The Effect of Green Extraction Technologies on the Chemical Composition of Medicinal Chaga Mushroom Extracts
Abstract
1. Introduction
2. Materials and Methods
2.1. Reagents and Standards
2.2. Mushroom Material
2.3. Green Extraction Techniques
2.3.1. Subcritical Water Extraction
2.3.2. Ultrasound-Assisted Extraction
2.3.3. Microwave-Assisted Extraction
2.4. Determination of the Total Polysaccharide Content
2.5. Determination of Total Glucan, α- and β-Glucan Content
2.6. HPAEC/PAD Analysis of Soluble Free Sugars and Sugar Alcohols
2.7. Total Phenolic Compounds Content
2.8. Phenolic Profile
2.9. Determination of Protein Content
2.10. Gas Chromatography–Mass Spectrometry
2.11. Statistical and Principal Component Analysis
3. Results
3.1. Extraction Yield, Total Proteins, Total Polysaccharides, Total, α- and β-Glucans, and Total Phenolic Compounds
3.2. Qualitative and Quantitative Analysis of Sugars
3.3. Phenolic Compounds Profile
3.4. Fatty Acid Profile
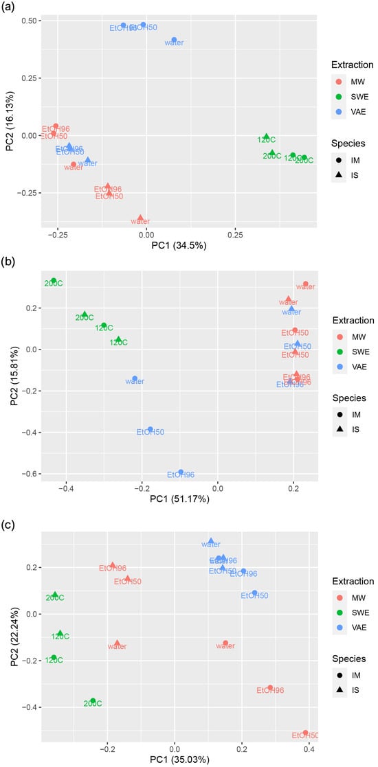
3.5. Principal Component Analysis (PCA)
4. Discussion
5. Conclusions
Supplementary Materials
Author Contributions
Funding
Institutional Review Board Statement
Informed Consent Statement
Data Availability Statement
Acknowledgments
Conflicts of Interest
References
- Arshadi, N.; Nouri, H.; Moghimi, H. Increasing the Production of the Bioactive Compounds in Medicinal Mushrooms: An Omics Perspective. Microb. Cell Fact. 2023, 22, 1–34. [Google Scholar] [CrossRef]
- Available online: https://ourworldindata.org/emissions-by-sector (accessed on 12 June 2023).
- Available online: https://www.epa.gov/trinationalanalysis/greenhouse-gas-reporting-chemical-manufacturing-sector (accessed on 13 June 2023).
- Available online: https://www.un.org/en/climatechange/what-is-climate-change (accessed on 12 June 2023).
- Bradu, P.; Biswas, A.; Nair, C.; Sreevalsakumar, S.; Patil, M.; Kannampuzha, S.; Mukherjee, A.G.; Wanjari, U.R.; Renu, K.; Vellingiri, B.; et al. Recent Advances in Green Technology and Industrial Revolution 4.0 for a Sustainable Future; Springer: Berlin/Heidelberg, Germany, 2023; Volume 30, ISBN 1135602220. [Google Scholar]
- Available online: https://ec.europa.eu/research-and-innovation/en/projects/success-stories/all/green-manufacturing-pharmaceutical-industry (accessed on 13 June 2023).
- Hossain, M.F. Green science and technology for designing sustainable world. In Sustainable Design for Global Equilibrium; Springer: Cham, Switzerland, 2022; pp. 3–12. [Google Scholar] [CrossRef]
- Vunduk, J.; Tura, D.; Biketova, A.Y. Chapter 4: Medicinal mushroom nutraceutical commercialization: Two sides of a coin. In Wild Mushrooms Characteristics, Nutrition, and Processing; Dhull, S.B., Bains, A., Chawla, P., Sadh, P.K., Eds.; CRC Press: Boca Raton, FL, USA; Taylor and Francis Group: Boca Raton, FL, USA, 2022; ISBN 9781003152583. [Google Scholar] [CrossRef]
- Tiwari, B.K. Ultrasound: A clean, green extraction technology. TrAC Trends Anal. Chem. 2015, 71, 100–109. [Google Scholar] [CrossRef]
- Mishra, J.; Khan, W.; Ahmad, S.; Misra, K. Supercritical Carbon Dioxide Extracts of Cordyceps Sinensis: Chromatography-Based Metabolite Profiling and Protective Efficacy Against Hypobaric Hypoxia. Front. Pharmacol. 2021, 12, 1–20. [Google Scholar] [CrossRef]
- Majid, I.; Khan, S.; Aladel, A.; Dar, A.H.; Adnan, M.; Khan, M.I.; Mahgoub Awadelkareem, A.; Ashraf, S.A. Recent Insights into Green Extraction Techniques as Efficient Methods for the Extraction of Bioactive Components and Essential Oils from Foods. CYTA J. Food 2023, 21, 101–114. [Google Scholar] [CrossRef]
- Chemat, F.; Vian, M.A.; Cravotto, G. Green Extraction of Natural Products: Concept and Principles. Int. J. Mol. Sci. 2012, 13, 8615–8627. [Google Scholar] [CrossRef] [PubMed]
- Fraterrigo Garofalo, S.; Tommasi, T.; Fino, D. A Short Review of Green Extraction Technologies for Rice Bran Oil. Biomass Convers. Biorefinery 2021, 11, 569–587. [Google Scholar] [CrossRef]
- Raj, B.; John, S.; Chandrakala, V.; Kumari, G.H. Green extraction techniques for phytoconstituents from natural products. In Medicinal Plants; Kumar, S., Ed.; IntechOpen Ltd.: London, UK, 2023. [Google Scholar] [CrossRef]
- Available online: https://www.azothbiotech.com/mushrooms (accessed on 12 June 2023).
- Calleja-Gómez, M.; Castagnini, J.M.; Carbó, E.; Ferrer, E.; Berrada, H.; Barba, F.J. Evaluation of Pulsed Electric Field-Assisted Extraction on the Microstructure and Recovery of Nutrients and Bioactive Compounds from Mushroom (Agaricus bisporus). Separations 2022, 9, 302. [Google Scholar] [CrossRef]
- Rodrigues Barbosa, J.; dos Santos Freitas, M.M.; da Silva Martins, L.H.; de Carvalho, R.N. Polysaccharides of Mushroom pleurotus spp.: New Extraction Techniques, Biological Activities and Development of New Technologies. Carbohydr. Polym. 2020, 229, 115550. [Google Scholar] [CrossRef]
- Rodríguez-Seoane, P.; Torres Perez, M.D.; Fernández de Ana, C.; Sinde-Stompel, E.; Domínguez, H. Antiradical and Functional Properties of Subcritical Water Extracts from Edible Mushrooms and from Commercial Counterparts. Int. J. Food Sci. Technol. 2022, 57, 1420–1428. [Google Scholar] [CrossRef]
- Du Bois, M.; Gilles, K.A.; Hamilton, J.K.; Rebers, P.A.; Smith, F. Colorimetric method for determination of sugars and related substances. Anal. Chem. 1956, 28, 350–356. [Google Scholar] [CrossRef]
- Gašić, U.M.; Natić, M.M.; Mišić, D.M.; Lušić, D.V.; Milojković-Opsenica, D.M.; Tešić, Ž.L.; Lušić, D. Chemical Markers for the Authentication of Unifloral Salvia officinalis L. Honey. J. Food Compos. Anal. 2015, 44, 128–138. [Google Scholar] [CrossRef]
- Kozarski, M.S.; Klaus, A.S.; Vunduk, J.; Nikšić, M.P. The Influence of Mushroom Coriolus Versicolor and Hazelnuts Enrichment on Antioxidant Activities and Bioactive Content of Dark Chocolate. Food Feed Res. 2020, 47, 23–32. [Google Scholar] [CrossRef]
- Doroški, A.; Klaus, A.; Kozarski, M.; Cvetković, S.; Nikolić, B.; Jakovljević, D.; Tomasevic, I.; Vunduk, J.; Lazić, V.; Djekic, I. The Influence of Grape Pomace Substrate on Quality Characterization of Pleurotus Ostreatus—Total Quality Index Approach. J. Food Process. Preserv. 2021, 45, 1–15. [Google Scholar] [CrossRef]
- Micić, D.; Ðurović, S.; Riabov, P.; Tomić, A.; Šovljanski, O.; Filip, S.; Tosti, T.; Dojčinović, B.; Božović, R.; Jovanović, D.; et al. Rosemary Essential Oils as a Promising Source of Bioactive Compounds: Chemical Composition, Thermal Properties, Biological Activity, and Gastronomical Perspectives. Foods 2021, 10, 2734. [Google Scholar] [CrossRef] [PubMed]
- Kozarski, M.; Klaus, A.; van Griensven, L.; Jakovljevic, D.; Todorovic, N.; Wan-Mohtar, W.A.A.Q.I.; Vunduk, J. Mushroom β-Glucan and Polyphenol Formulations as Natural Immunity Boosters and Balancers: Nature of the Application. Food Sci. Hum. Wellness 2023, 12, 378–396. [Google Scholar] [CrossRef]
- Wasser, S.P. Medicinal Mushroom Science: Current Perspectives, Advances, Evidences, and Challenges. Biomed. J. 2014, 37, 345–356. [Google Scholar] [CrossRef]
- Simić, S.; Aćimović, M.; Vidović, S.; Banožić, M.; Vladić, J. Viola odorata: Influence of supercritical fluid extraction on the efficiency of ultrasound- and microwave-assisted extraction of bioactive compounds. Croat. J. Food Sci. Technol. 2021, 13, 191–200. [Google Scholar] [CrossRef]
- Wontcheu Fotso, Y.A.; Ghazi, S.; Belkaid, A.; Soucy, J.; Tremblay, L.; Lamarre, S.; Clarisse, O.; Touaibia, M. Extraction, Chemical Composition, Antiradical Capacity, and Photoprotective Effect of Inonotus obliquus from Eastern Canada. Nutraceuticals 2023, 3, 380–402. [Google Scholar] [CrossRef]
- Ma, Y.; Chu, Z.; Nan, W.; Zheng, X.; Zhao, Y.; Bai, Y.; Ma, X.; Ma, R.; Jia, Y.; Lü, X.; et al. Optimization of Polysaccharide Extraction from Inonotus obliquus by Subcritical Water and Characterization of its Physiochemical Properties and Bioactivity. Soc. Sci. Res. Netw. 2023. [Google Scholar] [CrossRef]
- Hu, Y.; Teng, C.; Yu, S.; Wang, X.; Liang, J.; Bai, X.; Dong, L.; Song, T.; Yu, M.; Qu, J. Inonotus obliquus Polysaccharide Regulates Gut Microbiota of Chronic Pancreatitis in Mice. AMB Express 2017, 7, 1–11. [Google Scholar] [CrossRef]
- Thirugnanasambandham, K.; Sivakumar, V.; Maran, J.P. Microwave-Assisted Extraction of Polysaccharides from Mulberry Leaves. Int. J. Biol. Macromol. 2015, 72, 1–5. [Google Scholar] [CrossRef]
- González, A.; Cruz, M.; Losoya, C.; Nobre, C.; Loredo, A.; Rodríguez, R.; Contreras, J.; Belmares, R. Edible Mushrooms as a Novel Protein Source for Functional Foods. Food Funct. 2020, 11, 7400–7414. [Google Scholar] [CrossRef] [PubMed]
- Al Azad, S.; Ai Ping, V.C. Comparison of Protein and Amino Acids in the Extracts of Two Edible Mushroom, Pleurotus sajor-caju and Schizophyllum commune. Adv. Biosci. Biotechnol. 2021, 12, 286–296. [Google Scholar] [CrossRef]
- Yuan, X. Subcritical Water Extraction and Characterization of Polysaccharides and Phenolic Compounds from Inonotus obliquus . Ph.D. Thesis, University of Tsukuba, Tsukuba, Japan, 2017. [Google Scholar]
- Smiderle, F.R.; Morales, D.; Gil-Ramírez, A.; de Jesus, L.I.; Gilbert-López, B.; Iacomini, M.; Soler-Rivas, C. Evaluation of Microwave-Assisted and Pressurized Liquid Extractions to Obtain β-D-Glucans from Mushrooms. Carbohydr. Polym. 2017, 156, 165–174. [Google Scholar] [CrossRef]
- Yue, F.; Zhang, J.; Xu, J.; Niu, T.; Lü, X.; Liu, M. Effects of Monosaccharide Composition on Quantitative Analysis of Total Sugar Content by Phenol-Sulfuric Acid Method. Front. Nutr. 2022, 9, 963318. [Google Scholar] [CrossRef]
- Eid, J.I.; Das, B. Molecular Insights and Cell Cycle Assessment upon Exposure to Chaga (Inonotus obliquus) Mushroom Polysaccharides in Zebrafish (Danio rerio). Sci. Rep. 2020, 10, 7406. [Google Scholar] [CrossRef]
- Jiang, S.; Shi, F.; Lin, H.; Ying, Y.; Luo, L.; Huang, D.; Luo, Z. Inonotus obliquus Polysaccharides Induces Apoptosis of Lung Cancer Cells and Alters Energy Metabolism via the LKB1/AMPK Axis. Int. J. Biol. Macromol. 2020, 151, 1277–1286. [Google Scholar] [CrossRef]
- Vieira, V.; Barros, L.; Martins, A.; Ferreira, I.C.F.R. Nutritional and Biochemical Profiling of Leucopaxillus candidus (Bres.) Singerwild Mushroom. Molecules 2016, 21, 99. [Google Scholar] [CrossRef] [PubMed]
- Mingaila, J.; Čiuldiene, D.; Viškelis, P.; Bartkevičius, E.; Vilimas, V.; Armolaitis, K. The Quantity and Biochemical Composition of Sap Collected from Silver Birch (Betula Pendula Roth) Trees Growing in Different Soils. Forests 2020, 11, 365. [Google Scholar] [CrossRef]
- Kuka, M.; Čakste, I.; Geršebeka, E. Determination of Bioactive Compounds and Mineral Substances in Latvian Birch and Maple Saps. Proc. Latv. Acad. Sci. Sect. B Nat. Exact Appl. Sci. 2013, 67, 437–441. [Google Scholar] [CrossRef]
- Géry, A.; Dubreule, C.; André, V.; Rioult, J.P.; Bouchart, V.; Heutte, N.; Eldin de Pécoulas, P.; Krivomaz, T.; Garon, D. Chaga (Inonotus obliquus), a Future Potential Medicinal Fungus in Oncology? A Chemical Study and a Comparison of the Cytotoxicity Against Human Lung Adenocarcinoma Cells (A549) and Human Bronchial Epithelial Cells (BEAS-2B). Integr. Cancer Ther. 2018, 17, 832–843. [Google Scholar] [CrossRef]
- Grabek-Lejko, D.; Kasprzyk, I.; Zaguła, G.; Puchalski, C. The Bioactive and Mineral Compounds in Birch Sap Collected in Different Types of Habitats. Balt. For. 2017, 23, 394–401. [Google Scholar]
- Mirończuk-Chodakowska, I.; Kujawowicz, K.; Witkowska, A.M. Beta-Glucans from Fungi: Biological and Health-Promoting Potential in the COVID-19 Pandemic Era. Nutrients 2021, 13, 3960. [Google Scholar] [CrossRef]
- Sun, Y.; He, H.; Wang, Q.; Yang, X.; Jiang, S.; Wang, D. A Review of Development and Utilization for Edible Fungal Polysaccharides: Extraction, Chemical Characteristics, and Bioactivities. Polymers 2022, 14, 4454. [Google Scholar] [CrossRef] [PubMed]
- Jo, E.K.; Heo, D.J.; Kim, J.H.; Lee, Y.H.; Ju, Y.C.; Lee, S.C. The Effects of Subcritical Water Treatment on Antioxidant Activity of Golden Oyster Mushroom. Food Bioprocess Technol. 2013, 6, 2555–2561. [Google Scholar] [CrossRef]
- Yoo, H.U.; Ko, M.J.; Chung, M.S. Hydrolysis of Beta-Glucan in Oat Flour during Subcritical-Water Extraction. Food Chem. 2020, 308, 125670. [Google Scholar] [CrossRef]
- Hwang, A.Y.; Yang, S.C.; Kim, J.; Lim, T.; Cho, H.; Hwang, K.T. Effects of Non-Traditional Extraction Methods on Extracting Bioactive Compounds from Chaga Mushroom (Inonotus obliquus) Compared with Hot Water Extraction. Lwt 2019, 110, 80–84. [Google Scholar] [CrossRef]
- Janjušević, L.; Karaman, M.; Šibul, F.; Tommonaro, G.; Iodice, C.; Jakovljević, D.; Pejin, B. The Lignicolous Fungus Trametes versicolor (L.) Lloyd (1920): A Promising Natural Source of Antiradical and AChE Inhibitory Agents. J. Enzyme Inhib. Med. Chem. 2017, 32, 355–362. [Google Scholar] [CrossRef]
- Luthria, D.L. Optimization of Extraction of Phenolic Acids from a Vegetable Waste Product Using a Pressurized Liquid Extractor. J. Funct. Foods 2012, 4, 842–850. [Google Scholar] [CrossRef]
- Boussetta, N.; Vorobiev, E.; Le, L.H.; Cordin-Falcimaigne, A.; Lanoisellé, J.L. Application of Electrical Treatments in Alcoholic Solvent for Polyphenols Extraction from Grape Seeds. Lwt 2012, 46, 127–134. [Google Scholar] [CrossRef]
- Wold, C.W.; Gerwick, W.H.; Wangensteen, H.; Inngjerdingen, K.T. Bioactive Triterpenoids and Water-Soluble Melanin from Inonotus obliquus (Chaga) with Immunomodulatory Activity. J. Funct. Foods 2020, 71, 104025. [Google Scholar] [CrossRef]
- Ko, M.J.; Nam, H.H.; Chung, M.S. Subcritical Water Extraction of Bioactive Compounds from Orostachys Japonicus A. Berger (Crassulaceae). Sci. Rep. 2020, 10, 10890. [Google Scholar] [CrossRef] [PubMed]
- Seo, H.K.; Lee, S.C. Antioxidant Activity of Subcritical Water Extracts from Chaga Mushroom (Inonotus obliquus). Sep. Sci. Technol. 2010, 45, 198–203. [Google Scholar] [CrossRef]
- Medina, M.B. Determination of the Total Phenolics in Juices and Superfruits by a Novel Chemical Method. J. Funct. Foods 2011, 3, 79–87. [Google Scholar] [CrossRef]
- Abu-Reidah, I.M.; Critch, A.L.; Manful, C.F.; Rajakaruna, A.; Vidal, N.P.; Pham, T.H.; Cheema, M.; Thomas, R. Effects of Ph and Temperature on Water under Pressurized Conditions in the Extraction of Nutraceuticals from Chaga (Inonotus obliquus) Mushroom. Antioxidants 2021, 10, 1322. [Google Scholar] [CrossRef]
- Szymański, M.; Smolibowska, J.; Szymański, A. An Investigation into the Relationships between Antioxidant Activity and Chemical Elements as Well as Polyphenolics in Fungal Fruiting Bodies Growing on Betula L. J. Elem. 2019, 24, 193–205. [Google Scholar] [CrossRef]
- Glamočlija, J.; Ćirić, A.; Nikolić, M.; Fernandes, Â.; Barros, L.; Calhelha, R.C.; Ferreira, I.C.F.R.; Soković, M.; Van Griensven, L.J.L.D. Chemical Characterization and Biological Activity of Chaga (Inonotus obliquus), a Medicinal “Mushroom”. J. Ethnopharmacol. 2015, 162, 323–332. [Google Scholar] [CrossRef]
- Pan, X.; Jiang, L.; Chu, Y.; Gao, S.; Jiang, X.; Zhang, Y.; Chen, Y.; Luo, S.; Peng, C. The Biological Activity Mechanism of Chlorogenic Acid and Its Applications in Food Industry: A Review. Front. Nutr. 2022, 9, 943911. [Google Scholar] [CrossRef]
- Oteef, M.D.Y. Comparison of Different Extraction Techniques and Conditions for Optimizing an HPLC-DAD Method for the Routine Determination of the Content of Chlorogenic Acids in Green Coffee Beans. Separations 2022, 9, 396. [Google Scholar] [CrossRef]
- Ncube, E.N.; Mhlongo, M.I.; Piater, L.A.; Steenkamp, P.A.; Dubery, I.A.; Madala, N.E. Analyses of Chlorogenic Acids and Related Cinnamic Acid Derivatives from Nicotiana Tabacum Tissues with the Aid of UPLC-QTOF-MS/MS Based on the in-Source Collision-Induced Dissociation Method. Chem. Cent. J. 2014, 8, 66. [Google Scholar] [CrossRef]
- Silva, N.; Mazzafera, P.; Cesarino, I. Should I Stay or Should I Go: Are Chlorogenic Acids Mobilized towards Lignin Biosynthesis? Phytochemistry 2019, 166, 112063. [Google Scholar] [CrossRef] [PubMed]
- Roselló-Soto, E.; Parniakov, O.; Deng, Q.; Patras, A.; Koubaa, M.; Grimi, N.; Boussetta, N.; Tiwari, B.K.; Vorobiev, E.; Lebovka, N.; et al. Application of Non-Conventional Extraction Methods: Toward a Sustainable and Green Production of Valuable Compounds from Mushrooms. Food Eng. Rev. 2016, 8, 214–234. [Google Scholar] [CrossRef]
- Zakaria, S.M.; Kamal, S.M.M. Subcritical Water Extraction of Bioactive Compounds from Plants and Algae: Applications in Pharmaceutical and Food Ingredients. Food Eng. Rev. 2016, 8, 23–34. [Google Scholar] [CrossRef]
- Peng, H.; Shahidi, F. Qualitative Analysis of Secondary Metabolites of Chaga Mushroom (Inonotus obliquus): Phenolics, Fatty Acids, and Terpenoids. J. Food Bioact. 2022, 17, 56–72. [Google Scholar] [CrossRef]
- Shcherbakov, D.N.; Kukina, T.P.; Elshin, I.A.; Panteleeva, N.V.; Teplyakova, T.V.; Salnikova, O.I. GC-MS Analysis of Lipophilic Chaga Mushroom Constituents. AIP Conf. Proc. 2022, 2390, 30083. [Google Scholar] [CrossRef]



| No. | Extraction Codes | Type of Extraction | Origin |
|---|---|---|---|
| 1 | IS MW 96% EtOH | microwave-assisted extraction | Chaga from Serbia |
| 2 | IS MW 50% EtOH | microwave-assisted extraction | |
| 3 | IS MW water | microwave-assisted extraction | |
| 4 | IS VAE 96% EtOH | ultrasound-assisted extraction | |
| 5 | IS VAE 50% EtOH | ultrasound-assisted extraction | |
| 6 | IS VAE water | ultrasound-assisted extraction | |
| 7 | IS SWE 200 °C | subcritical water extraction | |
| 8 | IS SWE 120 °C | subcritical water extraction | |
| 9 | IM MW 96% EtOH | microwave-assisted extraction | Chaga from Mongolia |
| 10 | IM MW 50% EtOH | microwave-assisted extraction | |
| 11 | IM MW water | microwave-assisted extraction | |
| 12 | IM VAE 96% EtOH | ultrasound-assisted extraction | |
| 13 | IM VAE 50% EtOH | ultrasound-assisted extraction | |
| 14 | IM VAE water | ultrasound-assisted extraction | |
| 15 | IM SWE 200 °C | subcritical water extraction | |
| 16 | IM SWE 120 °C | subcritical water extraction |
| Sample | Yield (g/100 g) | TEPs (mg/g BSA) | TPCs (mg/g GAE) | TPSs (mg/g GLU) | TGs (g/100 g) | α (g/100 g) | β (g/100 g) | |
|---|---|---|---|---|---|---|---|---|
| IS | MW 96% EtOH | 0.30 ± 0.10 a | 9.45 ± 2.32 ab | 72.79 ± 0.77 g | 183.95 ± 17.28 a | 4.85 ± 0.12 ef | 2.32 ± 0.12 g | 2.51 ± 0.01 cde |
| MW 50% EtOH | 9.70 ± 0.09 de | 26.82 ± 1.47 f | 90.16 ± 1.51 h | 342.27 ± 49.86 cd | 6.71 ± 0.20 hi | 2.96 ± 0.08 i | 3.75 ± 0.12 fg | |
| MW water | 11.03 ± 0.63 ef | 19.42 ± 0.95 cd | 69.49 ± 0.75 g | 385.98 ± 3.96 d | 6.06 ± 0.01 gh | 2.83 ± 0.09 i | 3.24 ± 0.09 efg | |
| VAE 96% EtOH | 1.06 ± 0.26 ab | 7.56 ± 0.28 a | 63.21 ± 0.31 eg | 339.19 ± 30.89 cd | 2.65 ± 0.02 ab | 2.03 ± 0.01 ef | 0.62 ± 0.01 a | |
| VAE 50% EtOH | 3.60 ± 0.49 abc | 12.49 ± 0.37 b | 62.43 ± 0.60 eg | 297.58 ± 9.54 bc | 5.58 ± 0.10 fg | 2.55 ± 0.01 h | 3.03 ± 0.10 def | |
| VAE water | 4.45 ± 0.05 bc | 18.18 ± 0.66 cd | 40.45 ± 3.58 cd | 296.19 ± 6.76 bc | 6.11 ± 0.06 ghi | 1.83 ± 0.01 d | 4.28 ± 0.06 g | |
| SWE 200 °C | 18.93 ± 0.23 f | 17.95 ± 1.88 c | 89.94 ± 1.58 h | 536.15 ± 39.54 e | 20.43 ± 1.09 j | 1.43 ± 0.03 c | 19.00 ± 1.12 h | |
| SWE 120 °C | 20.52 ± 0.79 f | 20.68 ± 0.18 cde | 70.39 ± 15.09 g | 349.00 ± 23.84 cd | 7.20 ± 0.16 i | 3.46 ± 0.05 j | 3.74 ± 0.12 fg | |
| IM | MW 96% EtOH | 2.17 ± 0.31 abc | 10.08 ± 0.22 ab | 32.56 ± 0.86 bc | 146.90 ± 6.66 a | 3.56 ± 0.18 bcd | 1.97 ± 0.05 de | 1.59 ± 0.13 abc |
| MW 50% EtOH | 9.20 ± 4.0 de | 26.18 ± 1.71 f | 55.65 ± 0.88 ef | 400.87 ± 17.29 d | 3.80 ± 0.35 cde | 1.92 ± 0.07 de | 1.87 ± 0.28 bc | |
| MW water | 14.63 ± 2.75 f | 23.66 ± 0.11 ef | 47.81 ± 0.12 de | 306.71 ± 15.90 bc | 4.36 ± 0.13 de | 2.13 ± 0.04 f | 2.23 ± 0.17 cde | |
| VAE 96% EtOH | 0.90 ± 0.34 ab | 7.08 ± 0.13 a | 23.24 ± 3.38 ab | 249.90 ± 16.89 b | 2.17 ± 0.02 a | 1.05 ± 0.02 a | 1.13 ± 0.17 ab | |
| VAE 50% EtOH | 3.07 ± 0.34 abc | 21.10 ± 2.96 cde | 46.88 ± 0.90 de | 372.37 ± 1.29 d | 3.88 ± 0.09 cde | 1.27 ± 0.02 b | 2.61 ± 0.11 cde | |
| VAE water | 3.80 ± 0.10 abc | 19.76 ± 1.55 cde | 19.47 ± 0.49 a | 292.41 ± 11.92 bc | 3.20 ± 0.08 abc | 1.21 ± 0.01 b | 1.99 ± 0.08 bcd | |
| SWE 200 °C | 21.27 ± 2.46 f | 22.13 ± 1.09 de | 70.4 ± 0.97 g | 580.28 ± 4.23 f | 20.95 ± 0.83 j | 1.34 ± 0.02 bc | 19.61 ± 0.8 h | |
| SWE 120 °C | 33.70 ± 1.10 h | 20.53 ± 0.48 cde | 55.33 ± 0.74 ef | 354.81 ± 7.65 d | 4.15 ± 0.13 cde | 2.50 ± 0.01 gh | 1.67 ± 0.13 abc | |
| Sample | C16:0 | C18:0 | C18:1 cis | SFAs | UFAs | |
|---|---|---|---|---|---|---|
| IS | MW 96% EtOH | 18.32 ± 0.12 e | 6.58 ± 0.20 ef | 52.32 ± 0.58 h | 29.40 ± 0.19 f | 57.96 ± 0.58 g |
| MW 50% EtOH | 16.22 ± 0.15 d | 6.96 ± 0.30 efg | 55.63 ± 0.79 i | 27.61 ± 0.30 e | 61.04 ± 0.79 h | |
| MW water | 15.66 ± 0.10 cd | 3.12 ± 0.10 b | 12.36 ± 0.13 a | 20.89 ± 0.10 c | 15.24 ± 0.13 a | |
| VAE 96% EtOH | 19.32 ± 0.32 e | 7.56 ± 0.26 hi | 38.25 ± 0.99 ef | 32.19 ± 0.32 h | 43.46 ± 0.99 e | |
| VAE 50% EtOH | 18.88 ± 0.41 e | 7.99 ± 0.38 i | 34.52 ± 1.50 d | 32.14 ± 0.41 h | 39.07 ± 1.49 d | |
| VAE water | 14.32 ± 0.23 b | 4.11 ± 0.21 c | 14.22 ± 0.32 a | 21.07 ± 0.23 c | 16.80 ± 0.32 a | |
| SWE 200 °C | 18.65 ± 0.28 e | 5.63 ± 0.11 d | 25.63 ± 0.43 c | 30.97 ± 0.28 g | 29.98 ± 0.43 c | |
| SWE 120 °C | 16.52 ± 0.19 d | 4.25 ± 0.10 c | 12.36 ± 0.12 a | 25.61 ± 0.19 d | 15.12 ± 0.12 a | |
| IM | MW 96% EtOH | 14.63 ± 0.23 bc | 6.42 ± 0.23 e | 48.63 ± 1.41 g | 25.88 ± 0.23 d | 53.95 ± 1.41 f |
| MW 50% EtOH | 13.89 ± 0.29 b | 6.56 ± 0.16 ef | 49.21 ± 1.64 g | 25.93 ± 0.29 d | 54.59 ± 1.64 f | |
| MW water | 10.32 ± 0.15 a | 3.88 ± 0.12 c | 21.33 ± 0.52 b | 16.48 ± 0.15 a | 24.99 ± 0.52 b | |
| VAE 96% EtOH | 15.63 ± 0.06 cd | 7.01 ± 0.13 fgh | 36.52 ± 1.68 de | 27.69 ± 0.13 e | 39.44 ± 1.68 d | |
| VAE 50% EtOH | 16.01 ± 0.05 d | 7.23 ± 0.16 gh | 39.78 ± 1.30 f | 28.20 ± 0.16 e | 42.76 ± 1.30 e | |
| VAE water | 10.63 ± 0.14 a | 4.11 ± 0.08 c | 14.33 ± 0.16 a | 17.64 ± 0.14 b | 16.09 ± 0.16 a | |
| SWE 200 °C | 21.35 ± 0.08 f | 2.53 ± 0.05 a | 35.85 ± 0.88 de | 30.77 ± 0.80 g | 40.65 ± 0.88 de | |
| SWE 120 °C | 18.63 ± 0.87 e | 2.11 ± 0.07 a | 12.23 ± 0.38 a | 25.58 ± 0.87 d | 15.45 ± 0.38 a | |
Disclaimer/Publisher’s Note: The statements, opinions and data contained in all publications are solely those of the individual author(s) and contributor(s) and not of MDPI and/or the editor(s). MDPI and/or the editor(s) disclaim responsibility for any injury to people or property resulting from any ideas, methods, instructions or products referred to in the content. |
© 2024 by the authors. Licensee MDPI, Basel, Switzerland. This article is an open access article distributed under the terms and conditions of the Creative Commons Attribution (CC BY) license (https://creativecommons.org/licenses/by/4.0/).
Share and Cite
Lazić, V.; Klaus, A.; Kozarski, M.; Doroški, A.; Tosti, T.; Simić, S.; Vunduk, J. The Effect of Green Extraction Technologies on the Chemical Composition of Medicinal Chaga Mushroom Extracts. J. Fungi 2024, 10, 225. https://doi.org/10.3390/jof10030225
Lazić V, Klaus A, Kozarski M, Doroški A, Tosti T, Simić S, Vunduk J. The Effect of Green Extraction Technologies on the Chemical Composition of Medicinal Chaga Mushroom Extracts. Journal of Fungi. 2024; 10(3):225. https://doi.org/10.3390/jof10030225
Chicago/Turabian StyleLazić, Vesna, Anita Klaus, Maja Kozarski, Ana Doroški, Tomislav Tosti, Siniša Simić, and Jovana Vunduk. 2024. "The Effect of Green Extraction Technologies on the Chemical Composition of Medicinal Chaga Mushroom Extracts" Journal of Fungi 10, no. 3: 225. https://doi.org/10.3390/jof10030225
APA StyleLazić, V., Klaus, A., Kozarski, M., Doroški, A., Tosti, T., Simić, S., & Vunduk, J. (2024). The Effect of Green Extraction Technologies on the Chemical Composition of Medicinal Chaga Mushroom Extracts. Journal of Fungi, 10(3), 225. https://doi.org/10.3390/jof10030225

