Gigaspora roseae and Coriolopsis rigida Fungi Improve Performance of Quillaja saponaria Plants Grown in Sandy Substrate with Added Sewage Sludge
Abstract
1. Introduction
2. Materials and Methods
2.1. Microorganisms and Plants
2.2. Sludge and Substrates
2.3. Biochemical Determinations
2.4. Plant Propagation
2.5. Cultivation of Mycorrhizal and Saprophytic Fungi
2.6. Plant Inoculation Experiment
2.7. Statistical Analysis
3. Results
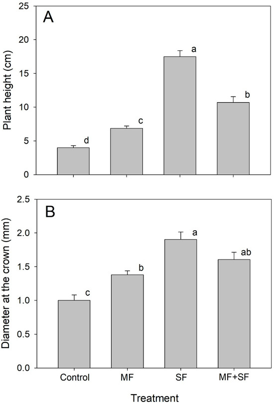
3.1. Impact of G. roseae and C. rigida on the Growth of Q. saponaria Seedlings
3.2. Impact of Tested Fungi and Residual Sludge % on Shoot and Root Biomass in Q. saponaria Seedlings
3.3. Analysis of Mycorrhizal Colonization Achieved in Q. saponaria Plants
3.4. Chemical Characteristics of Soil Substrate Before and After Residual Sludge Application
3.5. Enzymatic Activity
4. Discussion
5. Conclusions
Author Contributions
Funding
Institutional Review Board Statement
Informed Consent Statement
Data Availability Statement
Acknowledgments
Conflicts of Interest
References
- Zaror, C. Introducción a la Ingeniería Ambiental Para la Industria de Procesos, 2nd ed.; Universidad de Concepción: Concepción, Chile, 2005; p. 613. [Google Scholar]
- Scheel, C.; Aguiñaga, E.; Bello, B. Decoupling Economic Development from the Consumption of Finite Resources Using Circular Economy. A Model for Developing Countries. Sustainability 2020, 12, 1291. [Google Scholar] [CrossRef]
- Chen, P.; Xie, Q.; Addy, M.; Zhou, W.; Liu, Y.; Wang, Y.; Cheng, Y.; Li, K.; Ruan, R. Utilization of municipal solid and liquid wastes for bioenergy and bioproducts production. Bioresour. Technol. 2016, 215, 163–172. [Google Scholar] [CrossRef] [PubMed]
- Ngoc, U.N.; Schnitzer, H. Sustainable solutions for solid waste management in Southeast Asian countries. Waste Manag. 2009, 29, 1982–1995. [Google Scholar] [CrossRef] [PubMed]
- Illera, V.; Walter, I.; Cala, V. Niveles de metales pesados en Thymus zygis desarrollado en suelos enmendados con residuos orgánicos urbanos. Rev. Int. Contam. Ambient. 2001, 17, 179–186. [Google Scholar]
- Sahed, M.; Ainan, A. Analysis of Urban Solid Waste Management System of Bangladesh and Germany Waste Management System. Int. J. Environ. Sci. Dev. 2020, 11, 509–513. [Google Scholar] [CrossRef]
- Kinantan, B.; Rahim Matondang, A.; Hidayati, J. Waste management as an effort to improve urban area cleanliness and community income (journal review). IOP Conf. Ser. Mater. Sci. Eng. 2018, 309, 012017. [Google Scholar] [CrossRef]
- Ahmad, S.N.F.; Lee, C.T.; Sarmidi, M.R.; Klemeš, J.J.; Zhang, Z. Characterisation of Liquid Fertiliser from Different Types of Bio-Waste Compost and its Correlation with the Compost Nutrients. Chem. Eng. Trans. 2019, 72, 253–258. [Google Scholar]
- Bai, J.; Sun, X.; Xu, C.; Ma, X.; Huang, Y.; Fan, Z.; Cao, X. Effects of Sewage Sludge Application on Plant Growth and Soil Characteristics at a Pinus sylvestris var. mongolica Plantation in Horqin Sandy Land. Forests 2022, 13, 984. [Google Scholar] [CrossRef]
- Duggan, B.W.C. Effects of municipal compost and nitrogen fertilizer on selected soils and plants. Compos. Sci. 1976, 17, 24–31. [Google Scholar]
- Rasiah, V.; Biederbeck, V.O.; Curtin, D.; Zentner, R.P. Parameterizing Temporal Changes in Aggregation in a Sludge Amended Soil. Soil Sci. Soc. Am. J. 1997, 61, 579–585. [Google Scholar] [CrossRef]
- Tsadilas, C.D.; Matsi, T.; Barbayiannis, N.; Dimoyiannis, D. Influence of sewage sludge application on soil properties and on the distribution and availability of heavy metal fractions. Commun. Soil Sci. Plant Anal. 1995, 26, 2603–2619. [Google Scholar] [CrossRef]
- San Martín, R. Heavy metal contamination of agricultural soils affected by mining activities: A case study in the Caudal River Valley, Spain. Appl. Geochem. 2007, 22, 1543–1558. [Google Scholar]
- Chen, M.; Xu, P.; Zeng, G.; Yang, C.; Huang, D.; Zhang, J. Bioremediation of soils contaminated with polycyclic aro-matic hydrocarbons, petroleum, pesticides, chlorophenols and heavy metals by composting: Applications, microbes and future re-search needs. Biotecnhnol. Adv. 2015, 33, 745–755. [Google Scholar] [CrossRef]
- Arriagada, C.; Pereira, G.; García-Romera, I.; Ocampo, J.A. Improved zinc tolerance in Eucalyptus globulus inoculated with Glomus deserticola and Trametes versicolor or Coriolopsis rigida. Soil Biol. Biochem. 2010, 42, 118–124. [Google Scholar] [CrossRef]
- Machuca, A.; Pereira, G.; Aguiar, A.; Milagres, A.M.F. Metal-chelating compounds produced by ectomycorrhizal fungi collected from pine plantations. Lett. Appl. Microbiol. 2007, 44, 7–12. [Google Scholar] [CrossRef]
- Carbone, M.; White, P.; Thompson, B. The role of mycorrhizal fungi in heavy metal uptake by plants. Plant Soil 2001, 235, 207–219. [Google Scholar]
- Cañizares, P.; García-Gómez, J.; Gómez, M.Á.; Rodrigo, M.A. Heavy metal removal from aqueous solution by sewage sludge-based activated carbons. J. Hazard. Mater. 2000, 74, 175–188. [Google Scholar]
- Cheng, M.; Zeng, G.; Huang, D.; Yang, C.; Lai, C.; Zhang, C.; Liu, Y. Advances in the phytoremediation of heavy metal-contaminated soils assisted by microbial communities: A review. Environ. Int. 2021, 146, 106246. [Google Scholar]
- Rojas-Loria, C.C.; Peralta-Perez, M.D.R.; Buendia-Gonzalez, L.; Volke-Sepulveda, T.L. Effect of A Saprophytic Fungus on the Growth and the Lead Uptake, Translocation and Immobilization in Dodonaea Viscosa. Int. J. Phytoremediat. 2012, 14, 518–529. [Google Scholar] [CrossRef]
- Širić, I.; Humar, M.; Kasap, A.; Kos, I.; Mioč, B.; Pohleven, F. Heavy metal bioaccumulation by wild edible saprophytic and ectomycorrhizal mushrooms. Environ. Sci. Pollut. Res. 2016, 23, 18239–18252. [Google Scholar] [CrossRef]
- Donoso, C.; Becerra, J.; Martínez, M.; Garrido, N.; Silva, M. Degradative ability of 2,4,6-tribromophenol by saprophytic fungi Trametes versicolor and Agaricus augustus isolated from chilean forestry. World J. Microbiol. Biotechnol. 2008, 24, 961–968. [Google Scholar] [CrossRef]
- Nsa, I.Y.; Akinyemi, B.T.; Bello-Akinosho, M.; Ezechukwu, S.N.; Bayode, T.B.; Igbinigie, E.E.; Adeleke, R.A. Development of a saprophytic fungal inoculum for the biodegradation of sub-bituminous coal. SN Appl. Sci. 2022, 4, 53. [Google Scholar] [CrossRef]
- Fuentes, A.; Almonacid, L.; Ocampo, J.A.; Arriagada, C. Synergistic interactions between a saprophytic fungal consortium and Rhizophagus irregularis alleviate oxidative stress in plants grown in heavy metal contaminated soil. Plant Soil 2016, 407, 355–366. [Google Scholar] [CrossRef]
- Kao, T.-C.; Wu, C.-H.; Yen, G.-C. Bioactivity and Potential Health Benefits of Licorice. J. Agric. Food Chem. 2014, 62, 542–553. [Google Scholar] [CrossRef]
- Reichert, C.L.; Salminen, H.; Weiss, J. Quillaja Saponin Characteristics and Functional Properties. Annu. Rev. Food Sci. Technol. 2019, 10, 43–73. [Google Scholar] [CrossRef]
- Moses, T.; Papadopoulou, K.K.; Osbourn, A. Metabolic and functional diversity of saponins, biosynthetic intermediates and semi-synthetic derivatives. Crit. Rev. Biochem. Mol. Biol. 2014, 49, 439–462. [Google Scholar] [CrossRef]
- González-Castillo, J.A.; Quezada-D’Angelo, T.P.; Silva-Aguayo, G.I.; Moya-Elizondo, E.A. Effect of saponins of Quillaja saponaria extracts in combination with Pseudomonas protegens to control Gaeumannomyces graminis var. tritici in wheat. Chil. J. Agric. Res. 2018, 78, 378–390. [Google Scholar] [CrossRef]
- Rahman, A.; Tsurumi, S.; Amakawa, T.; Soga, K.; Hoson, T.; Goto, N.; Kamisaka, S. Involvement of Ethylene and Gibberellin Signalings in Chromosaponin I-Induced Cell Division and Cell Elongation in the Roots of Arabidopsis Seedlings. Plant Cell Physiol. 2000, 41, 1–9. [Google Scholar] [CrossRef]
- Yu, X.-L.; He, Y. Tea saponins: Effective natural surfactants beneficial for soil remediation, from preparation to application. RSC Adv. 2018, 8, 24312–24321. [Google Scholar] [CrossRef]
- Paray, B.A.; El-Basuini, M.F.; Alagawany, M.; Albeshr, M.F.; Farah, M.A.; Dawood, M.A.O. Yucca schidigera Usage for Healthy Aquatic Animals: Potential Roles for Sustainability. Animals 2021, 11, 93. [Google Scholar] [CrossRef]
- Mulligan, C.N. Sustainable Remediation of Contaminated Soil Using Biosurfactants. Front. Bioeng. Biotechnol. 2021, 9, 635196. [Google Scholar] [CrossRef] [PubMed]
- Benichou, A.; Aserin, A.; Garti, N. Steroid-saponins from fenugreek seeds: Extraction, purification and surface properties. J. Dispers. Sci. Technol. 1999, 20, 581–605. [Google Scholar] [CrossRef]
- Güçlü-Üstündağ, Ö.; Mazza, G. Saponins: Properties, Applications and Processing. Crit. Rev. Food Sci. Nutr. 2007, 47, 231–258. [Google Scholar] [CrossRef]
- San Martín, R.; Briones, R. Industrial uses and sustainable supply of Quillaja saponaria (Rosaceae) saponins. Econ. Bot. 1999, 53, 302–311. [Google Scholar] [CrossRef]
- Schlotterbeck, T.; Castillo–Ruiz, M.; Cañon–Jones, H.; Martín, R.S. The Use of Leaves from Young Trees of Quillaja saponaria (Molina) Plantations as a New Source of Saponins. Econ. Bot. 2015, 69, 262–272. [Google Scholar] [CrossRef]
- Eivazi, F.; Tabatabai, M.A. Factors affecting glucosidase and galactosidase activities in soils. Soil Biol. Biochem. 1990, 22, 891–897. [Google Scholar] [CrossRef]
- Adam, G.; Duncan, H. Development of a sensitive and rapid method for the measurement of total microbial activity using fluorescein diacetate (FDA) in a range of soils. Soil Biol. Biochem. 2001, 33, 943–951. [Google Scholar] [CrossRef]
- Saparrat, M.C.N.; Guillén, F. Ligninolytic ability and potential biotechnology applications of the South American Fungus Pleurotus laciniatocrenatus. Folia Microbiol. 2005, 50, 155–160. [Google Scholar] [CrossRef]
- Honrubia, M.; Torres, P.; Díaz, G.; Morte, A. Biotecnología Forestal: Técnicas de Micorrización y Micropropagación de Plantas; Secretariado de Publicaciones, Universidad de Murcia: Murcia, Spain, 1995; p. 85. [Google Scholar]
- Brundrett, M.; Bougher, N.; Grove, T.; Malajczuk, N. Working with Mycorrhizas in Forestry and Agriculture; ACIAR: Canberra, Australia, 1996; p. 374.
- Arriagada, C.A.; Herrera, M.A.; Borie, F.; Ocampo, J.A. Contribution of Arbuscular Mycorrhizal and Saprobe Fungi to the Aluminum Resistance of Eucalyptus globulus. Water Air Soil Pollut. 2007, 182, 383–394. [Google Scholar] [CrossRef]
- Arriagada, C.; Sampedro, I.; Garcia-Romera, I.; Ocampo, J. Improvement of growth of Eucalyptus globulus and soil biological parameters by amendment with sewage sludge and inoculation with arbuscular mycorrhizal and saprobe fungi. Sci. Total Environ. 2009, 407, 4799–4806. [Google Scholar] [CrossRef]
- Sampedro, I.; Cajthaml, T.; Marinari, S.; Stazi, S.R.; Grego, S.; Petruccioli, M.; Federici, F.; D’Annibale, A. Immobilized Inocula of White-Rot Fungi Accelerate both Detoxification and Organic Matter Transformation in Two-Phase Dry Olive-Mill Residue. J. Agric. Food Chem. 2009, 57, 5452–5460. [Google Scholar] [CrossRef] [PubMed]
- Phillips, J.M.; Hayman, D.S. Improved procedures for clearing roots and staining parasitic and vesicular-arbuscular mycorrhizal fungi for rapid assessment of infection. Trans. Br. Mycol. Soc. 1970, 55, 158-IN118. [Google Scholar] [CrossRef]
- Giovannetti, M.; Mosse, B. An evaluation of techniques for measuring vesicular arbuscular mycrorrhizal infection in roots. New Phytol. 1980, 84, 489–500. [Google Scholar] [CrossRef]
- Steel, R.; Torrie, J. Bioestadística: Principios y Procedimientos, 2nd ed.; McGraw Hill: Colombia, Mexico, 1989; p. 662. [Google Scholar]
- Ddiba, D.; Andersson, K.; Rosemarin, A.; Schulte-Herbrüggen, H.; Dickin, S. The circular economy potential of urban organic waste streams in low- and middle-income countries. Environ. Dev. Sustain. 2022, 24, 1116–1144. [Google Scholar] [CrossRef]
- Gunamantha, I.M.; Wesnawa, I.G.A.; Ni Made, O.; Ni Wayan, Y.; Putu Lilik Pratami, K.; Komang, W. Estimating Circular Economic Potential of Organic Fraction of Municipal Solid Waste in Small City. J. Environ. Sci. Econ. 2023, 2, 80–96. [Google Scholar] [CrossRef]
- Kumar, S.; Sharma, A.; Singh, R. Utilization of Sewage Sludge in Agriculture: Impact on Soil Properties, Crop Yield, and Environment; Academic Press: Cambridge, MA, USA, 2020; pp. 243–267. [Google Scholar]
- Yadav, S.K.; Singh, R.S.; Kanojia, P. Role of sewage sludge in improving soil health and plant growth: A review. Environ. Sci. Pollut. Res. 2021, 28, 398–413. [Google Scholar]
- Smith, J.M.; Stinson, B.; Chaney, R.L. Use of composted biosolids and other residuals for fertility management in organic farming systems. J. Environ. Qual. 2019, 48, 246–257. [Google Scholar]
- Bystrzejewska-Piotrowska, G.; Pianka, D.; Bazała, M.A.; Stęborowski, R.; Manjón, J.L.; Urban, P.L. Pilot Study of Bioaccumulation and Distribution of Cesium, Potassium, Sodium and Calcium in King Oyster Mushroom (Pleurotus eryngii) Grown Under Controlled Conditions. Int. J. Phytoremediat. 2008, 10, 503–514. [Google Scholar] [CrossRef]
- Aranda, E.; Sampedro, I.; Díaz, R.; García-Sánchez, M.; Siles, J.A.; Ocampo, J.A.; García-Romera, I. Dry matter and root colonization of plants by indigenous arbuscular mycorrhizal fungi with physical fractions of dry olive mill residue inoculated with saprophytic fungi. Span. J. Agric. Res. 2010, 8, 79–85. [Google Scholar] [CrossRef]
- Andrews, J.P.; Asaadi, M.; Clarke, B.; Ouki, S. Potentially toxic element release by Fenton oxidation of sewage sludge. Water Sci. Technol. 2006, 54, 197–205. [Google Scholar] [CrossRef]
- El Maaloum, S.; Elabed, A.; Alaoui-Talibi, Z.E.; Meddich, A.; Filali-Maltouf, A.; Douira, A.; Ibnsouda-Koraichi, S.; Amir, S.; El Modafar, C. Effect of Arbuscular Mycorrhizal Fungi and Phosphate-Solubilizing Bacteria Consortia Associated with Phospho-Compost on Phosphorus Solubilization and Growth of Tomato Seedlings (Solanum lycopersicum L.). Commun. Soil Sci. Plant Anal. 2020, 51, 622–634. [Google Scholar] [CrossRef]
- Seleiman, M.F.; Santanen, A.; Kleemola, J.; Stoddard, F.L.; Mäkelä, P.S.A. Improved sustainability of feedstock production with sludge and interacting mycorrhiza. Chemosphere 2013, 91, 1236–1242. [Google Scholar] [CrossRef] [PubMed]
- Zhu, X.; Qi, J.; Cheng, L.; Zhen, G.; Lu, X.; Zhang, X. Depolymerization and conversion of waste-activated sludge to value-added bioproducts by fungi. Fuel 2022, 320, 123890. [Google Scholar] [CrossRef]
- Arriagada, C.A.; Herrera, M.A.; Ocampo, J.A. Contribution of Arbuscular Mycorrhizal and Saprobe Fungi to the Tolerance of Eucalyptus globulus to Pb. Water Air Soil Pollut. 2005, 166, 31–47. [Google Scholar] [CrossRef]
- Arriagada, C.; Almonacid, L.; Cornejo, P.; Garcia-Romera, I.; Ocampo, J. Influence of an organic amendment comprising saprophytic and mycorrhizal fungi on soil quality and growth of Eucalyptus globulus in the presence of sewage sludge contaminated with aluminium. Arch. Agron. Soil Sci. 2014, 60, 1229–1248. [Google Scholar] [CrossRef]
- Sosa, M.C.; Chaves, A.R.; Vicario, J.C.; Civello, P.M. Tolerance induction to chilling injury in tomato fruit. Postharvest Biol. Technol. 2005, 35, 295–301. [Google Scholar]
- Johnson, D.; Vinale, F.; Liu, Y.; Li, H.; Kyriakopoulou, K.; Druzhinina, I.S.; Woo, S.L. Enhancing plant performance under stress with a multi-partnered approach: New insights into Trichoderma–mycorrhiza interactions. Plant Soil 2022, 471, 1–17. [Google Scholar]
- García-Seco, D.; Zhang, X.; Antal, Z. The combined inoculation of arbuscular mycorrhizal fungi and Trichoderma spp. improves plant growth, nutrient uptake and photosynthetic efficiency in tomato under stress conditions. Agronomy 2000, 10, 55. [Google Scholar]
- Singh, R.P.; Jha, P.N.; Jha, P.N. Phosphate solubilizing bacteria and mycorrhiza-assisted bioinoculants in enhancing plant growth, nutrient uptake and heavy metal tolerance of crop plants. In Microbial Inoculants in Sustainable Agricultural Productivity; Springer: Singapore, 2021; pp. 279–302. [Google Scholar]
- García-Garrido, J.M.; Ocampo, J.A. Regulation of the plant defence response in arbuscular mycorrhizal symbiosis. J. Exp. Bot. 2002, 53, 1377–1386. [Google Scholar] [CrossRef]
- Jung, S.C.; Martinez-Medina, A.; Lopez-Raez, J.A.; Pozo, M.J. Mycorrhiza-Induced Resistance and Priming of Plant Defenses. J. Chem. Ecol. 2012, 38, 651–664. [Google Scholar] [CrossRef]
- Dejana, L.; Ramírez-Serrano, B.; Rivero, J.; Gamir, J.; López-Ráez, J.A.; Pozo, M.J. Phosphorus availability drives mycorrhiza induced resistance in tomato. Front. Plant Sci. 2022, 13, 1060926. [Google Scholar] [CrossRef]
- Barea, J.M.; Andrade, G.; Bianciotto, V.; Dowling, D.; Lohrke, S.; Bonfante, P. Impact on arbuscular mycorrhiza formation of pseudomonas strains used as inoculants for biocontrol of soil-borne fungal plant pathogens. Appl. Environ. Microbiol. 2002, 68, 1747–1754. [Google Scholar] [CrossRef] [PubMed]
- Frew, A.; Powell, J.R.; Glauser, G.; Bennett, A.E.; Johnson, S.N. Mycorrhizal fungi enhance nutrient uptake but disarm defences in plant roots, promoting plant-parasitic nematode populations. Soil Biol. Biochem. 2018, 126, 123–132. [Google Scholar] [CrossRef]
- Gryndler, M.; Hršelová, H.; Cajthaml, T.; Havránková, M.; Řezáčová, V.; Gryndlerová, H.; Larsen, J. Influence of soil organic matter decomposition on arbuscular mycorrhizal fungi in terms of asymbiotic hyphal growth and root colonization. Mycorrhiza 2009, 19, 255–266. [Google Scholar] [CrossRef]
- Hammer, E.C.; Nasr, H.; Wallander, H. Effects of different organic materials and mineral nutrients on arbuscular mycorrhizal fungal growth in a Mediterranean saline dryland. Soil Biol. Biochem. 2011, 43, 2332–2337. [Google Scholar] [CrossRef]
- Eschen, R.; Müller-Schärer, H.; Schaffner, U. Plant interspecific differences in arbuscular mycorrhizal colonization as a result of soil carbon addition. Mycorrhiza 2013, 23, 61–70. [Google Scholar] [CrossRef]
- Mahamud-López, M.; Gutiérrez-Lavín, A.; Sastre-Andrés, H. Biosólidos generados en la depuración de aguas (I): Planteamiento del problema. Ing. Del Agua 1996, 3. [Google Scholar] [CrossRef]
- Jacquot-Plumey, E.; Caussanel, J.-P.; Gianinazzi, S.; Van Tuinen, D.; Gianinazzi-Pearson, V. Heavy metals in sewage sludges contribute to their adverse effects on the arbuscular mycorrhizal fungus Glomus mosseae. Folia Geobot. 2003, 38, 167–176. [Google Scholar] [CrossRef]
- Ghanavati, N.; Nadian, H.A.; Moezzi, A.; Rejali, F. Effects of sewage sludge on growth and nutrients uptake by Hordum vulgare as affected by two species of arbuscular-mycorrhizal fungi. Adv. Environ. Biol. 2012, 6, 612–617. [Google Scholar]
- McAllister, C.B.; García-Romera, I.; Godeas, A.; Ocampo, J.A. Interactions between Trichoderma koningii, Fusarium solani and Glomus mosseae: Effects on plant growth, arbuscular mycorrhizas and the saprophyte inoculants. Soil Biol. Biochem. 1994, 26, 1363–1367. [Google Scholar] [CrossRef]
- Radford, A.; Stone, P.J.; Taleb, F. Cellulase and amylase complexes. In Biosynthesis and Biodegradation of Cellulose; Haigler, C.H., Weimer, P.J., Eds.; Marcel Dekker: New York, NY, USA, 1996; pp. 535–597. [Google Scholar]
- Paz-Ferreiro, J.; Gascó, G.; Gutiérrez, B.; Méndez, A. Soil biochemical activities and the geometric mean of enzyme activities after application of sewage sludge and sewage sludge biochar to soil. Biol. Fertil. Soils 2012, 48, 511–517. [Google Scholar] [CrossRef]
- Saikia, S.; Yadav, M.; Hoque, R.A.; Yadav, H.S. Bioremediation mediated by manganese peroxidase—An overview. Biocatal. Biotransform. 2023, 41, 161–173. [Google Scholar] [CrossRef]
- Medina, A.; Roldán, A.; Azcón, R. The effectiveness of arbuscular-mycorrhizal fungi and Aspergillus niger or Phanerochaete chrysosporium treated organic amendments from olive residues upon plant growth in a semi-arid degraded soil. J. Environ. Manag. 2010, 91, 2547–2553. [Google Scholar] [CrossRef] [PubMed]
- Smith, S.R. The Implications for Human Health and Environment of Recycling Biosolids onto Agricultural Land; Centre for Environmental Control and Waste Management Imperial College London: London, UK, 2008. [Google Scholar]
- Hussain, M.; Debnath, B.; Qasim, M.; Bamisile, B.S.; Islam, W.; Hameed, M.S.; Wang, L.; Qiu, D. Role of Saponins in Plant Defense Against Specialist Herbivores. Molecules 2019, 24, 2067. [Google Scholar] [CrossRef]
- Gianinazzi, S.; Gollotte, A.; Binet, M.-N.; van Tuinen, D.; Redecker, D.; Wipf, D. Agroecology: The key role of arbuscular mycorrhizas in ecosystem services. Mycorrhiza 2010, 20, 519–530. [Google Scholar] [CrossRef]



| Parameter | Units | Organic Sewage Sludge |
|---|---|---|
| pH (H2O) | - | 6.99 |
| Organic matter | % | 52.1 |
| Kjeldahl nitrogen | (g kg−1) | 38.7 |
| Total P | (mg kg−1) | 1279 |
| Available K | (mg kg−1) | 3079 |
| Iron | (mg kg−1) | 283.7 |
| Aluminum extractable | (mg kg−1) | 88 |
| Cadmium | (mg kg−1) | 2.83 |
| Nickel | (mg kg−1) | 28.5 |
| Lead | (mg kg−1) | 60.9 |
| Copper | (mg kg−1) | 737.1 |
| Zinc | (mg kg−1) | 821.9 |
| Parameter | Sandy Soil | Soil + 75% Sludge | Soil + 100% Sludge |
|---|---|---|---|
| pH (H2O) | 6.74 | 6.62 | 6.63 |
| Organic matter (%) | 0.03 | 0.18 | 0.20 |
| Kjeldahl nitrogen | 6.0 | 10.4 | 11.2 |
| Olsen-P (mg kg−1) | 0.3 | 3.7 | 4.1 |
| Available-K (mg kg−1) | 83.9 | 62.9 | 70.9 |
| Exchangeable Al (mg kg−1) | 0.02 | 0.01 | 0.02 |
| Exchangeable Mg (mg kg−1) | 0.16 | 0.14 | 0.17 |
| CEC (cmol kg−1) | 1.67 | 2.29 | 2.42 |
| Fe (mg kg−1) | 13.4 | 18.2 | 20.2 |
| Mn (mg kg−1) | 0.9 | 1.9 | 2.2 |
| Zn (mg kg−1) | 0.1 | 0.3 | 0.3 |
| Cu (mg kg−1) | 0.4 | 0.5 | 0.5 |
| Treatments | Enzymes | 0% | 75% | 100% |
|---|---|---|---|---|
| Coriolopsis rigida | Laccase | 2.912 | 3.65 | ND |
| Mn-Peroxidase | 0.88 | 0.95 | ND |
| Treatments | AM Inoculation | 0% | 75% | 100% |
|---|---|---|---|---|
| None | None | 9.2 a A | 12.4 a B | 12.3 a B |
| Gigaspora roseae | 28.4 c C | 31.2 c D | 20.3 c A | |
| Coriolopsis rigida | None | 14.1 b B | 12.7 a A B | 14.5 a b B |
| Gigaspora roseae | 48.3 d C | 24.0 b A B | 20.5 c A |
| Treatments | AM Inoculation | 0% | 75% | 100% |
|---|---|---|---|---|
| None | None | 2.13 a A | 3.08 a B | 2.72 a A B |
| Gigaspora roseae | 2.46 b A | 3.27 a b B C | 2.96 a b B | |
| Coriolopsis rigida | None | 2.17 a A | 3.56 c B | 3.49 c B |
| Gigaspora roseae | 1.99 a A | 4.18 d C | 3.16 b B |
Disclaimer/Publisher’s Note: The statements, opinions and data contained in all publications are solely those of the individual author(s) and contributor(s) and not of MDPI and/or the editor(s). MDPI and/or the editor(s) disclaim responsibility for any injury to people or property resulting from any ideas, methods, instructions or products referred to in the content. |
© 2024 by the authors. Licensee MDPI, Basel, Switzerland. This article is an open access article distributed under the terms and conditions of the Creative Commons Attribution (CC BY) license (https://creativecommons.org/licenses/by/4.0/).
Share and Cite
Pereira, G.; Castillo-Novales, D.; Salazar, C.; Atala, C.; Arriagada-Escamilla, C. Gigaspora roseae and Coriolopsis rigida Fungi Improve Performance of Quillaja saponaria Plants Grown in Sandy Substrate with Added Sewage Sludge. J. Fungi 2025, 11, 2. https://doi.org/10.3390/jof11010002
Pereira G, Castillo-Novales D, Salazar C, Atala C, Arriagada-Escamilla C. Gigaspora roseae and Coriolopsis rigida Fungi Improve Performance of Quillaja saponaria Plants Grown in Sandy Substrate with Added Sewage Sludge. Journal of Fungi. 2025; 11(1):2. https://doi.org/10.3390/jof11010002
Chicago/Turabian StylePereira, Guillermo, Diyanira Castillo-Novales, Cristian Salazar, Cristian Atala, and Cesar Arriagada-Escamilla. 2025. "Gigaspora roseae and Coriolopsis rigida Fungi Improve Performance of Quillaja saponaria Plants Grown in Sandy Substrate with Added Sewage Sludge" Journal of Fungi 11, no. 1: 2. https://doi.org/10.3390/jof11010002
APA StylePereira, G., Castillo-Novales, D., Salazar, C., Atala, C., & Arriagada-Escamilla, C. (2025). Gigaspora roseae and Coriolopsis rigida Fungi Improve Performance of Quillaja saponaria Plants Grown in Sandy Substrate with Added Sewage Sludge. Journal of Fungi, 11(1), 2. https://doi.org/10.3390/jof11010002

