Genome-Wide Identification and Expression Analysis of the Cys2His2 Zinc Finger Protein Gene Family in Flammulina filiformis
Abstract
1. Introduction
2. Materials and Methods
2.1. Identification and Chromosomal Localization of C2H2-ZFPs in F. filiformis
2.2. Gene Structure and Conserved Motif Analysis
2.3. Phylogenetic Analysis of C2H2-ZFPs in F. filiformis
2.4. Cis-Element Analysis of C2H2-ZFPs in F. filiformis
2.5. Gene Duplication and Ka/Ks Analysis
2.6. Expression Pattern Analysis
2.7. Strains and Collection of Samples
2.8. Gene Expression Analysis
3. Results
3.1. Identification of C2H2-ZFP Gene Family in F. filiformis
3.2. Chromosomal Distribution and Gene Duplication in the FfC2H2-ZFP Genes
3.3. Phylogeny Analysis, Motifs Assay, and Gene Structure of the FfC2H2-ZFPs
3.4. Cis-Element Analysis of the C2H2-ZFP Gene Family in F. filiformis
3.5. Phylogenetic Analysis of the FfC2H2-ZFPs
3.6. Synteny Analysis of the FfC2H2-ZFP Genes
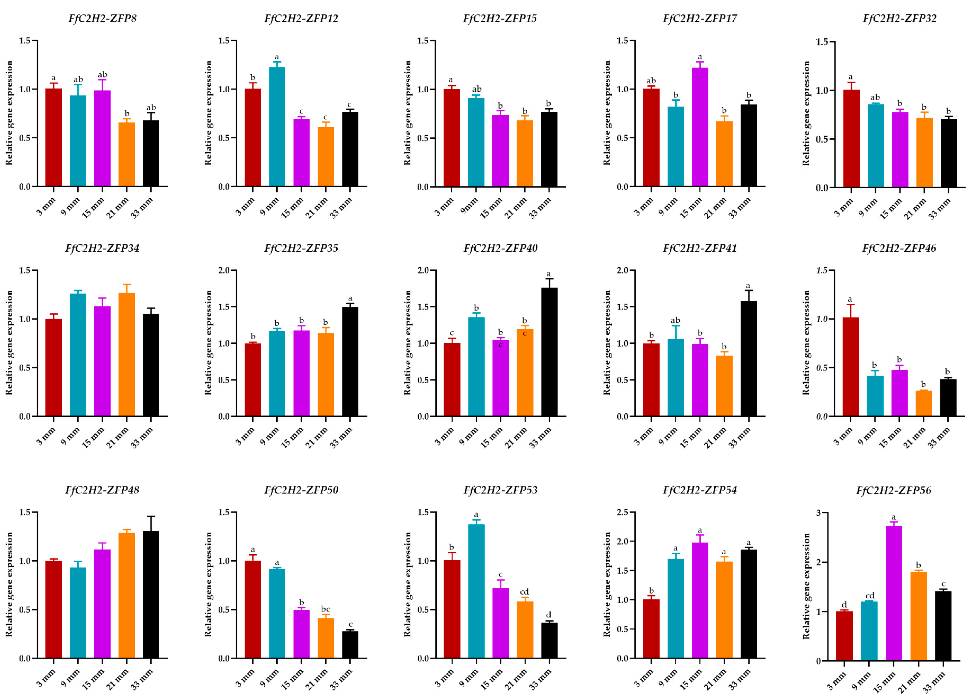
3.7. Expression Pattern of the FfC2H2-ZFPs in Different Tissues
4. Discussion
Supplementary Materials
Author Contributions
Funding
Institutional Review Board Statement
Informed Consent Statement
Data Availability Statement
Acknowledgments
Conflicts of Interest
References
- Laity, J.H.; Lee, B.M.; Wright, P.E. Zinc finger proteins: New insights into structural and functional diversity. Curr. Opin. Struct. Biol. 2001, 11, 39–46. [Google Scholar] [CrossRef] [PubMed]
- Berg, J.M.; Shi, Y. The galvanization of biology: A growing appreciation for the roles of zinc. Sci. New Ser. 1996, 271, 1081–1085. [Google Scholar] [CrossRef] [PubMed]
- Miller, J.; McLachlan, A.D.; Klug, A. Repetitive zinc-binding domains in the protein transcription factor IIIA from Xenopus oocytes. EMBO J. 1985, 4, 1609–1614. [Google Scholar] [CrossRef] [PubMed]
- Pabo, C.O.; Peisach, E.; Grant, R.A. Design and selection of novel Cys2His2 zinc finger proteins. Annu. Rev. Biochem. 2001, 70, 313–340. [Google Scholar] [CrossRef] [PubMed]
- Layat, E.; Probst, A.V.; Tourmente, S. Structure, function and regulation of transcription factor IIIA: From Xenopus to Arabidopsis. Biochim. Biophys. Acta 2013, 1829, 274–282. [Google Scholar] [CrossRef]
- Wang, K.; Ding, Y.; Cai, C.; Chen, Z.; Zhu, C. The role of C2H2 zinc finger proteins in plant responses to abiotic stresses. Physiol. Plant. 2019, 165, 690–700. [Google Scholar] [CrossRef]
- Li, C.; Xia, Y.; Jin, K. The C2H2 zinc finger protein MaNCP1 contributes to conidiation through governing the nitrate assimilation pathway in the entomopathogenic fungus Metarhizium acridum. J. Fungi 2022, 8, 942. [Google Scholar] [CrossRef]
- Agarwal, P.; Arora, R.; Ray, S.; Singh, A.K.; Singh, V.P.; Takatsuji, H.; Kapoor, S.; Tyagi, A.K. Genome-wide identification of C2H2 zinc-finger gene family in rice and their phylogeny and expression analysis. Plant Mol. Biol. 2007, 65, 467–485. [Google Scholar] [CrossRef]
- Faraji, S.; Rasouli, S.H.; Kazemitabar, S.K. Genome-wide exploration of C2H2 zinc finger family in durum wheat (Triticum turgidum ssp. Durum): Insights into the roles in biological processes especially stress response. BioMetals 2018, 31, 1019–1042. [Google Scholar] [CrossRef]
- Li, X.L.; Meng, D.; Li, M.J.; Zhou, J.; Yang, Y.Z.; Zhou, B.B.; Wei, Q.P.; Zhang, J.K. Transcription factors MhDREB2A/MhZAT10 play a role in drought and cold stress response crosstalk in apple. Plant Physiol. 2023, 192, 2203–2220. [Google Scholar] [CrossRef]
- Cui, H.; Chen, J.; Liu, M.; Zhang, H.; Zhang, S.; Liu, D.; Chen, S. Genome-wide analysis of C2H2 zinc finger gene family and its response to cold and drought stress in Sorghum [Sorghum Bicolor (L.) Moench]. Int. J. Mol. Sci. 2022, 23, 5571. [Google Scholar] [CrossRef] [PubMed]
- Salih, H.; Odongo, M.R.; Gong, W.; He, S.; Du, X. Genome-wide analysis of cotton C2H2-zinc finger transcription factor family and their expression analysis during fiber development. BMC Plant Biol. 2019, 19, 400. [Google Scholar] [CrossRef] [PubMed]
- Li, H.; Yue, M.; Jiang, L.; Liu, Y.; Zhang, N.; Liu, X.; Ye, Y.; Lin, X.; Zhang, Y.; Lin, Y.; et al. Genome-wide identification of strawberry C2H2-ZFP C1-2i subclass and the potential function of FaZAT10 in abiotic stress. Int. J. Mol. Sci. 2022, 23, 13079. [Google Scholar] [CrossRef] [PubMed]
- Kiełbowicz-Matuk, A. Involvement of plant C2H2-type zinc finger transcription factors in stress responses. Plant Sci. 2012, 185–186, 78–85. [Google Scholar] [CrossRef] [PubMed]
- Han, G.; Lu, C.; Guo, J.; Qiao, Z.; Sui, N.; Qiu, N.; Wang, B. C2H2 zinc finger proteins: Master regulators of abiotic stress responses in plants. Front. Plant Sci. 2020, 11, 115. [Google Scholar] [CrossRef]
- Lyu, T.; Cao, J. Cys2/His2 zinc-finger proteins in transcriptional regulation of flower development. Int. J. Mol. Sci. 2018, 19, 2589. [Google Scholar] [CrossRef]
- Liu, Y.; Khan, A.R.; Azhar, W.; Wong, C.E.; Li, Y.; Huang, Y.; Cao, X.; Liu, Z.; Gan, Y. Cys2/His2-type zinc finger proteins regulate plant growth and development. Crit. Rev. Plant Sci. 2022, 41, 351–363. [Google Scholar] [CrossRef]
- Li, X.; Zhao, Y.; Moon, H.; Lim, J.; Park, H.S.; Liu, Z.; Yu, J.H. The putative C2H2 transcription factor VadH governs development, osmotic stress response, and sterigmatocystin production in Aspergillus nidulans. Cells 2022, 11, 3998. [Google Scholar] [CrossRef]
- Li, C.; Xia, Y.; Jin, K. N-terminal zinc fingers of MaNCP1 contribute to growth, stress tolerance, and virulence in Metarhizium acridum. Int. J. Biol. Macromol. 2022, 216, 426–436. [Google Scholar] [CrossRef]
- Han, P.; Hua, Z.; Zhao, Y.; Huang, L.; Yuan, Y. PuCRZ1, an C2H2 transcription factor from Polyporus umbellatus, positively regulates mycelium response to osmotic stress. Front. Microbiol. 2023, 14, 1131605. [Google Scholar] [CrossRef]
- Pelkmans, J.F.; Vos, A.M.; Scholtmeijer, K.; Hendrix, E.; Baars, J.J.P.; Gehrmann, T.; Reinders, M.J.T.; Lugones, L.G.; Wösten, H.A.B. The transcriptional regulator c2h2 accelerates mushroom formation in Agaricus bisporus. Appl. Microbiol. Biotechnol. 2016, 100, 7151–7159. [Google Scholar] [CrossRef] [PubMed]
- Ohm, R.A.; de Jong, J.F.; de Bekker, C.; Wösten, H.A.B.; Lugones, L.G. Transcription factor genes of Schizophyllum commune involved in regulation of mushroom formation. Mol. Microbiol. 2011, 81, 1433–1445. [Google Scholar] [CrossRef] [PubMed]
- Sakamoto, Y.; Sato, S.; Yoshida, H.; Takahashi, M.; Osakabe, K.; Muraguchi, H. The exp2 gene, which encodes a protein with two zinc finger domains, regulates cap expansion and autolysis in Coprinopsis cinerea. Microbiol. Res. 2024, 283, 127695. [Google Scholar] [CrossRef]
- Ding, Q.; Zhao, H.; Zhu, P.; Jiang, X.; Nie, F.; Li, G. Genome-wide identification and expression analyses of C2H2 zinc finger transcription factors in Pleurotus ostreatus. PeerJ 2022, 10, e12654. [Google Scholar] [CrossRef] [PubMed]
- Wu, D.; Li, W.J.; Yao, H.; Qian, Z.M.; Zhao, D.G.; Xiang, L. Identification of C2H2 gene family of Ophiocordyceps sinensis and its expression under arsenic stress. J. Fungal Res. 2020, 18, 110–120. [Google Scholar] [CrossRef]
- Wang, P.M.; Liu, X.B.; Dai, Y.C.; Horak, E.; Steffen, K.; Yang, Z.L. Phylogeny and species delimitation of Flammulina: Taxonomic status of winter mushroom in East Asia and a new European species identified using an integrated approach. Mycol. Prog. 2018, 17, 1013–1030. [Google Scholar] [CrossRef]
- Yan, J.; Chekanova, J.; Liu, Y.; Gan, B.; Long, Y.; Han, X.; Tong, Z.; Miao, J.; Lian, L.; Xie, B.; et al. Reactive oxygen species distribution involved in stipe gradient elongation in the mushroom Flammulina filiformis. Cells 2022, 11, 1896. [Google Scholar] [CrossRef]
- Lyu, X.; Wang, Q.; Liu, A.; Liu, F.; Meng, L.; Wang, P.; Zhang, Y.; Wang, L.; Li, Z.; Wang, W. The transcription factor Ste12-like increases the mycelial abiotic stress tolerance and regulates the fruiting body development of Flammulina filiformis. Front. Microbiol. 2023, 14, 1139679. [Google Scholar] [CrossRef]
- Li, J.; Shao, Y.; Yang, Y.; Xu, C.; Jing, Z.; Li, H.; Xie, B.; Tao, Y. The chromatin modifier protein FfJMHY plays an important role in regulating the rate of mycelial growth and stipe elongation in Flammulina filiformis. J. Fungi 2022, 8, 477. [Google Scholar] [CrossRef]
- Yan, J.; Tong, Z.; Han, X.; Gan, Y.; Liu, Y.; Chen, J.; Duan, X.; Lin, J.; Gan, B.; Xie, B. Transcriptome profiling reveals candidate genes related to stipe gradient elongation of Flammulina filiformis. J. Fungi 2022, 9, 64. [Google Scholar] [CrossRef]
- Chen, C.; Wu, Y.; Li, J.; Wang, X.; Zeng, Z.; Xu, J.; Liu, Y.; Feng, J.; Chen, H.; He, Y.; et al. TBtools-II: A “one for all, all for one” bioinformatics platform for biological big-data mining. Mol. Plant 2023, 16, 1733–1742. [Google Scholar] [CrossRef] [PubMed]
- Bailey, T.L.; Johnson, J.; Grant, C.E.; Noble, W.S. The MEME Suite. Nucleic Acids Res. 2015, 43, W39–W49. [Google Scholar] [CrossRef] [PubMed]
- Park, J.; Park, J.; Jang, S.; Kim, S.; Kong, S.; Choi, J.; Ahn, K.; Kim, J.; Lee, S.; Kim, S.; et al. FTFD: An informatics pipeline supporting phylogenomic analysis of fungal transcription factors. Bioinformatics 2008, 24, 1024–1025. [Google Scholar] [CrossRef] [PubMed]
- Hu, B.; Jin, J.; Guo, A.Y.; Zhang, H.; Luo, J.; Gao, G. GSDS 2.0: An upgraded gene feature visualization server. Bioinformatics 2015, 31, 1296–1297. [Google Scholar] [CrossRef]
- Wang, Y.; Tang, H.; Debarry, J.D.; Tan, X.; Li, J.; Wang, X.; Lee, T.; Jin, H.; Marler, B.; Guo, H.; et al. MCScanX: A toolkit for detection and evolutionary analysis of gene synteny and collinearity. Nucleic Acids Res. 2012, 40, e49. [Google Scholar] [CrossRef]
- Liu, X.B.; Xia, E.H.; Li, M.; Cui, Y.Y.; Wang, P.M.; Zhang, J.X.; Xie, B.G.; Xu, J.P.; Yan, J.J.; Li, J.; et al. Transcriptome data reveal conserved patterns of fruiting body development and response to heat stress in the mushroom-forming fungus Flammulina filiformis. PLoS ONE 2020, 15, e0239890. [Google Scholar] [CrossRef]
- Kim, D.; Langmead, B.; Salzberg, S.L. HISAT: A fast spliced aligner with low memory requirements. Nat. Methods 2015, 12, 357–360. [Google Scholar] [CrossRef]
- Anders, S.; Pyl, P.T.; Huber, W. HTSeq—A Python framework to work with high-throughput sequencing data. Bioinformatics 2015, 31, 166–169. [Google Scholar] [CrossRef]
- Yan, J.J.; Tong, Z.J.; Liu, Y.Y.; Li, Y.N.; Zhao, C.; Mukhtar, I.; Tao, Y.X.; Chen, B.Z.; Deng, Y.J.; Xie, B.G. Comparative transcriptomics of Flammulina filiformis suggests a high CO2 concentration inhibits early pileus expansion by decreasing cell division control pathways. Int. J. Mol. Sci. 2019, 20, 5923. [Google Scholar] [CrossRef]
- Park, Y.J.; Baek, J.H.; Lee, S.; Kim, C.; Rhee, H.; Kim, H.; Seo, J.S.; Park, H.R.; Yoon, D.E.; Nam, J.Y.; et al. Whole genome and global gene expression analyses of the model mushroom Flammulina velutipes reveal a high capacity for lignocellulose degradation. PLoS ONE 2014, 9, e93560. [Google Scholar] [CrossRef]
- Tao, Y.; van Peer, A.F.; Huang, Q.; Shao, Y.; Zhang, L.; Xie, B.; Jiang, Y.; Zhu, J.; Xie, B. Identification of novel and robust internal control genes from Volvariella volvacea that are suitable for RT-qPCR in filamentous fungi. Sci. Rep. 2016, 6, 29236. [Google Scholar] [CrossRef] [PubMed]
- Livak, K.J.; Schmittgen, T.D. Analysis of relative gene expression data using real-time quantitative PCR and the 2−ΔΔCT method. Methods 2001, 25, 402–408. [Google Scholar] [CrossRef] [PubMed]
- Waterhouse, A.M.; Procter, J.B.; Martin, D.M.A.; Clamp, M.; Barton, G.J. Jalview Version 2—A Multiple Sequence Alignment Editor and Analysis Workbench. Bioinformatics 2009, 25, 1189–1191. [Google Scholar] [CrossRef] [PubMed]
- Fedotova, A.A.; Bonchuk, A.N.; Mogila, V.A.; Georgiev, P.G. C2H2 zinc finger proteins: The largest but poorly explored family of higher eukaryotic transcription factors. Acta Naturae 2017, 9, 47–58. [Google Scholar] [CrossRef] [PubMed]
- Tholen, J.; Galej, W.P. Structural studies of the spliceosome: Bridging the gaps. Curr. Opin. Struct. Biol. 2022, 77, 102461. [Google Scholar] [CrossRef]
- Gillani, M.; Pollastri, G. Protein subcellular localization prediction tools. Comput. Struct. Biotechnol. J. 2024, 23, 1796–1807. [Google Scholar] [CrossRef]
- Goldtzvik, Y.; Sen, N.; Lam, S.D.; Orengo, C. Protein diversification through post-translational modifications, alternative splicing, and gene duplication. Curr. Opin. Struct. Biol. 2023, 81, 102640. [Google Scholar] [CrossRef]
- Liu, Z.; Coulter, J.A.; Li, Y.; Zhang, X.; Meng, J.; Zhang, J.; Liu, Y. Genome-wide identification and analysis of the Q-type C2H2 gene family in potato (Solanum tuberosum L.). Int. J. Biol. Macromol. 2020, 153, 327–340. [Google Scholar] [CrossRef]
- Zhou, X.; Gao, T.; Zhang, Y.; Han, M.; Shen, Y.; Su, Y.; Feng, X.; Wu, Q.; Sun, G.; Wang, Y. Genome-wide identification, character-ization and expression of C2H2 zinc finger gene family in Opisthopappus species under salt stress. BMC Genom. 2024, 25, 385. [Google Scholar] [CrossRef]
- Zhu, M.; Yan, B.; Hu, Y.; Cui, Z.; Wang, X. Genome-wide identification and phylogenetic analysis of rice FTIP gene family. Genomics 2020, 112, 3803–3814. [Google Scholar] [CrossRef]
- Marand, A.P.; Eveland, A.L.; Kaufmann, K.; Springer, N.M. Cis-regulatory elements in plant development, adaptation, and evolution. Annu. Rev. Plant Biol. 2023, 74, 111–137. [Google Scholar] [CrossRef]









Disclaimer/Publisher’s Note: The statements, opinions and data contained in all publications are solely those of the individual author(s) and contributor(s) and not of MDPI and/or the editor(s). MDPI and/or the editor(s) disclaim responsibility for any injury to people or property resulting from any ideas, methods, instructions or products referred to in the content. |
© 2024 by the authors. Licensee MDPI, Basel, Switzerland. This article is an open access article distributed under the terms and conditions of the Creative Commons Attribution (CC BY) license (https://creativecommons.org/licenses/by/4.0/).
Share and Cite
Tong, Z.; Han, X.; Duan, X.; Lin, J.; Chen, J.; Xiao, J.; Gan, Y.; Gan, B.; Yan, J. Genome-Wide Identification and Expression Analysis of the Cys2His2 Zinc Finger Protein Gene Family in Flammulina filiformis. J. Fungi 2024, 10, 644. https://doi.org/10.3390/jof10090644
Tong Z, Han X, Duan X, Lin J, Chen J, Xiao J, Gan Y, Gan B, Yan J. Genome-Wide Identification and Expression Analysis of the Cys2His2 Zinc Finger Protein Gene Family in Flammulina filiformis. Journal of Fungi. 2024; 10(9):644. https://doi.org/10.3390/jof10090644
Chicago/Turabian StyleTong, Zongjun, Xing Han, Xinlian Duan, Junbin Lin, Jie Chen, Jihong Xiao, Ying Gan, Bingcheng Gan, and Junjie Yan. 2024. "Genome-Wide Identification and Expression Analysis of the Cys2His2 Zinc Finger Protein Gene Family in Flammulina filiformis" Journal of Fungi 10, no. 9: 644. https://doi.org/10.3390/jof10090644
APA StyleTong, Z., Han, X., Duan, X., Lin, J., Chen, J., Xiao, J., Gan, Y., Gan, B., & Yan, J. (2024). Genome-Wide Identification and Expression Analysis of the Cys2His2 Zinc Finger Protein Gene Family in Flammulina filiformis. Journal of Fungi, 10(9), 644. https://doi.org/10.3390/jof10090644

