Effects of ECMF Isolated from Mining Areas on Water Status, Photosynthesis Capacity, and Lead Ion Transport of Populus alba Under Pb Stress
Abstract
1. Introduction
2. Materials and Methods
2.1. Plant and Soil Treatments
2.2. Fungal Preparation and Inoculation
2.3. Experimental Design
2.4. Ectomycorrhizal (ECM) Fungal Colonization Rate
2.5. Growth Status
2.6. Relative Water Content (RWC) and Relative Electrolyte Leakage (REL)
2.7. Photosynthetic Capacity Parameters
2.8. Pb Concentration and Translocation Factor
2.9. Quantitative Real-Time PCR Analysis of MT Genes
2.10. Statistical Analysis
3. Results
3.1. ECM Fungal Colonization Rate
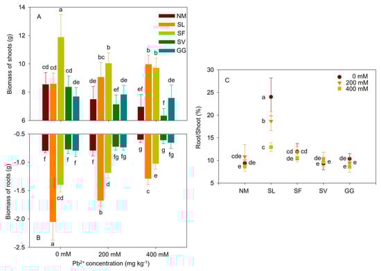
3.2. Growth Status
3.3. Relative Water Content (RWC) and Relative Electrolyte Leakage (REL)
3.4. Gas Exchange Parameters
3.5. Chlorophyll Fluorescence Parameters
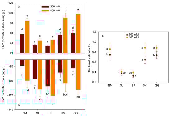
3.6. Pb Accumulation and Translocation Factor
3.7. The Relative Expression of MT Genes
3.8. PCA Analysis
4. Discussion
5. Conclusions
Author Contributions
Funding
Institutional Review Board Statement
Informed Consent Statement
Data Availability Statement
Acknowledgments
Conflicts of Interest
Abbreviations
References
- Xu, Z.Y.; Ban, Y.H.; Li, Z.; Chen, H.; Yang, R.; Tang, M. Arbuscular Mycorrhizal Fungi Play a Role in Protecting Roots of Sophora viviifolia Hance. from Pb Damage Associated with Increased Phytochelatin Synthase Gene Expression. Environ. Sci. Pollut. R 2014, 21, 12671–12683. [Google Scholar] [CrossRef] [PubMed]
- Brbulescu, A.; Barbe, L.; Dumitriu, C.T. Advances in Water, Air and Soil Pollution Monitoring, Modeling and Restoration. Toxics 2024, 12, 244. [Google Scholar] [CrossRef] [PubMed]
- Li, W.; Cao, X.; Hu, Y.; Cheng, H. Source Apportionment and Risk Assessment of Heavy Metals in Agricultural Soils in a Typical Mining and Smelting Industrial Area. Sustainability 2024, 16, 1673. [Google Scholar] [CrossRef]
- Yang, Y.R.; Huang, B.T.; Xu, J.Z.; Li, Z.X.; Tang, Z.H.; Wu, X.F. Heavy Metal Domestication Enhances Beneficial Effects of Arbuscular Mycorrhizal Fungi on Lead (Pb) Phytoremediation Efficiency of Bidens parviflora Through Improving Plant Growth and Root Pb Accumulation. Environ. Sci. Pollut. R 2022, 29, 32988–33001. [Google Scholar] [CrossRef]
- De Moura, M.A.; Oki, Y.; Arantes-Garcia, L.; Cornelissen, T.; Nunes, Y.R.F.; Fernandes, G.W. Mycorrhiza Fungi Application as a Successful Tool for Worldwide Mine Land Restoration: Current State of Knowledge and the Way Forward. Ecol. Eng. 2022, 178, 106580. [Google Scholar] [CrossRef]
- Zhang, H.H.; Li, X.; Xu, Z.S.; Wang, Y.; Teng, Z.Y.; An, M.J.; Zhang, Y.H.; Zhu, W.X.; Xu, N.; Sun, G.Y. Toxic Effects of Heavy Metals Pb and Cd on Mulberry (Morus alba L.) Seedling Leaves: Photosynthetic Function and Reactive Oxygen Species (ROS) Metabolism Responses. Ecotoxicol. Environ. Safety 2020, 195, 110469. [Google Scholar]
- Zhang, X.Y.; Zhang, H.J.; Zhang, Y.X.; Liu, Y.Q.; Zhang, H.Q.; Tang, M. Arbuscular Mycorrhizal Fungi Alter Carbohydrate Distribution and Amino Acid Accumulation in Medicago truncatula Under Lead Stress. Environ. Exp. Bot. 2020, 171, 103950. [Google Scholar] [CrossRef]
- Hansen, M.H.; Li, H.; Svarverud, R. Ecological Civilization: Interpreting the Chinese Past, Projecting the Global Future. Global Environ. Change 2018, 53, 195–203. [Google Scholar] [CrossRef]
- Cicatelli, A.; Lingua, G.D.; Todeschini, V.; Biondi, S.; Torrigiani, P.; Castiglione, S. Arbuscular Mycorrhizal Fungi Modulate the Leaf Transcriptome of a Populus alba L. Clone Grown on a Zinc and Copper-contaminated Soil. Environ. Exp. Bot. 2012, 75, 25–35. [Google Scholar] [CrossRef]
- Cicatelli, A.; Lingua, G.D.; Todeschini, V.; Biondi, S.; Torrigiani, P.; Castiglione, S. Arbuscular Mycorrhizal Fungi Restore normal Growth in a White Poplar Clone Grown on Heavy Metal-contaminated Soil, and This is Associated with Upregulation of Foliar and Polyamine Biosynthetic Gene Expression. Ann. Bot. 2010, 106, 791–802. [Google Scholar] [CrossRef]
- Baldantoni, D.; Cicatelli, A.; Bellino, A.; Castiglione, S. Different Behaviours in Phytoremediation Capacity of Two Heavy Metal Tolerant Poplar Clones in Relation to Iron and Other Trace Elements. J. Environ. Manag. 2014, 146, 94–99. [Google Scholar] [CrossRef] [PubMed]
- Yan, K.; Ablimit, M.; Liu, S.; Liu, Z.; Wang, Y. A Novel Metallothionein Gene HcMT from Halophyte Shrub Halostachys caspica Respond to Cadmium and Sodium Stress. Plant Physiol. Biochem. 2023, 201, 107763. [Google Scholar] [CrossRef] [PubMed]
- Singh, D.; Dhal, N.K. Chromium-induced Oxidative Stress and Adaptive Response by Plants: A Physicochemical Review. Russ. J. Plant Physiol. 2023, 70, 22. [Google Scholar] [CrossRef]
- Tang, Y.Z.; Shi, L.; Zhong, K.C.; Shen, Z.G.; Chen, Y.H. Ectomycorrhizal Fungi May Not Act as a Barrier Inhibiting Host Plant Absorption of Heavy Metals. Chemosphere 2018, 215, 115–123. [Google Scholar] [CrossRef]
- Gao, T.; Wang, X.; Liu, Y.; Wang, H.; Zuo, M.; He, Y.; Li, H.; Li, G.; Li, C.; Li, X.; et al. Characteristics and Diversity of Microbial Communities in Lead-Zinc Tailings Under Heavy Metal Stress in North-west China. Lett. Appl. Microbiol. 2021, 74, 277–287. [Google Scholar] [CrossRef]
- Kumar, H.; Kuca, K.; Nepovimova, E.; Verma, R.; Kumar, D. Agronomy Arbuscular Mycorrhizal Fungi as Potential Agents in Ameliorating Heavy Metal Stress in Plants. Agronomy 2020, 10, 815. [Google Scholar]
- Zhou, Y.; Zheng, Y.; Li, P.; Xu, L.; Fu, Q. Ectomycorrhizal Fungi and Dark Septate Endophyte Inoculation Improve Growth and Tolerance of Pinus tabulaeformis Under Cadmium Stress. Pedosphere 2024, 34, 473–483. [Google Scholar] [CrossRef]
- Yin, S.; Zhang, X.; Xie, J.; Ye, X. Change of Microbial Communities in Heavy Metals-contaminated Rhizosphere Soil with Ectomycorrhizal Fungi Suillus luteus Inoculation. Appl. Soil. Ecol. 2023, 190, 105019. [Google Scholar] [CrossRef]
- Wang, J.X.; Zhang, H.Q.; Gao, J.; Zhang, Y.; Liu, Y.Q.; Tang, M. Effects of Ectomycorrhizal Fungi (Suillus variegatus) on the Growth, Hydraulic Function, and Non-structural Carbohydrates of Pinus tabulaeformis Under Drought Stress. BMC Plant Biol. 2021, 21, 171. [Google Scholar] [CrossRef]
- Mohamed, H.; Ba, A. Editorial: Mycorrhiza in Tropical and Neotropical Ecosystems. Front. Plant. Sci. 2018, 9, 308. [Google Scholar]
- Rúa, M.A.; Lamit, L.J.; Gehring, C.; Antunes, P.M.; Hoeksema, J.D.; Zabinski, C.; Karst, J.; Burns, C.; Woods, M.J. Accounting for Local Adaptation in Ectomycorrhizas: A Call to Track Geographical Origin of Plants, Fungi, and Soils in Experiments. Mycorrhiza 2018, 28, 187–195. [Google Scholar] [CrossRef] [PubMed]
- Chu, H.L.; Wang, C.Y.; Li, Z.M.; Wang, H.H.; Xiao, Y.G.; Chen, J.; Tang, M. The Dark Septate Endophytes and Ectomycorrhizal Fungi Effect on Pinus tabulaeformis Carr. Seedling Growth and Their Potential Effects to Pine Wilt Disease Resistance. Forests 2019, 10, 140. [Google Scholar] [CrossRef]
- Giovannetti, M.; Mosse, B. An Evaluation of Techniques for Measuring Vesicular Arbuscular Mycorrhizal Infection in Roots. New Phytol. 1980, 84, 489–500. [Google Scholar] [CrossRef]
- Gong, M.; Li, Y.; Chen, S. Abscisic Acid-Induced Thermo Tolerance in Maize Seedlings is Mediated by Calcium and Associated with Antioxidant Systems. J. Plant Physiol. 1998, 153, 488–496. [Google Scholar] [CrossRef]
- Mao, H.P.; Iwanaga, F.; Yamanaka, N.; Yamamoto, F. Growth, Photosynthesis, and Ion Distribution in Hydroponically Cultured Populus alba L. Cuttings Grown Under Various Salinity Concentrations. Landsc. Ecol. Eng. 2008, 4, 75–82. [Google Scholar] [CrossRef]
- Schreiber, U.; Klughammer, C.; Kolbowski, J. Assessment of Wavelength-dependent Parameters of Photosynthetic Electron Transport with a New Type of Multi-color PAM Chlorophyll Fluorometer. Photosynth. Res. 2012, 113, 127–144. [Google Scholar] [CrossRef]
- Marchiol, L.; Assolari, S.; Sacco, P.; Zerbi, G. Phytoextraction of Heavy Metals by Canola (Brassica napus) and Radish (Raphanus sativus) Grown on Multicontaminated Soil. Environ. Pollut. 2004, 132, 21–27. [Google Scholar] [CrossRef]
- Couturier, J.; Montanini, B.; Martin, F.; Brun, A.; Blaudez, D.; Chalot, M. The Expanded Family of Ammonium Transporters in the Perennial Poplar Plant. New Phytol. 2007, 174, 137–150. [Google Scholar] [CrossRef]
- Livak, K.J.; Schmittgen, T.D. Analysis of Relative Gene Expression Data Using Real-Time Quantitative PCR and the 2-ΔΔCT Method. Methods 2001, 25, 402–408. [Google Scholar] [CrossRef]
- Luo, Z.B.; Wu, C.; Zhang, C.; Li, H.; Lipka, U.; Polle, A. The Role of Ectomycorrhizas in Heavy Metal Stress Tolerance of Host Plants. Environ. Exp. Bot. 2014, 108, 47–62. [Google Scholar] [CrossRef]
- Szuba, A.; Karliński, L.; Krzeslowska, M.; Hazubska-Przybyl, T. Inoculation with a Pb-Tolerant Species of Paxillus involutus Improves Growth and Pb Tolerant of Populus × canescens Under In Vitro Conditions. Plant Soil 2017, 421, 253–266. [Google Scholar] [CrossRef]
- Szuba, A.; Marczak, U.; Kozowski, R. Pb Stress and Ectomycorrhizas: Strong Protective Proteomic Responses in Poplar Roots Inoculated with Paxillus involutus Isolate and Characterized by Low Root Colonization Intensity. Int. J. Mol. Sci. 2021, 22, 4300. [Google Scholar] [CrossRef] [PubMed]
- Liu, B.H.; Wang, S.X.; Wang, J.; Zhang, X.Z.; Shen, Z.G.; Shi, L.; Chen, Y.H. The Great Potential for Phytoremediation of Abandoned Tailings Pond Using Ectomycorrhizal Pinus sylvestris. Sci. Total Environ. 2020, 719, 137475. [Google Scholar] [CrossRef] [PubMed]
- Zhang, H.Q.; Ren, W.; Zheng, Y.R.; Li, Y.P.; Zhu, M.Z.; Tang, M. Arbuscular Mycorrhizal Fungi Increase Pb Uptake of Colonized and Non-Colonized Root Segment. Microorganisms 2021, 9, 1203. [Google Scholar] [CrossRef]
- Yin, D.; Halifu, S.; Song, R.; Qi, J.; Deng, X.; Deng, J. Effects of an Ectomycorrhizal Fungus on the Growth and Physiology of Pinus sylvestris var. mongolica Seedlings Subjected to Saline–Alkali Stress. J. Forestry Res. 2020, 31, 781–788. [Google Scholar] [CrossRef]
- Tapwal, A.; Kapoor, K.S.; Thakur, Y. Growth Enhancement in Containerized Pinus gerardiana Seedlings Inoculated with Ectomycorrhizal Fungi. Arch. Microbiol. 2022, 204, 724. [Google Scholar] [CrossRef]
- Hachani, C.; Lamhamedi, M.S.; Cameselle, C.; Gouveia, S.; Bejaoui, Z. Effects of Ectomycorrhizal Fungi and Heavy Metals (Pb, Zn, and Cd) on Growth and Mineral Nutrition of Pinus halepensis Seedlings in North Africa. Microorganisms 2020, 8, 2033. [Google Scholar] [CrossRef]
- Zhou, F.; Wang, J.; Yang, N. Growth Responses, Antioxidant Enzyme Activities and Lead Accumulation of Sophora japonica and Platycladus orientalis Seedings Under Pb and Water Stress. Plant Growth Regul. 2015, 75, 383–389. [Google Scholar] [CrossRef]
- Fatima, S.; Aslam, N.; Khalid, S. Effects of Copper Toxicity on Different Growth Attributes of Phlox drummondii. Environ. Ecosyst. Sci. 2021, 5, 58–63. [Google Scholar] [CrossRef]
- Fiala, R.; Fialová, I.; Vaculík, M.; Luxová, M. Effect of Silicon on the Young Maize Plants Exposed to Nickel Stress. Plant Physiol. Biochem. 2021, 166, 645–656. [Google Scholar] [CrossRef]
- Pandian, S.; Rakkammal, K.; Rathinapriya, P.; Rency, A.S.; Satish, L.; Ramesh, M. Physiological and Biochemical Changes in Sorghum Under Combined Heavy Metal Stress: An Adaptive Defence Against Oxidative Stress. Biocatal. Agric. Biotechnol. 2020, 29, 101830. [Google Scholar] [CrossRef]
- Li, Z.; Wu, N.; Liu, T.; Chen, H.; Tang, M. Effect of Arbuscular Mycorrhizal Inoculation on Water Status and Photosynthesis of Populus cathayana Males and Females under Water Stress. Physiol. Plantarum 2015, 155, 192–204. [Google Scholar] [CrossRef] [PubMed]
- Rusinowski, S.; Krzyżak, J.; Sitko, K.; Kalaji, H.M.; Jensen, E.; Pogrzeba, M. Cultivation of C4 Perennial Energy Grasses on Heavy Metal Contaminated Arable Land: Impact on Soil, Biomass, and Photosynthetic Traits. Environ. Pollut. 2019, 250, 300–311. [Google Scholar] [CrossRef] [PubMed]
- Sharma, A.; Kumar, V.; Shahzad, B.; Ramakrishnan, M.; Zheng, B. Photosynthetic Response of Plants under Different Abiotic Stresses: A Review. J. Plant Growth Regul. 2020, 39, 509–531. [Google Scholar] [CrossRef]
- Makowski, E. Effect of Drought and Heavy Metal Contamination on Growth and Photosynthesis of Silver Birch Trees Growing on Post-industrial Heaps. Cells 2021, 11, 53. [Google Scholar] [CrossRef]
- Porcel, R.; Redondo-Gómez, S.; Mateos-Naranjo, E.; Aroca, R.; Garcia, R.; Ruiz-Lozano, J.M. Arbuscular Mycorrhizal Symbiosis Ameliorates the Optimum Quantum Yield of Photosystem II and Reduces Non-Photochemical Quenching in Rice Plants Subjected to Salt Stress. J. Plant Physiol. 2015, 185, 75–83. [Google Scholar] [CrossRef]
- Wu, N.; Li, Z.; Wu, F.; Zhen, L.N. Sex-specific Photosynthetic Capacity and Na+ Homeostasis in Populus euphratica Exposed to NaCl Stress and AMF Inoculation. Front. Plant Sci. 2022, 13, 1066954. [Google Scholar] [CrossRef]
- Li, M.; Wang, H.Y.; Zhao, X.Z.; Lu, Z.K.; Sun, X.G.; Ding, G.J. Role of Suillus placidus in Improving the Drought Tolerance of Masson Pine (Pinus massoniana Lamb.) Seedlings. Forests 2021, 12, 332. [Google Scholar] [CrossRef]
- He, X.Y.; Liu, L.; Fu, J.K.; Yang, Y.; Wu, Z.X. Toxic Effects and Energy Distribution Characteristics of Photosynthetic System II(PSII) in Cylindrospermopsis raciborskii Exposed to Heavy Metal Cadmium. J. Lake Sci. 2019, 31, 1612–1622. [Google Scholar]
- Bui, V.C.; Franken, P. Acclimatization of Rhizophagus irregularis Enhances Zn Tolerance of the Fungus and the Mycorrhizal Plant Partner. Front. Microbiol. 2018, 18, 3156. [Google Scholar] [CrossRef]








| Gene Name | Primer-Forward (5′-3′) | Primer-Reverse (5′-3′) |
|---|---|---|
| PaMT1 | ATGTCTGGCTGTAGCTGTGG | ACCATGTCCATGTGTCCTCAT |
| PaMT2 | ATGCT TGCTGTGGTGGAAGC | GAATCAACGCAGCCAGC |
| PaMT3 | ATGTCTAGCACCTGCGACAA | ACACATGACGGTTTACGTG |
| UBQ [10] | GCCCAGAGGTCCTCTTCCAA | GGGGCTAGTGCTGAGATTT |
| Treatments | Colonization Rate (%) | |
|---|---|---|
| Inoculation | Pb (mg kg−1) | |
| NM | 0 | 0.00 ± 0.00 g |
| 200 | 0.00 ± 0.00 g | |
| 400 | 0.00 ± 0.00 g | |
| SL | 0 | 33.12 ± 3.19 cd |
| 200 | 32.57 ± 3.89 d | |
| 400 | 31.22 ± 2.38 d | |
| SF | 0 | 39.75 ± 2.63 a |
| 200 | 36.71 ± 3.81 b | |
| 400 | 35.91 ± 2.22 bc | |
| SV | 0 | 15.95 ± 2.77 f |
| 200 | 15.80 ± 2.31 f | |
| 400 | 14.55 ± 1.50 f | |
| GG | 0 | 25.39 ± 2.52 e |
| 200 | 22.63 ± 3.18 e | |
| 400 | 17.13 ± 2.10 f | |
| Measurements | ECMF Species | Pb Treatment | ECMF Species × Pb Treatment | |||
|---|---|---|---|---|---|---|
| F | p | F | p | F | p | |
| Height | 46.23 | 0.00 ** | 28.46 | 0.00 ** | 1.64 | 0.13 NS |
| Biomass of shoots | 46.13 | 0.00 ** | 9.22 | 0.00 ** | 5.06 | 0.00 ** |
| Biomass of roots | 231.45 | 0.00 ** | 57.27 | 0.00 ** | 7.45 | 0.00 ** |
| Root/Shoot | 85.80 | 0.00 ** | 21.43 | 0.00 ** | 10.61 | 0.00 ** |
| RWC | 124.91 | 0.00 ** | 76.19 | 0.00 ** | 0.87 | 0.55 NS |
| REL | 20.82 | 0.00 ** | 60.87 | 0.00 ** | 3.61 | 0.00 ** |
| Pn | 51.02 | 0.00 ** | 55.85 | 0.00 ** | 4.95 | 0.00 ** |
| Gs | 33.21 | 0.00 ** | 113.45 | 0.00 ** | 9.33 | 0.00 ** |
| Ci | 2.99 | 0.024 * | 51.60 | 0.00 ** | 2.18 | 0.038* |
| E | 30.48 | 0.00 ** | 107.22 | 0.00 ** | 8.038 | 0.00 ** |
| NPQ | 6.91 | 0.00 ** | 10.03 | 0.00 ** | 1.41 | 0.21 NS |
| qP | 4.52 | 0.00 ** | 21.09 | 0.00 ** | 5.29 | 0.00 ** |
| Fv/Fm | 6.72 | 0.00 ** | 52.71 | 0.00 ** | 5.11 | 0.00 ** |
| ΦPSII | 3.19 | 0.018 * | 17.62 | 0.00 ** | 1.53 | 0.16 NS |
| Pb content in shoots | 201.747 | 0.00 ** | 2909.69 | 0.00 ** | 68.43 | 0.00 ** |
| Pb content in roots | 13.71 | 0.00 ** | 2002.68 | 0.00 ** | 4.84 | 0.00 ** |
| The translocation factor | 112.24 | 0.00 ** | 1063.71 | 0.00 ** | 30.63 | 0.00 ** |
| PaMT1 expression in leaves | 15.14 | 0.00 ** | 376.62 | 0.00 ** | 4.36 | 0.00 ** |
| PaMT2 expression in leaves | 5.84 | 0.00 ** | 110.02 | 0.00 ** | 1.64 | 0.13 NS |
| PaMT3 expression in leaves | 1.35 | 0.26 NS | 383.63 | 0.00 ** | 2.77 | 0.01 * |
| PaMT1 expression in roots | 11.08 | 0.00 ** | 868.89 | 0.00 ** | 3.65 | 0.00 ** |
| PaMT2 expression in roots | 14.48 | 0.00 ** | 342.32 | 0.00 ** | 2.76 | 0.01 * |
| PaMT3 expression in roots | 5.12 | 0.00 ** | 230.91 | 0.00 ** | 4.26 | 0.00 ** |
Disclaimer/Publisher’s Note: The statements, opinions and data contained in all publications are solely those of the individual author(s) and contributor(s) and not of MDPI and/or the editor(s). MDPI and/or the editor(s) disclaim responsibility for any injury to people or property resulting from any ideas, methods, instructions or products referred to in the content. |
© 2024 by the authors. Licensee MDPI, Basel, Switzerland. This article is an open access article distributed under the terms and conditions of the Creative Commons Attribution (CC BY) license (https://creativecommons.org/licenses/by/4.0/).
Share and Cite
Wu, N.; Li, Z.; Wu, F.; Tan, J. Effects of ECMF Isolated from Mining Areas on Water Status, Photosynthesis Capacity, and Lead Ion Transport of Populus alba Under Pb Stress. J. Fungi 2024, 10, 822. https://doi.org/10.3390/jof10120822
Wu N, Li Z, Wu F, Tan J. Effects of ECMF Isolated from Mining Areas on Water Status, Photosynthesis Capacity, and Lead Ion Transport of Populus alba Under Pb Stress. Journal of Fungi. 2024; 10(12):822. https://doi.org/10.3390/jof10120822
Chicago/Turabian StyleWu, Na, Zhen Li, Fei Wu, and Jing Tan. 2024. "Effects of ECMF Isolated from Mining Areas on Water Status, Photosynthesis Capacity, and Lead Ion Transport of Populus alba Under Pb Stress" Journal of Fungi 10, no. 12: 822. https://doi.org/10.3390/jof10120822
APA StyleWu, N., Li, Z., Wu, F., & Tan, J. (2024). Effects of ECMF Isolated from Mining Areas on Water Status, Photosynthesis Capacity, and Lead Ion Transport of Populus alba Under Pb Stress. Journal of Fungi, 10(12), 822. https://doi.org/10.3390/jof10120822
