Broad-Spectrum Efficacy and Modes of Action of Two Bacillus Strains against Grapevine Black Rot and Downy Mildew
Abstract
1. Introduction
2. Materials and Methods
2.1. Biological Material
2.1.1. Grapevine Cuttings Production
2.1.2. Pathogen Strains and Culture Conditions—Inoculum Preparation
- G. bidwellii
- -
- Asexual inoculum: after a 3-week growth period under permanent light at constant 23 °C in a growth chamber (LMS 610XAP, LMS Ltd., Sevenoaks, Kent, United Kingdom), pycniospores were obtained by flooding the Petri dishes with 10 mL of sterile deionised water, and the spore concentration was further adjusted by hematocytometry (see also hereafter) at the desired density, 2 × 104 spores.mL−1 [12,13].
- -
- Sexual inoculum: overwintered fruit mummies (cv. Prior) were used, originating from an INRAE vineyard near Bordeaux (Château Couhins, Gironde, France) in fall in 2021 and 2022, and intended for use the following year. Mummies were stored outdoors for perithecia maturation during winter. At maturity, spores were obtained by soaking mummies in sterile water for 30 to 45 min [10]. In the spore suspensions, ascospore concentration was adjusted at the desired density, namely 2 × 104 spores.mL−1 of suspension, by hematocytometry.
- P. viticola
2.1.3. Bacterial Supernatant Production
2.2. In Planta Protection Assays
2.2.1. Black Rot Experimental Design and Disease Evaluation
2.2.2. Protection Assays against Downy Mildew
2.3. Evaluation of Direct Toxicity of the Bacterial Supernatants towards Pathogens
2.3.1. In Planta Experiments
- Towards G. bidwellii
- Towards P. viticola
2.3.2. In Vitro Experiments
- Supernatant anti-germinative activity against G. bidwellii pycniospores
- Supernatant antifungal activity against G. bidwellii mycelial growth
- Effects on the release and the motility of P. viticola zoospores
2.4. Assessment of Defence-Related Responses
2.4.1. Gene Expression Analyses by qRT-PCR
2.4.2. Stilbene Extraction and Analyses
2.5. Statistical Analyses
3. Results
3.1. Preventive Protection Assays
3.1.1. Efficient Preventive Protection against G. bidwellii
- Supernatant preventive application 24 h pre-inoculation
- Supernatant preventive application 48 h pre-inoculation
3.1.2. Supernatant Efficient Preventive Application against Downy Mildew
3.2. Evidence of Direct Toxicity of the Bacterial Supernatants towards Pathogens
3.2.1. In Planta Experiments
- In planta direct toxicity towards G. bidwellii
- In planta direct toxicity towards P. viticola
3.2.2. In Vitro Experiments
- In vitro anti-germinative activity against G. bidwellii (pycniospores)
- In vitro antifungal activity against G. bidwellii (mycelial growth) and P. viticola (zoospore-release inhibition)
- In vitro direct effect against P. viticola
3.3. Accumulation of Gene Transcripts (STS and ROMT) Contributing to Defence-Related Responses
3.3.1. Gene Expression Analyses by qRT-PCR
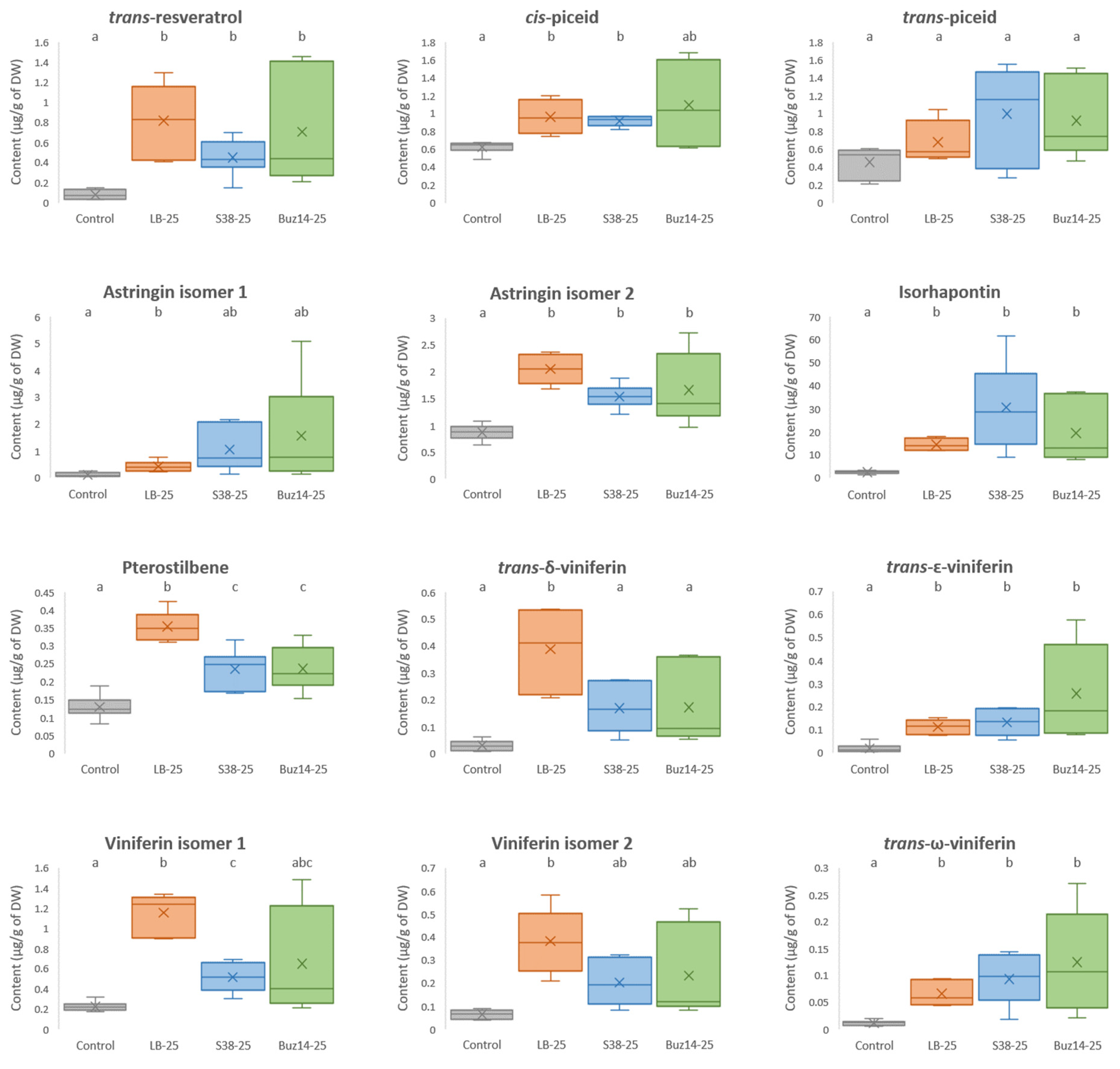
3.3.2. Stilbene Analyses
4. Discussion
4.1. In Planta Multi-Pathogen Preventive Protection
4.2. Characterisation of the Antibiosis Mode of Action
4.3. Plant Defence Elicitation
4.4. Antifungal Activity of the LB Culture Medium
5. Conclusions
Supplementary Materials
Author Contributions
Funding
Data Availability Statement
Acknowledgments
Conflicts of Interest
References
- Elad, Y.; Pertot, I.; Cotes Prado, A.M.; Stewart, A. Plant Hosts of Botrytis spp. In Botrytis—The Fungus, the Pathogen and Its Management in Agricultural Systems; Fillinger, S., Elad, Y., Eds.; Springer International Publishing: Cham, Switzerland, 2016; pp. 413–486. ISBN 978-3-319-23371-0. [Google Scholar]
- Elad, Y.; Vivier, M.; Fillinger, S. Botrytis, the good, the bad and the ugly. In Botrytis—The Fungus, the Pathogen and Its Management in Agricultural Systems; Fillinger, S., Elad, Y., Eds.; Springer International Publishing: Cham, Switzerland, 2016; pp. 1–15. ISBN 978-3-319-23371-0. [Google Scholar]
- Koledenkova, K.; Esmaeel, Q.; Jacquard, C.; Nowak, J.; Clément, C.; Ait Barka, E. Plasmopara viticola the Causal Agent of Downy Mildew of Grapevine: From Its Taxonomy to Disease Management. Front. Microbiol. 2022, 13, 889472. [Google Scholar] [CrossRef] [PubMed]
- Peng, J.; Wang, X.; Wang, H.; Li, X.; Zhang, Q.; Wang, M.; Yan, J. Advances in understanding grapevine downy mildew: From pathogen infection to disease management. Mol. Plant Pathol. 2024, 25, 13401. [Google Scholar] [CrossRef] [PubMed]
- Fermaud, M.; Merot, A.; Delbac, L.; Daraignes, L.; Fraysse, M.; Smits, N. Long-term historical characterization of French vineyard exposure to pests and diseases: A case study of the Bordeaux and Champagne regions. Work. Group Integr. Prot. Vitic. 2024, 171, 29–33. [Google Scholar]
- Besselat, B.; Bouchet, J. Black-rot: A cause for concern in some vineyards. Phytoma 1984, 356, 33–35. [Google Scholar]
- Ramsdell, D.C.; Milholland, R.D. Black rot. In Compendium of Grape Diseases; Pearson, R.C., Goheen, A.C., Eds.; The American Phytopathological Society: St. Paul, MN, USA, 1988; pp. 15–17. [Google Scholar]
- Rossi, V.; Onesti, G.; Legler, S.E.; Caffi, T. Use of systems analysis to develop plant disease models based on literature data: Grape black-rot as a case-study. Eur. J. Plant Pathol. 2015, 141, 427–444. [Google Scholar] [CrossRef]
- Szabó, M.; Csikász-Krizsics, A.; Dula, T.; Farkas, E.; Roznik, D.; Kozma, P.; Deák, T. Black Rot of Grapes (Guignardia bidwellii)—A Comprehensive Overview. Horticulturae 2023, 9, 130. [Google Scholar] [CrossRef]
- Onesti, G.; González-Domínguez, E.; Manstretta, V.; Rossi, V. Release of Guignardia bidwellii ascospores and conidia from overwintered grape berry mummies in the vineyard. Aust. J. Grape Wine Res. 2017, 24, 136–144. [Google Scholar] [CrossRef]
- Kuo, K.; Hoch, H.C. The parasitic relationship between Phyllosticta ampelicida and Vitis vinifera. Mycologia 1996, 88, 626–634. [Google Scholar] [CrossRef]
- Ullrich, C.I.; Kleespies, R.G.; Enders, M.; Koch, E. Biology of the black rot pathogen, Guignardia bidwellii, its development in susceptible leaves of grapevine Vitis vinifera. J. Kult. 2009, 61, 82–90. [Google Scholar]
- Koch, E.; Enders, M.; Ullrich, C.; Molitor, D.; Berkelmann-Löhnertz, B. Effect of Primula root and other plant extracts on infection structure formation of Phyllosticta ampelicida (asexual stage of Guignardia bidwellii) and on black rot disease of grapevine in the greenhouse. J. Plant Dis. Prot. 2013, 120, 26–33. [Google Scholar] [CrossRef]
- Onesti, G.; González-Domínguez, E.; Rossi, V. Production of Pycnidia and Conidia by Guignardia bidwellii, the Causal Agent of Grape Black Rot, as Affected by Temperature and Humidity. Phytopathology 2017, 107, 173–183. [Google Scholar] [CrossRef]
- Molitor, D.; Beyer, M. Epidemiology, identification and disease management of grape black rot and potentially useful metabolites of black rot pathogens for industrial applications—A review. Ann. Appl. Biol. 2014, 165, 305–317. [Google Scholar] [CrossRef]
- Fermaud, M.; Smits, N.; Merot, A.; Roudet, J.; Thiéry, D.; Wery, J.; Delbac, L. New multipest damage indicator to assess protection strategies in grapevine cropping systems. Aust. J. Grape Wine Res. 2016, 22, 450–461. [Google Scholar] [CrossRef]
- Richardson, J.R.; Fitsanakis, V.; Westerink, R.H.S.; Kanthasamy, A.G. Neurotoxicity of pesticides. Acta Neuropathol. 2019, 138, 343–362. [Google Scholar] [CrossRef] [PubMed]
- Yilmaz, B.; Terekeci, H.; Sandal, S.; Kelestimur, F. Endocrine disrupting chemicals: Exposure, effects on human health, mechanism of action, models for testing and strategies for prevention. Rev. Endocr. Metab. Disord. 2020, 21, 127–147. [Google Scholar] [CrossRef]
- Lushchak, V.I.; Matviishyn, T.M.; Husak, V.V.; Storey, J.M.; Storey, K.B. Pesticide toxicity: A mechanistic approach. EXCLI J. 2018, 17, 1101–1136. [Google Scholar] [CrossRef]
- Zhang, C.; Zhou, T.; Xu, Y.; Du, Z.; Li, B.; Wang, J.; Wang, J.; Zhu, L. Ecotoxicology of strobilurin fungicides. Sci. Total Environ. 2020, 742, 140611. [Google Scholar] [CrossRef]
- Hahn, M. The rising threat of fungicide resistance in plant pathogenic fungi: Botrytis as a case study. J. Chem. Biol. 2014, 7, 133–141. [Google Scholar] [CrossRef] [PubMed]
- Cabras, P.; Angioni, A. Pesticide Residues in Grapes, Wine, and Their Processing Products. J. Agric. Food Chem. 2000, 48, 967–973. [Google Scholar] [CrossRef] [PubMed]
- Mattiello, A.; Novello, N.; Cornu, J.-Y.; Babst-Kostecka, A.; Pošćić, F. Copper accumulation in five weed species commonly found in the understory vegetation of Mediterranean vineyards. Environ. Pollut. 2023, 329, 121675. [Google Scholar] [CrossRef]
- Schneider, C.; Onimus, C.; Prado, E.; Dumas, V.; Wiedemann-Merdinoglu, S.; Dorne, M.A.; Lacombe, M.C.; Piron, M.C.; Umar-Faruk, A.; Duchene, E.; et al. INRA-ResDur: The French grapevine breeding programme for durable resistance to downy and powdery mildew. In Proceedings of the Acta Horticulturae, International Society for Horticultural Science (ISHS), Leuven, Belgium, 30 August 2019; pp. 207–214. [Google Scholar]
- Hausmann, L.; Rex, F.; Töpfer, R. Evaluation and genetic analysis of grapevine black rot resistances. Acta Hortic. 2017, 1188, 285–290. [Google Scholar] [CrossRef]
- Galli, M.; Feldmann, F.; Vogler, U.K.; Kogel, K.H. Can biocontrol be the game-changer in integrated pest management? A review of definitions, methods and strategies. J. Plant Dis. Prot. 2024, 131, 265–291. [Google Scholar] [CrossRef]
- Zipfel, C. Plant pattern-recognition receptors. Trends Immunol. 2014, 35, 345–351. [Google Scholar] [CrossRef] [PubMed]
- Couto, D.; Zipfel, C. Regulation of pattern recognition receptor signalling in plants. Nat. Rev. Immunol. 2016, 16, 537–552. [Google Scholar] [CrossRef] [PubMed]
- Boutrot, F.; Zipfel, C. Function, Discovery, and Exploitation of Plant Pattern Recognition Receptors for Broad-Spectrum Disease Resistance. Annu. Rev. Phytopathol. 2017, 55, 257–286. [Google Scholar] [CrossRef] [PubMed]
- Héloir, M.C.; Adrian, M.; Brulé, D.; Claverie, J.; Cordelier, S.; Daire, X.; Dorey, S.; Gauthier, A.; Lemaître-Guillier, C.; Negrel, J.; et al. Recognition of Elicitors in Grapevine: From MAMP and DAMP Perception to Induced Resistance. Front. Plant Sci. 2019, 10, 01117. [Google Scholar] [CrossRef] [PubMed]
- Trdá, L.; Fernandez, O.; Boutrot, F.; Héloir, M.-C.; Kelloniemi, J.; Daire, X.; Adrian, M.; Clément, C.; Zipfel, C.; Dorey, S.; et al. The grapevine flagellin receptor VvFLS2 differentially recognizes flagellin-derived epitopes from the endophytic growth-promoting bacterium Burkholderia phytofirmans and plant pathogenic bacteria. New Phytol. 2014, 201, 1371–1384. [Google Scholar] [CrossRef] [PubMed]
- Roudaire, T.; Marzari, T.; Landry, D.; Löffelhardt, B.; Gust, A.A.; Jermakow, A.; Dry, I.; Winckler, P.; Héloir, M.C.; Poinssot, B. The grapevine LysM receptor-like kinase VvLYK5-1 recognizes chitin oligomers through its association with VvLYK1-1. Front. Plant Sci. 2023, 14, 1130782. [Google Scholar] [CrossRef]
- Li, Y.; Héloir, M.C.; Zhang, X.; Geissler, M.; Trouvelot, S.; Jacquens, L.; Henkel, M.; Su, X.; Fang, X.; Wang, Q.; et al. Surfactin and fengycin contribute to the protection of a Bacillus subtilis strain against grape downy mildew by both direct effect and defence stimulation. Mol. Plant Pathol. 2019, 20, 1037–1050. [Google Scholar] [CrossRef]
- Demanèche, S.; Mirabel, L.; Abbe, O.; Eberst, J.-B.; Souche, J.-L. A New Active Substance Derived from Lyzed Willaertia magna C2c Maky Cells to Fight Grapevine Downy Mildew. Plants 2020, 9, 1013. [Google Scholar] [CrossRef]
- Jeandet, P.; Vannozzi, A.; Sobarzo-Sánchez, E.; Uddin, M.S.; Bru, R.; Martínez-Márquez, A.; Clément, C.; Cordelier, S.; Manayi, A.; Nabavi, S.F.; et al. Phytostilbenes as agrochemicals: Biosynthesis, bioactivity, metabolic engineering and biotechnology. Nat. Prod. Rep. 2020, 38, 1282–1329. [Google Scholar] [CrossRef] [PubMed]
- Compant, S.; Mathieu, F. Biocontrol of Major Grapevine Diseases: Leading Research; CABI: Wallingford, UK, 2016; ISBN 9781780647128. [Google Scholar]
- Haidar, R.; Deschamps, A.; Roudet, J.; Calvo-Garrido, C.; Bruez, E.; Rey, P.; Fermaud, M. Multi-organ screening of efficient bacterial control agents against two major pathogens of grapevine. Biol. Control 2016, 92, 55–65. [Google Scholar] [CrossRef]
- Daraignes, L.; Gerbore, J.; Yacoub, A.; Dubois, L.; Romand, C.; Zekri, O.; Roudet, J.; Chambon, P.; Fermaud, M. Efficacy of P. oligandrum affected by its association with bacterial BCAs and rootstock effect in controlling grapevine trunk diseases. Biol. Control 2018, 119, 59–67. [Google Scholar] [CrossRef]
- Zanzotto, A.; Morroni, M. Major biocontrol studies and measures against fungal and oomycete pathogens of grapevine. CABI 2016, 1, 1–34. [Google Scholar] [CrossRef]
- Calvo-Garrido, C.; Haidar, R.; Roudet, J.; Gautier, T.; Fermaud, M. Pre-selection in laboratory tests of survival and competition before field screening of antagonistic bacterial strains against Botrytis bunch rot of grapes. Biol. Control 2018, 124, 100–111. [Google Scholar] [CrossRef]
- Calvo-Garrido, C.; Roudet, J.; Aveline, N.; Davidou, L.; Dupin, S.; Fermaud, M. Microbial antagonism toward Botrytis bunch rot of grapes in multiple field tests using one Bacillus ginsengihumi strain and formulated biological control products. Front. Plant Sci. 2019, 10, 00105. [Google Scholar] [CrossRef]
- Silva-Valderrama, I.; Toapanta, D.; Miccono, M.d.l.A.; Lolas, M.; Díaz, G.A.; Cantu, D.; Castro, A. Biocontrol Potential of Grapevine Endophytic and Rhizospheric Fungi Against Trunk Pathogens. Front. Microbiol. 2021, 11, 614620. [Google Scholar] [CrossRef]
- Loskill, B.; Molitor, D.; Koch, E.; Harms, M.; Berkelmann-Löhnertz, B.; Hoffmann, C.; Kortekamp, A.; Porten, M.; Louis, F.; Maixner, M. Strategien zur Regulation der Schwarzfäule (Guignardia bidwellii) im ökologischen Weinbau. 2010, pp. 1–121. Available online: https://orgprints.org/id/eprint/17072/1/17072-04OE032-jki-maixner-2009-schwarzfaeule.pdf (accessed on 16 May 2024).
- Travis, J.; Hed, B.; Muza, A. Control of Black Rot in Greenhouse and Field Trials Using Organic Approved Materials, 2005; Research Report to the New York Wine/Grape Foundation, The Grape Production Research Fund and The Viticulture Consortium-East; Penn State College of Agricultural Science: University Park, PA, USA, 2005. [Google Scholar]
- Stafne, E.T.; Carroll, B.; Smith, D. Black rot control and bud cold hardiness of ‘Noiret’ winegrape. J. Appl. Hortic. 2015, 17, 106–108. [Google Scholar] [CrossRef]
- Rutto, L.K.; Mersha, Z.; Nita, M. Evaluation of cultivars and spray programs for organic grape production in Virginia. Horttechnology 2021, 31, 166–173. [Google Scholar] [CrossRef]
- Haidar, R.; Fermaud, M.; Calvo-Garrido, C.; Roudet, J.; Deschamps, A. Modes of action for biological control of Botrytis cinerea by antagonistic bacteria. Phytopathol. Mediterr. 2016, 55, 301–322. [Google Scholar] [CrossRef]
- Calvo, H.; Roudet, J.; Gracia, A.P.; Venturini, M.E.; Fermaud, M. Comparison of efficacy and modes of action of two high-potential biocontrol Bacillus strains and commercial biocontrol products against Botrytis cinerea in table grapes. OENO One 2021, 55, 228–243. [Google Scholar] [CrossRef]
- Calvo, H.; Marco, P.; Blanco, D.; Oria, R.; Venturini, M.E. Potential of a new strain of Bacillus amyloliquefaciens BUZ-14 as a biocontrol agent of postharvest fruit diseases. Food Microbiol. 2016, 63, 101–110. [Google Scholar] [CrossRef]
- Haidar, R.; Roudet, J.; Bonnard, O.; Dufour, M.C.; Corio-Costet, M.F.; Fert, M.; Gautier, T.; Deschamps, A.; Fermaud, M. Screening and modes of action of antagonistic bacteria to control the fungal pathogen Phaeomoniella chlamydospora involved in grapevine trunk diseases. Microbiol. Res. 2016, 192, 172–184. [Google Scholar] [CrossRef] [PubMed]
- Calonnec, A.; Jolivet, J.; Ramaroson, M.L.; Dufour, M.C.; Corio-Costet, M.F. Defence responses of grapevine cultivars to powdery mildew: Ontogenic resistance versus genetic resistance. Plant Pathol. 2021, 70, 1583–1600. [Google Scholar] [CrossRef]
- Burdziej, A.; Bellée, A.; Bodin, E.; Valls Fonayet, J.; Magnin, N.; Szakiel, A.; Richard, T.; Cluzet, S.; Corio-Costet, M.F. Three Types of Elicitors Induce Grapevine Resistance against Downy Mildew via Common and Specific Immune Responses. J. Agric. Food Chem. 2021, 69, 1781–1795. [Google Scholar] [CrossRef] [PubMed]
- Zhang, K.; Zhang, N.; Cai, L. Typification and phylogenetic study of Phyllosticta ampelicida and P. vaccinii. Mycologia 2013, 105, 1030–1042. [Google Scholar] [CrossRef] [PubMed]
- Jailloux, F. In vitro production of the teleomorph of Guignardia bidwellii, causal agent of black rot of grapevine. Can. J. Bot. 1992, 70, 254–257. [Google Scholar] [CrossRef]
- Allègre, M.; Héloir, M.C.; Trouvelot, S.; Daire, X.; Pugin, A.; Wendehenne, D.; Adrian, M. Are grapevine stomata involved in the elicitor-induced protection against downy mildew? Mol. Plant-Microbe Interact. 2009, 22, 977–986. [Google Scholar] [CrossRef] [PubMed]
- Spotts, R.A. Ecology and Epidemiology Effect of Leaf Wetness Duration and Temperature on the Infectivity of Guignardia bidwellii on Grape Leaves manually increased or decreased hourly in equal. Phytopathology 1977, 67, 1378–1381. [Google Scholar] [CrossRef]
- Kim Khiook, I.L.; Schneider, C.; Heloir, M.-C.; Bois, B.; Daire, X.; Adrian, M.; Trouvelot, S. Image analysis methods for assessment of H2O2 production and Plasmopara viticola development in grapevine leaves: Application to the evaluation of resistance to downy mildew. J. Microbiol. Methods 2013, 95, 235–244. [Google Scholar] [CrossRef]
- Gauthier, A.; Trouvelot, S.; Kelloniemi, J.; Frettinger, P.; Wendehenne, D.; Daire, X.; Joubert, J.-M.; Ferrarini, A.; Delledonne, M.; Flors, V.; et al. The Sulfated Laminarin Triggers a Stress Transcriptome before Priming the SA- and ROS-Dependent Defenses during Grapevine’s Induced Resistance against Plasmopara viticola. PLoS ONE 2014, 9, e88145. [Google Scholar] [CrossRef]
- Shaw, B.D.; Hoch, H.C. Ca2+ regulation of Phyllosticta ampelicida pycnidiospore germination and appressorium formation. Fungal Genet. Biol. 2000, 31, 43–53. [Google Scholar] [CrossRef]
- Sahmer, K.; Sahmer, K.; Deweer, C.; Santorufo, L.; Louvel, B.; Douay, F. Utilisation d’une régression non linéaire pour des applications microbiologiques. In Proceedings of the Seminaire Modal, Lille, France, 15 September 2015; pp. 1–35. [Google Scholar]
- Ganger, M.T.; Dietz, G.D.; Ewing, S.J. A common base method for analysis of qPCR data and the application of simple blocking in qPCR experiments. BMC Bioinform. 2017, 18, 534. [Google Scholar] [CrossRef]
- Loupit, G.; Prigent, S.; Franc, C.; De Revel, G.; Richard, T.; Cookson, S.J.; Fonayet, J.V. Polyphenol Profiles of Just Pruned Grapevine Canes from Wild Vitis Accessions and Vitis vinifera Cultivars. J. Agric. Food Chem. 2020, 68, 13397–13407. [Google Scholar] [CrossRef]
- Droby, S.; Wisniewski, M.; Norelli, J.L. Chapter 6: Biological Approaches for Managing Postharvest Decay. In Postharvest Pathology of Fruit and Nut Crops; IPM; The American Phytopathological Society: St. Paul, MN, USA, 2022; pp. 103–120. ISBN 978-0-89054-668-0. [Google Scholar]
- Köhl, J.; Postma, J.; Nicot, P.; Ruocco, M.; Blum, B. Stepwise screening of microorganisms for commercial use in biological control of plant-pathogenic fungi and bacteria. Biol. Control 2011, 57, 1–12. [Google Scholar] [CrossRef]
- Dagostin, S.; Schärer, H.-J.; Pertot, I.; Tamm, L. Are there alternatives to copper for controlling grapevine downy mildew in organic viticulture? Crop Prot. 2011, 30, 776–788. [Google Scholar] [CrossRef]
- Index acta Biocontrôle, 7th ed.; Acta Éditions: Paris, France, 2023; ISBN 978-2-85794-330-3.
- Zhang, X.; Zhou, Y.; Li, Y.; Fu, X.; Wang, Q. Screening and characterization of endophytic Bacillus for biocontrol of grapevine downy mildew. Crop Prot. 2017, 96, 173–179. [Google Scholar] [CrossRef]
- Zeng, Q.; Xie, J.; Li, Y.; Gao, T.; Zhang, X.; Wang, Q. Comprehensive Genomic Analysis of the Endophytic Bacillus altitudinis Strain GLB197, a Potential Biocontrol Agent of Grape Downy Mildew. Front. Genet. 2021, 12, 729603. [Google Scholar] [CrossRef]
- Hamaoka, K.; Aoki, Y.; Suzuki, S. Isolation and characterization of endophyte Bacillus velezensis KOF112 from grapevine shoot xylem as biological control agent for fungal diseases. Plants 2021, 10, 1815. [Google Scholar] [CrossRef]
- Bruisson, S.; Zufferey, M.; L’Haridon, F.; Trutmann, E.; Anand, A.; Dutartre, A.; De Vrieze, M.; Weisskopf, L. Endophytes and Epiphytes From the Grapevine Leaf Microbiome as Potential Biocontrol Agents Against Phytopathogens. Front. Microbiol. 2019, 10, 02726. [Google Scholar] [CrossRef]
- Lam, V.B.; Meyer, T.; Arias, A.A.; Ongena, M.; Oni, F.E.; Höfte, M. Bacillus cyclic lipopeptides iturin and fengycin control rice blast caused by Pyricularia oryzae in potting and acid sulfate soils by direct antagonism and induced systemic resistance. Microorganisms 2021, 9, 1441. [Google Scholar] [CrossRef]
- Andrić, S.; Rigolet, A.; Argüelles Arias, A.; Steels, S.; Hoff, G.; Balleux, G.; Ongena, L.; Höfte, M.; Meyer, T.; Ongena, M. Plant-associated Bacillus mobilizes its secondary metabolites upon perception of the siderophore pyochelin produced by a Pseudomonas competitor. ISME J. 2023, 17, 263–275. [Google Scholar] [CrossRef]
- Calvo, H.; Mendiara, I.; Arias, E.; Blanco, D.; Venturini, M.E. The role of iturin A from B. amyloliquefaciens BUZ-14 in the inhibition of the most common postharvest fruit rots. Food Microbiol. 2019, 82, 62–69. [Google Scholar] [CrossRef]
- Calvo-Garrido, C.; Paňitrur-De La Fuente, C.; Davidou, L.; Aveline, N.; Cestaret, S.; Roudet, J.; Valdés-Gómez, H.; Fermaud, M. Epidemiology of Botrytis bunch rot in Bordeaux vineyards and alternative control strategies. Integr. Prot. Prod. Vitic. 2017, 128, 18–27. [Google Scholar]
- Calvo, H.; Mendiara, I.; Arias, E.; Gracia, A.P.; Blanco, D.; Venturini, M.E. Antifungal activity of the volatile organic compounds produced by Bacillus velezensis strains against postharvest fungal pathogens. Postharvest Biol. Technol. 2020, 166, 111208. [Google Scholar] [CrossRef]
- Itkina, D.L.; Suleimanova, A.D.; Sharipova, M.R. Pantoea brenneri AS3 and Bacillus ginsengihumi M2.11 as Potential Biocontrol and Plant Growth-Promoting Agents. Microbiology 2021, 90, 210–218. [Google Scholar] [CrossRef]
- Köhl, J.; Kolnaar, R.; Ravensberg, W.J. Mode of action of microbial biological control agents against plant diseases: Relevance beyond efficacy. Front. Plant Sci. 2019, 10, 00845. [Google Scholar] [CrossRef]
- Morales-Cedeño, L.R.; Orozco-Mosqueda, M.d.C.; Loeza-Lara, P.D.; Parra-Cota, F.I.; de los Santos-Villalobos, S.; Santoyo, G. Plant growth-promoting bacterial endophytes as biocontrol agents of pre- and post-harvest diseases: Fundamentals, methods of application and future perspectives. Microbiol. Res. 2021, 242, 126612. [Google Scholar] [CrossRef]
- Chong, J.; Poutaraud, A.; Hugueney, P. Metabolism and roles of stilbenes in plants. Plant Sci. 2009, 177, 143–155. [Google Scholar] [CrossRef]
- Pezet, R.; Gindro, K.; Viret, O.; Richter, H. Effects of resveratrol, viniferins and pterostilbene on Plasmopara viticola zoospore mobility and disease development. Vitis J. Grapevine Res. 2004, 43, 145–148. [Google Scholar]
- Taillis, D.; Pébarthé-Courrouilh, A.; Lepeltier, É.; Petit, E.; Palos-Pinto, A.; Gabaston, J.; Mérillon, J.M.; Richard, T.; Cluzet, S. A grapevine by-product extract enriched in oligomerised stilbenes to control downy mildews: Focus on its modes of action towards Plasmopara viticola. Oeno One 2022, 56, 55–68. [Google Scholar] [CrossRef]
- Schnee, S.; Queiroz, E.F.; Voinesco, F.; Marcourt, L.; Dubuis, P.-H.; Wolfender, J.-L.; Gindro, K. Vitis vinifera Canes, a New Source of Antifungal Compounds against Plasmopara viticola, Erysiphe necator, and Botrytis cinerea. J. Agric. Food Chem. 2013, 61, 5459–5467. [Google Scholar] [CrossRef] [PubMed]
- Feng, B.; Li, P.; Chen, D.; Ding, C. Inhibition activity of tomato endophyte Bacillus velezensis FQ-G3 against postharvest Botrytis cinerea. Folia Microbiol. 2023, 69, 361–371. [Google Scholar] [CrossRef] [PubMed]
- Ye, W.-Q.; Sun, Y.-F.; Tang, Y.-J.; Zhou, W.-W. Biocontrol potential of a broad-spectrum antifungal strain Bacillus amyloliquefaciens B4 for postharvest loquat fruit storage. Postharvest Biol. Technol. 2021, 174, 111439. [Google Scholar] [CrossRef]
- Goncharuk, E.A.; Saibel, O.L.; Zaitsev, G.P.; Zagoskina, N.V. The Elicitor Effect of Yeast Extract on the Accumulation of Phenolic Compounds in Linum grandiflorum Cells Cultured In Vitro and Their Antiradical Activity. Biol. Bull. 2022, 49, 620–628. [Google Scholar] [CrossRef]
- Bavi, K.; Khavari-Nejad, R.A.; Najafi, F.; Ghanati, F. Phenolics and terpenoids change in response to yeast extract and chitosan elicitation in Zataria multiflora cell suspension culture. 3 Biotech 2022, 12, 163. [Google Scholar] [CrossRef] [PubMed]
- Boubakri, H.; Wahab, M.A.; Chong, J.; Bertsch, C.; Mliki, A.; Soustre-Gacougnolle, I. Thiamine induced resistance to Plasmopara viticola in grapevine and elicited host-defense responses, including HR like-cell death. Plant Physiol. Biochem. PPB 2012, 57, 120–133. [Google Scholar] [CrossRef]
- Boubakri, H.; Chong, J.; Poutaraud, A.; Schmitt, C.; Bertsch, C.; Mliki, A.; Masson, J.E.; Soustre-Gacougnolle, I. Riboflavin (Vitamin B2) induces defence responses and resistance to Plasmopara viticola in grapevine. Eur. J. Plant Pathol. 2013, 136, 837–855. [Google Scholar] [CrossRef]










| Pathogen | Product IC50 Value (%) | ||
|---|---|---|---|
| LB Medium | S38 | Buz14 | |
| G. bidwellii GF2 | 39.8 ± 11.9 a | 3.6 ± 3.7 b | 5.7 ± 3.2 b |
| G. bidwellii 111645 | 64.1 ± 14.6 c | 1.3 ± 0.3 b | 1.8 ± 0.8 b |
| P. viticola | 14.9 ± 0.7 d | 2.71 ± 0.5 b | 3.45 ± 0.2 b |
Disclaimer/Publisher’s Note: The statements, opinions and data contained in all publications are solely those of the individual author(s) and contributor(s) and not of MDPI and/or the editor(s). MDPI and/or the editor(s) disclaim responsibility for any injury to people or property resulting from any ideas, methods, instructions or products referred to in the content. |
© 2024 by the authors. Licensee MDPI, Basel, Switzerland. This article is an open access article distributed under the terms and conditions of the Creative Commons Attribution (CC BY) license (https://creativecommons.org/licenses/by/4.0/).
Share and Cite
Raveau, R.; Ilbert, C.; Héloir, M.-C.; Palavioux, K.; Pébarthé-Courrouilh, A.; Marzari, T.; Durand, S.; Valls-Fonayet, J.; Cluzet, S.; Adrian, M.; et al. Broad-Spectrum Efficacy and Modes of Action of Two Bacillus Strains against Grapevine Black Rot and Downy Mildew. J. Fungi 2024, 10, 471. https://doi.org/10.3390/jof10070471
Raveau R, Ilbert C, Héloir M-C, Palavioux K, Pébarthé-Courrouilh A, Marzari T, Durand S, Valls-Fonayet J, Cluzet S, Adrian M, et al. Broad-Spectrum Efficacy and Modes of Action of Two Bacillus Strains against Grapevine Black Rot and Downy Mildew. Journal of Fungi. 2024; 10(7):471. https://doi.org/10.3390/jof10070471
Chicago/Turabian StyleRaveau, Robin, Chloé Ilbert, Marie-Claire Héloir, Karine Palavioux, Anthony Pébarthé-Courrouilh, Tania Marzari, Solène Durand, Josep Valls-Fonayet, Stéphanie Cluzet, Marielle Adrian, and et al. 2024. "Broad-Spectrum Efficacy and Modes of Action of Two Bacillus Strains against Grapevine Black Rot and Downy Mildew" Journal of Fungi 10, no. 7: 471. https://doi.org/10.3390/jof10070471
APA StyleRaveau, R., Ilbert, C., Héloir, M.-C., Palavioux, K., Pébarthé-Courrouilh, A., Marzari, T., Durand, S., Valls-Fonayet, J., Cluzet, S., Adrian, M., & Fermaud, M. (2024). Broad-Spectrum Efficacy and Modes of Action of Two Bacillus Strains against Grapevine Black Rot and Downy Mildew. Journal of Fungi, 10(7), 471. https://doi.org/10.3390/jof10070471

