] [CrossRef]
- Adams, K.L.; Palmer, J.D. Evolution of Mitochondrial Gene Content: Gene Loss and Transfer to the Nucleus. Mol. Phylogenet. Evol. 2003, 29, 380–395. [Google Scholar] [CrossRef]
- Beaudet, D.; Terrat, Y.; Halary, S.; De La Providencia, I.E.; Hijri, M. Mitochondrial Genome Rearrangements in Glomus Species Triggered by Homologous Recombination between Distinct mtDNA Haplotypes. Genome Biol. Evol. 2013, 5, 1628–1643. [Google Scholar] [CrossRef] [PubMed]
- Tang, B.P.; Xin, Z.Z.; Liu, Y.; Zhang, D.Z.; Wang, Z.F.; Zhang, H.B.; Chai, X.Y.; Zhou, C.L.; Liu, Q.N. The Complete Mitochondrial Genome of Sesarmops Sinensis Reveals Gene Rearrangements and Phylogenetic Relationships in Brachyura. PLoS ONE 2017, 12, e0179800. [Google Scholar] [CrossRef]
- Zheng, B.Y.; Cao, L.J.; Tang, P.; Van Achterberg, K.; Hoffmann, A.A.; Chen, H.Y.; Chen, X.X.; Wei, S.J. Gene Arrangement and Sequence of Mitochondrial Genomes Yield Insights into the Phylogeny and Evolution of Bees and Sphecid Wasps (Hymenoptera: Apoidea). Mol. Phylogenet. Evol. 2018, 124, 1–9. [Google Scholar] [CrossRef] [PubMed]
- Boore, J.L. Animal Mitochondrial Genomes. Nucleic Acids Res. 1999, 27, 1767–1780. [Google Scholar] [CrossRef] [PubMed]
- Aguileta, G.; De Vienne, D.M.; Ross, O.N.; Hood, M.E.; Giraud, T.; Petit, E.; Gabaldón, T. High Variability of Mitochondrial Gene Order among Fungi. Genome Biol. Evol. 2014, 6, 451–465. [Google Scholar] [CrossRef]
- Li, Q.; Chen, C.; Xiong, C.; Jin, X.; Chen, Z.; Huang, W. Comparative Mitogenomics Reveals Large-Scale Gene Rearrangements in the Mitochondrial Genome of Two Pleurotus Species. Appl. Microbiol. Biot. 2018, 102, 6143–6153. [Google Scholar] [CrossRef]
- Li, Q.; Liao, M.; Yang, M.; Xiong, C.; Jin, X.; Chen, Z.; Huang, W. Characterization of the Mitochondrial Genomes of Three Species in the Ectomycorrhizal Genus Cantharellus and Phylogeny of Agaricomycetes. Int. J. Biol. Macromol. 2018, 118, 756–769. [Google Scholar] [CrossRef]
- Li, Q.; Wang, Q.; Chen, C.; Jin, X.; Chen, Z.; Xiong, C.; Li, P.; Zhao, J.; Huang, W. Characterization and Comparative Mitogenomic Analysis of Six Newly Sequenced Mitochondrial Genomes from Ectomycorrhizal Fungi (Russula) and Phylogenetic Analysis of the Agaricomycetes. Int. J. Biol. Macromol. 2018, 119, 792–802. [Google Scholar] [CrossRef]
- Song, X.; Geng, Y.; Xu, C.; Li, J.; Guo, Y.; Shi, Y.; Ma, Q.; Li, Q.; Zhang, M. The Complete Mitochondrial Genomes of Five Critical Phytopathogenic Bipolaris Species: Features, Evolution, and Phylogeny. IMA Fungus 2024, 15, 15. [Google Scholar] [CrossRef]
- Glare, T.; Campbell, M.; Biggs, P.; Winter, D.; Durrant, A.; McKinnon, A.; Cox, M. Mitochondrial Evolution in the Entomopathogenic Fungal Genus Beauveria. Arch. Insect Biochem. Physiol. 2020, 105, e21754. [Google Scholar] [CrossRef]
- Adams, G.C.; Roux, J.; Wingfield, M.J. Cytospora Species (Ascomycota, Diaporthales, Valsaceae): Introduced and Native Pathogens of Trees in South Africa. Austral. Plant Pathol. 2006, 35, 521. [Google Scholar] [CrossRef]
- Lang, B.F.; Gray, M.W.; Burger, G. Mitochondrial Genome Evolution and the Origin of Eukaryotes. Annu. Rev. Genet. 1999, 33, 351–397. [Google Scholar] [CrossRef] [PubMed]
- Muñoz-Gómez, S.A.; Wideman, J.G.; Roger, A.J.; Slamovits, C.H. The Origin of Mitochondrial Cristae from Alphaproteobacteria. Mol. Biol. Evol. 2017, 34, msw298. [Google Scholar] [CrossRef] [PubMed]
- Patkar, R.N.; Ramos-Pamplona, M.; Gupta, A.P.; Fan, Y.; Naqvi, N.I. Mitochondrial Β-oxidation Regulates Organellar Integrity and Is Necessary for Conidial Germination and Invasive Growth in Magnaporthe oryzae. Mol. Microbiol. 2012, 86, 1345–1363. [Google Scholar] [CrossRef] [PubMed]
- Khan, I.A.; Ning, G.; Liu, X.; Feng, X.; Lin, F.; Lu, J. Mitochondrial Fission Protein MoFis1 Mediates Conidiation and Is Required for Full Virulence of the Rice Blast Fungus Magnaporthe Oryzae. Microbiol. Res. 2015, 178, 51–58. [Google Scholar] [CrossRef]









Disclaimer/Publisher’s Note: The statements, opinions and data contained in all publications are solely those of the individual author(s) and contributor(s) and not of MDPI and/or the editor(s). MDPI and/or the editor(s) disclaim responsibility for any injury to people or property resulting from any ideas, methods, instructions or products referred to in the content. |
© 2025 by the authors. Licensee MDPI, Basel, Switzerland. This article is an open access article distributed under the terms and conditions of the Creative Commons Attribution (CC BY) license (https://creativecommons.org/licenses/by/4.0/).
Share and Cite
Xing, G.; Xie, S.; Qiao, Z.; Ma, Q.; Xu, C.; Geng, Y.; Guo, Y.; Zang, R.; Zhang, M. Characterization and Phylogenetic Analysis of the Complete Mitogenomes of Valsa mali and Valsa pyri. J. Fungi 2025, 11, 348. https://doi.org/10.3390/jof11050348
Xing G, Xie S, Qiao Z, Ma Q, Xu C, Geng Y, Guo Y, Zang R, Zhang M. Characterization and Phylogenetic Analysis of the Complete Mitogenomes of Valsa mali and Valsa pyri. Journal of Fungi. 2025; 11(5):348. https://doi.org/10.3390/jof11050348
Chicago/Turabian StyleXing, Guoqing, Shunpei Xie, Zhanxiang Qiao, Qingzhou Ma, Chao Xu, Yuehua Geng, Yashuang Guo, Rui Zang, and Meng Zhang. 2025. "Characterization and Phylogenetic Analysis of the Complete Mitogenomes of Valsa mali and Valsa pyri" Journal of Fungi 11, no. 5: 348. https://doi.org/10.3390/jof11050348
APA StyleXing, G., Xie, S., Qiao, Z., Ma, Q., Xu, C., Geng, Y., Guo, Y., Zang, R., & Zhang, M. (2025). Characterization and Phylogenetic Analysis of the Complete Mitogenomes of Valsa mali and Valsa pyri. Journal of Fungi, 11(5), 348. https://doi.org/10.3390/jof11050348

