Prognostic Value of the C-Reactive Protein–Albumin–Lymphocyte (CALLY) Index for 1-Year Mortality After Transcatheter Aortic Valve Implantation
Abstract
1. Introduction
2. Materials and Methods
2.1. Study Design and Population
2.2. TAVI Procedure
2.3. Laboratory Measurements and CALLY Index Calculation
2.4. Clinical Follow-Up and Outcomes
2.5. Statistical Analysis
3. Results
4. Discussion
5. Conclusions
Author Contributions
Funding
Institutional Review Board Statement
Informed Consent Statement
Data Availability Statement
Conflicts of Interest
References
- Leon, M.B.; Mack, M.J.; Pibarot, P.; Hahn, R.T.; Thourani, V.H.; Kodali, S.; Généreux, P.; Kapadia, S.R.; Cohen, D.J.; Pocock, S.J. Transcatheter or Surgical Aortic-Valve Replacement in Low-Risk Patients at 7 Years. N. Engl. J. Med. 2025. [Google Scholar] [CrossRef]
- Forrest, J.K.; Yakubov, S.J.; Deeb, G.M.; Gada, H.; Mumtaz, M.A.; Ramlawi, B.; Bajwa, T.; Crouch, J.; Merhi, W.; Wai Sang, S.L. 5-Year outcomes after transcatheter or surgical aortic valve replacement in low-risk patients with aortic stenosis. J. Am. Coll. Cardiol. 2025, 85, 1523–1532. [Google Scholar] [CrossRef]
- Praz, F.; Borger, M.A.; Lanz, J.; Marin-Cuartas, M.; Abreu, A.; Adamo, M.; Marsan, N.A.; Barili, F.; Bonaros, N.; Cosyns, B. 2025 ESC/EACTS Guidelines for the management of valvular heart disease: Developed by the task force for the management of valvular heart disease of the European Society of Cardiology (ESC) and the European Association for Cardio-Thoracic Surgery (EACTS). Eur. J. Cardio-Thorac. Surg. 2025, 67, ezaf276. [Google Scholar] [CrossRef]
- Maeda, K.; Kumamaru, H.; Kohsaka, S.; Shimamura, K.; Mizote, I.; Yamashita, K.; Kawamura, A.; Mukai, T.; Nakamura, D.; Takeda, Y. A risk model for 1-year mortality after transcatheter aortic valve replacement from the J-TVT registry. JACC Asia 2022, 2, 635–644. [Google Scholar] [CrossRef]
- Kwiecinski, J.; Dabrowski, M.; Nombela-Franco, L.; Grodecki, K.; Pieszko, K.; Chmielak, Z.; Pylko, A.; Hennessey, B.; Kalinczuk, L.; Tirado-Conte, G. Machine learning for prediction of all-cause mortality after transcatheter aortic valve implantation. Eur. Heart J.-Qual. Care Clin. Outcomes 2023, 9, 768–777. [Google Scholar] [CrossRef] [PubMed]
- Sousa, A.L.S.; Carvalho, L.A.n.F.; Salgado, C.G.; Oliveira, R.L.d.; Mattos, N.D.F.G.d.; Fagundes, F.E.S.; Colafranceschi, A.S.; Mesquita, E.T. C-reactive protein as a prognostic marker of 1-year mortality after transcatheter aortic valve implantation in aortic stenosis. Arq. Bras. Cardiol. 2021, 117, 1018–1027. [Google Scholar] [CrossRef] [PubMed]
- Lachonius, M.; Nielsen, S.J.; Giang, K.W.; Backes, J.; Bjursten, H.; Hagström, H.; James, S.; Settergren, M.; Skoglund, K.; Jeppsson, A. Mortality and morbidity after transcatheter aortic valve implantation compared to an age-and sex-matched control population: A population-based study from the SWEDEHEART registry. Eur. Heart J.-Qual. Care Clin. Outcomes 2025, 11, 614–621. [Google Scholar] [CrossRef] [PubMed]
- Penso, M.; Pepi, M.; Fusini, L.; Muratori, M.; Cefalù, C.; Mantegazza, V.; Gripari, P.; Ali, S.G.; Fabbiocchi, F.; Bartorelli, A.L. Predicting long-term mortality in TAVI patients using machine learning techniques. J. Cardiovasc. Dev. Dis. 2021, 8, 44. [Google Scholar] [CrossRef]
- Bilen, M.N.; Sonsöz, M.R.; İnci, Y.; Güler, Y.; Güler, A.; Püşüroğlu, H. Prognostic Value of Pan-Immune Inflammation Value for Major Adverse Cardiac Events and Mortality in Patients with Aortic Stenosis After TAVI. Medicina 2025, 61, 992. [Google Scholar] [CrossRef]
- Çetin, Z.G.; Balun, A.; Çiçekçioğlu, H.; Demirtaş, B.; Yiğitbaşı, M.M.; Özbek, K.; Cetin, M. A novel score to predict one-year mortality after transcatheter aortic valve replacement, Naples prognostic score. Medicina 2023, 59, 1666. [Google Scholar] [CrossRef]
- Gitmez, M.; Güzel, T.; Kis, M.; Coskun, F.; İsik, M.A.; Aktan, A.; Kilic, R.; Demir, M.; Ertas, F. The performance of the NAPLES prognostic score in predicting one-year mortality and major adverse cardiovascular events after transcatheter aortic valve implantation in patients with severe aortic stenosis. Pol. Heart J. 2025, 83, 287–294. [Google Scholar] [CrossRef]
- Ji, H.; Luo, Z.; Ye, L.; He, Y.; Hao, M.; Yang, Y.; Tao, X.; Tong, G.; Zhou, L. Prognostic significance of C-reactive protein-albumin-lymphocyte (CALLY) index after primary percutaneous coronary intervention in patients with ST-segment elevation myocardial infarction. Int. Immunopharmacol. 2024, 141, 112860. [Google Scholar] [CrossRef]
- Fedai, H.; Sariisik, G.; Toprak, K.; Taşcanov, M.B.; Efe, M.M.; Arğa, Y.; Doğanoğulları, S.; Gez, S.; Demirbağ, R. A Machine Learning Model for the Prediction of No-Reflow Phenomenon in Acute Myocardial Infarction Using the CALLY Index. Diagnostics 2024, 14, 2813. [Google Scholar] [CrossRef]
- Güven, B.; Deniz, M.F.; Geylan, N.A.; Kültürsay, B.; Dönmez, A.; Bulat, Z.; Gül, Ö.B.; Kaya, M.; Oktay, V. A novel indicator of all-cause mortality in acute coronary syndrome: The CALLY index. Biomark. Med. 2025, 19, 287–294. [Google Scholar] [CrossRef]
- Ren, L.-Y.; Li, M.; Hu, H.-L. C-Reactive Protein-Albumin-Lymphocyte (CALLY) Index as a Novel Biomarker of Prognosis in Patients with Cardiovascular Disease. Angiology 2025. [Google Scholar] [CrossRef] [PubMed]
- He, Q.; Cao, Y.; Fan, X.; Li, B.; He, Q.; Zhang, H. Long-term prognostic value of CRP–albumin–lymphocyte index in elderly patients with heart failure with preserved ejection fraction. Exp. Gerontol. 2025, 204, 112744. [Google Scholar] [CrossRef] [PubMed]
- Members, W.C.; Otto, C.M.; Nishimura, R.A.; Bonow, R.O.; Carabello, B.A.; Erwin, J.P., III; Gentile, F.; Jneid, H.; Krieger, E.V.; Mack, M. 2020 ACC/AHA guideline for the management of patients with valvular heart disease: A report of the American College of Cardiology/American Heart Association Joint Committee on Clinical Practice Guidelines. J. Am. Coll. Cardiol. 2021, 77, e25–e197. [Google Scholar]
- Committee, V.-W.; Généreux, P.; Piazza, N.; Alu, M.C.; Nazif, T.; Hahn, R.T.; Pibarot, P.; Bax, J.J.; Leipsic, J.A.; Blanke, P. Valve Academic Research Consortium 3: Updated endpoint definitions for aortic valve clinical research. Eur. Heart J. 2021, 42, 1825–1857. [Google Scholar] [CrossRef]
- George, D. SPSS for Windows Step by Step: A Simple Study Guide and Reference, 17.0 Update, 10th ed.; Pearson Education India: Chennai, India, 2011. [Google Scholar]
- Özbebek, Y.E.; Büyükbaş, F.C.; Dursun, M.F.; Özdemir, Ö. Predictive Value of the CALLY Index for Pocket Hematoma After Cardiac Implantable Electronic Device Procedures. Pacing Clin. Electrophysiol. 2026, 49, 82–89. [Google Scholar] [CrossRef]
- Takagi, H.; Kuno, T.; Hari, Y.; Nakashima, K.; Yokoyama, Y.; Ueyama, H.; Ando, T.; Group, A. Prognostic impact of baseline C-reactive protein levels on mortality after transcatheter aortic valve implantation. J. Card. Surg. 2020, 35, 974–980. [Google Scholar] [CrossRef]
- Akirov, A.; Masri-Iraqi, H.; Atamna, A.; Shimon, I. Low albumin levels are associated with mortality risk in hospitalized patients. Am. J. Med. 2017, 130, 1465.e11–1465.e19. [Google Scholar] [CrossRef] [PubMed]
- Bogdan, A.; Barbash, I.M.; Segev, A.; Fefer, P.; Bogdan, S.N.; Asher, E.; Fink, N.; Hamdan, A.; Spiegelstein, D.; Raanani, E. Albumin correlates with all-cause mortality in elderly patients undergoing transcatheter aortic valve implantation. EuroIntervention 2016, 12, e1057–e1064. [Google Scholar] [CrossRef] [PubMed]
- Hoffmann, J.; Mas-Peiro, S.; Berkowitsch, A.; Boeckling, F.; Rasper, T.; Pieszko, K.; De Rosa, R.; Hiczkiewicz, J.; Burchardt, P.; Fichtlscherer, S. Inflammatory signatures are associated with increased mortality after transfemoral transcatheter aortic valve implantation. ESC Heart Fail. 2020, 7, 2597–2610. [Google Scholar] [CrossRef] [PubMed]
- Sá, M.P.; Erten, O.; Ramlawi, B. Transcatheter aortic valve implantation in elderly patients with aortic valve stenosis: The role of frailty, malnutrition, and sarcopenia. J. Am. Heart Assoc. 2022, 11, e027705. [Google Scholar] [CrossRef]
- Ishizu, K.; Shirai, S.; Isotani, A.; Hayashi, M.; Kawaguchi, T.; Taniguchi, T.; Ando, K.; Yashima, F.; Tada, N.; Yamawaki, M. Long-term prognostic value of the society of thoracic surgery risk score in patients undergoing transcatheter aortic valve implantation (from the OCEAN-TAVI registry). Am. J. Cardiol. 2021, 149, 86–94. [Google Scholar] [CrossRef]
- Stähli, B.E.; Tasnady, H.; Lüscher, T.F.; Gebhard, C.; Mikulicic, F.; Erhart, L.; Bühler, I.; Landmesser, U.; Altwegg, L.; Wischnewsky, M.B. Early and late mortality in patients undergoing transcatheter aortic valve implantation: Comparison of the novel EuroScore II with established risk scores. Cardiology 2013, 126, 15–23. [Google Scholar] [CrossRef]
- Tosu, A.R.; Kalyoncuoglu, M.; Biter, H.İ.; Cakal, S.; Selcuk, M.; Çinar, T.; Belen, E.; Can, M.M. Prognostic value of systemic immune-inflammation index for major adverse cardiac events and mortality in severe aortic stenosis patients after TAVI. Medicina 2021, 57, 588. [Google Scholar] [CrossRef]
- Nso, N.; Emmanuel, K.; Nassar, M.; Bhangal, R.; Enoru, S.; Iluyomade, A.; Marmur, J.D.; Ilonze, O.J.; Thambidorai, S.; Ayinde, H. Impact of new-onset versus pre-existing atrial fibrillation on outcomes after transcatheter aortic valve replacement/implantation. IJC Heart Vasc. 2022, 38, 100910. [Google Scholar] [CrossRef]
- Güney, M.C.; Süygün, H.; Polat, M.; Ayhan, H.; Keleş, T.; Turinay Ertop, Z.Ş.; Bozkurt, E. Prognostic Implications and Predictors of Mitral Regurgitancy Reduction After Transcatheter Aortic Valve Implantation. Medicina 2024, 60, 2077. [Google Scholar] [CrossRef]
- Ferry, C.; Garin, D.; Corti, R.; Clerc, A.; Togni, M.; Wenaweser, P.; Stortecky, S.; Cook, S. Predicting one-year outcomes after TAVI: Evidence from a two-site Swiss registry. BMC Cardiovasc. Disord. 2025, 25, 644. [Google Scholar] [CrossRef]
- Cortés, C.; Amat-Santos, I.J.; Nombela-Franco, L.; Muñoz-Garcia, A.J.; Gutiérrez-Ibanes, E.; De La Torre Hernandez, J.M.; Córdoba-Soriano, J.G.; Jimenez-Quevedo, P.; Hernández-García, J.M.; Gonzalez-Mansilla, A. Mitral regurgitation after transcatheter aortic valve replacement: Prognosis, imaging predictors, and potential management. JACC Cardiovasc. Interv. 2016, 9, 1603–1614. [Google Scholar] [CrossRef]




| Variables | Overall (n = 532) | Survival (n = 447) | Mortality (n = 85) | p |
|---|---|---|---|---|
| Demographics | ||||
| Age (years) | 77.6 ± 9.97 | 77.41 ± 8.05 | 78.57 ± 7.47 | 0.219 A |
| Sex (female), n (%) | 293 (55%) | 241 (53.9%) | 52 (61.1%) | 0.236 B |
| BMI (kg/m2) | 26.4 (23.4–29) | 26.4 (26.4–30) | 26 (23–28.6) | 0.422 C |
| STS score (%) | 6.0 ± 3.14 | 5.86 ± 3.11 | 7.07 ± 3.15 | 0.001 A |
| EuroSCORE II (%) | 8.4 (5.2–11.2) | 7.8 (4.8–11.2) | 11.7 (7.5–15.3) | <0.001 C |
| NYHA, n (%) | ||||
| 2 | 143 (26.8%) | 122 (27.2%) | 21 (24.7%) | 0.649 B |
| 3 | 301 (56.5%) | 254 (56.8%) | 47 (55.2%) | |
| 4 | 88 (16.5%) | 71 (15.8%) | 17 (20%) | |
| Comorbidities | ||||
| Diabetes mellitus, n (%) | 156 (29.3%) | 125 (27.9%) | 31 (36.4%) | 0.114 B |
| Hypertension, n (%) | 447 (84%) | 373 (83.4%) | 74 (87%) | 0.405 B |
| Hyperlipidemia, n (%) | 270 (50.7%) | 233 (52.1%) | 37 (43.5%) | 0.146 B |
| Atrial fibrillation, n (%) | 139 (26.1%) | 109 (24.3%) | 30 (35.2%) | 0.036 B |
| CAD, n (%) | 386 (72.5%) | 329 (73.6%) | 57 (67%) | 0.215 B |
| Previous CABG, n (%) | 128 (24%) | 106 (23.7%) | 22 (25.8%) | 0.668 B |
| Previous PCI, n (%) | 187 (35.1%) | 161 (36%) | 26 (30.5) | 0.337 B |
| Previous MI, n (%) | 63 (11.8%) | 47 (10.5%) | 16 (18.8%) | 0.030 B |
| COPD, n (%) | 201 (37.7%) | 166 (37.1%) | 35 (41.1%) | 0.481 B |
| Bicuspid, n (%) | 73 (13.7%) | 66 (14.7%) | 7 (8.2%) | 0.162 B |
| Stroke, n (%) | 32 (6%) | 28 (6.2%) | 4 (4.7%) | 0.760 B |
| PAD, n (%) | 42 (7.8%) | 34 (7.6%) | 8 (9.4%) | 0.517 B |
| Laboratory parameters | ||||
| Neutrophil (×103/µL) | 4.76 (3.6–6.1) | 4.69 (3.6–6) | 5.13 (4–6.4) | <0.001 C |
| Lymphocyte (×103/µL) | 1.57 (1.13–2) | 1.61 (1.16–2) | 1.47 (1–1.93) | 0.024 C |
| Platelet (×103/µL) | 241.4 ± 82.6 | 238.1 ± 79.7 | 257.5 ± 95.7 | 0.056 A |
| Hemoglobin (g/dL) | 11.73 ± 1.9 | 11.77 ± 1.92 | 11.51 ± 1.79 | 0.267 A |
| Albumin (g/L) | 3.81 ± 0.35 | 3.83 ± 0.34 | 3.73 ± 0.40 | 0.021 A |
| Creatinine (mg/dL) | 1.12 ± 0.58 | 1.10 ± 0.59 | 1.18 ± 0.51 | 0.115 A |
| GFR (ml/min/1.73 m2) | 63.8 ± 20.32 | 64.38 ± 20 | 61.92 ± 21.31 | 0.286 A |
| CRP (mg/L) | 4.3 (2.39–7.88) | 4.12 (2.29–7.6) | 6.2 (3.5–9.74) | 0.001 C |
| TSH (μIU/mL) | 1.30 (0.74–2.29) | 1.33 (0.75–2.29) | 1.29 (0.67–2.28) | 0.583 C |
| HbA1c (%) | 6.51 ± 1.39 | 6.46 ± 1.37 | 6.75 ± 1.46 | 0.154 A |
| Total cholesterol (mg/dL) | 169.4 ± 44.1 | 170.6 ± 44.4 | 164 ± 42 | 0.153 A |
| LDL (mg/dL) | 100.5 ± 36.2 | 101.2 ± 36.1 | 97.4 ± 36.2 | 0.303 A |
| CALLY index | 0.73 (0.42–1.38) | 0.82 (0.48–1.57) | 0.36 (0.21–0.68) | <0.001 C |
| CALLY index < 0.45, n(%) | 173 (32.5%) | 112 (25%) | 61 (71.7%) | <0.001 B |
| Variables | Overall (n = 532) | Survival (n = 447) | Mortality (n = 85) | p |
|---|---|---|---|---|
| Echocardiography | ||||
| LVEF (%) | 50.58 ± 13.63 | 51.36 ± 13.51 | 46.47 ± 13.55 | 0.002 A |
| LA diameter (cm) | 4.67 ± 0.65 | 4.65 ± 0.65 | 4.76 ± 0.61 | 0.192 A |
| Aortic max gradient (mmHg) | 79 (67–94) | 78.5 (67–94) | 79 (67–93) | 0.940 C |
| Aortic mean gradient (mmHg) | 47 (41–58) | 47 (41–59) | 47 (41–55) | 0.772 C |
| AVA (cm2) | 0.67 ± 0.16 | 0.67 ± 0.16 | 0.64 ± 0.16 | 0.178 A |
| Aortic annulus (cm) | 2.15 ± 0.20 | 2.15 ± 0.20 | 2.13 ± 0.21 | 0.303 A |
| sPAP (mmHg) | 43.89 ± 17.05 | 43.06 ± 17.05 | 48.24 ± 16.49 | 0.01 A |
| More than mild MR, n (%) | 183 (34.3%) | 140 (31.3%) | 43 (50.5%) | 0.001 B |
| AS group, n (%) | ||||
| High gradient | 350 (65.7%) | 298 (66.6%) | 52 (61.1%) | 0.287 B |
| LF–LG | 39 (7.3%) | 30 (6.7%) | 9 (10.5%) | |
| Paradoxal LF–LG | 10 (1.8%) | 7 (1.5%) | 3 (3.5%) | |
| Very severe AS | 133 (25%) | 112 (25%) | 21 (24.7%) | |
| Procedural characteristics | ||||
| Valve size (mm), n (%) | ||||
| 20 | 2 (0.3%) | 2 (0.4%) | – | 0.780 B |
| 23 | 224 (42.1%) | 183 (40.9%) | 41 (48.2%) | |
| 25 | 14 (2.6%) | 12 (2.6%) | 2 (2.3%) | |
| 26 | 215 (40.4%) | 186 (41.6%) | 29 (34.1%) | |
| 27 | 6 (1.1%) | 5 (1.1%) | 1 (1.1%) | |
| 29 | 71 (13.3%) | 59 (13.1%) | 12 (14.1%) | |
| Valve in valve | 7 (1.3%) | 5 (1.1%) | 2 (2.3%) | 0.311 B |
| Closure method, n (%) | ||||
| ProGlide | 325 (61%) | 272 (60.8%) | 53 (62.3%) | 0.961 B |
| Prostar | 176 (33%) | 149 (33.3%) | 27 (31.7%) | |
| Cut-down | 31 (5.8%) | 26 (5.8%) | 5 (5.8%) | |
| Edwards SAPIEN XT, n (%) | 457 (85.9%) | 387 (86.5%) | 70 (82.3%) | 0.309 B |
| Edwards SAPIEN 3, n (%) | 43 (8%) | 34 (7.6%) | 9 (10.5%) | 0.384 B |
| LOTUS valve, n(%) | 24 (4.5%) | 19 (4.2%) | 5 (5.8%) | 0.566 B |
| ACURATE neo, n (%) | 8 (1.5%) | 7 (1.5%) | 1 (%1.1) | 0.815 B |
| Transaxillary access, n (%) | 20 (3.7%) | 17 (3.8%) | 3 (3.5%) | 0.953 B |
| Post-TAVI pacemaker, n (%) | 48 (9%) | 39 (8.7%) | 9 (10.5%) | 0.540 B |
| Procedural stroke, n (%) | 4 (0.7%) | 2 (0.4%) | 2 (2.3%) | 0.122 B |
| Major vascular complication, n (%) | 23 (4.3%) | 19 (4.2%) | 4 (4.7%) | 0.896 B |
| Life-threatening bleeding, n (%) | 4 (0.7%) | 3 (0.6%) | 1 (1.1%) | 0.685 B |
| Acute kidney injury, n (%) | 17 (3.1%) | 11 (2.4%) | 6 (7%) | 0.039 B |
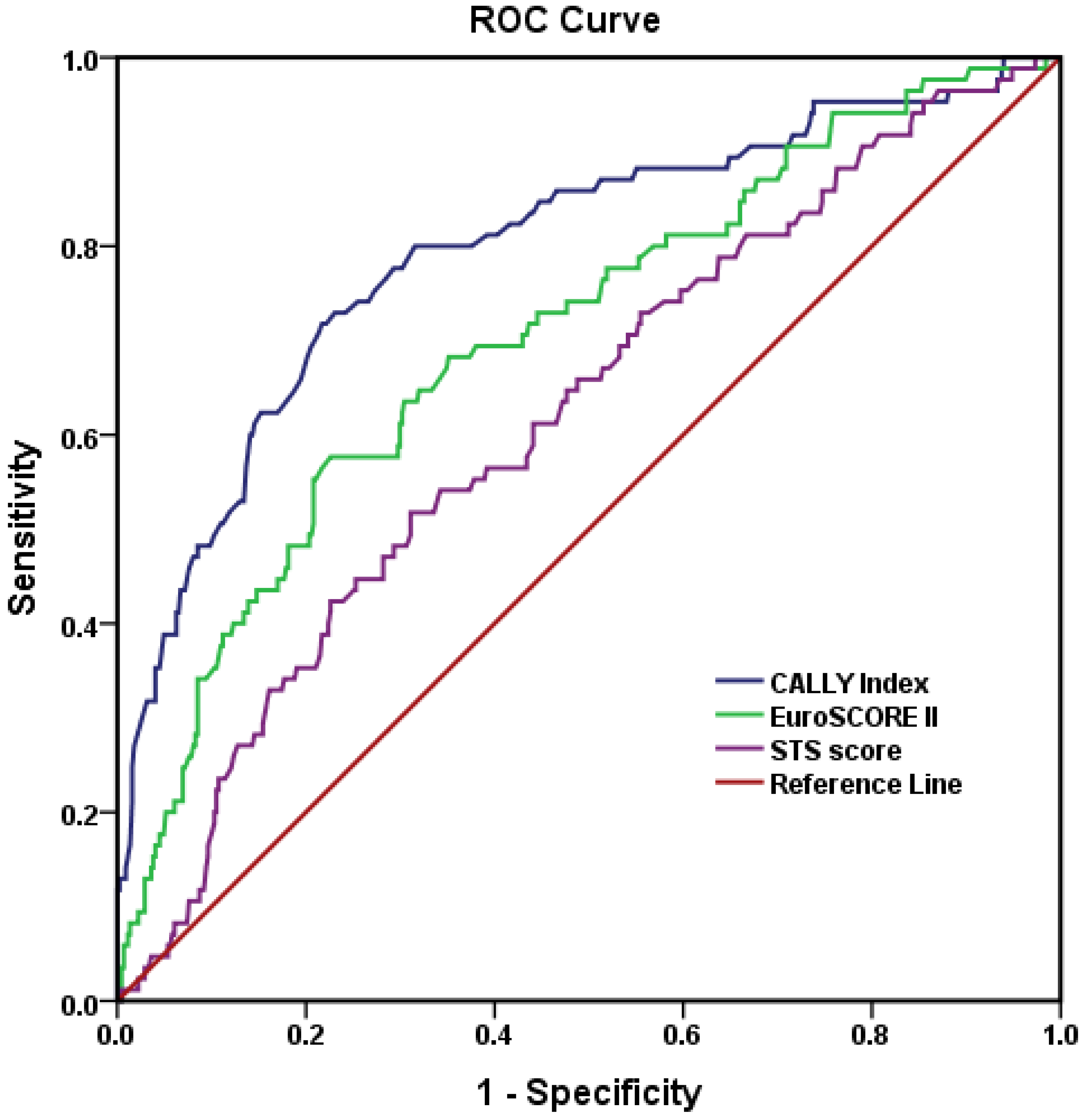
| Variable | AUC (%95) | p | Cut-off | Sensitivity (%) | Specificity (%) | PPV (%) | NPV (%) |
|---|---|---|---|---|---|---|---|
| CALLY | 0.797 (0.740–0.854) | <0.001 | 0.45 | 0.718 | 0.783 | 38.4 | 93.6 |
| EuroSCORE II | 0.705 (0.643–0.767) | <0.001 | 11.27 | 0.637 | 0.765 | 32.7 | 90.6 |
| STS score | 0.619 (0.555–0.683) | 0.001 | 6.82 | 0.518 | 0.689 | 24 | 88.3 |
| Variables | Univariate Analysis | Multivariate Analysis—Model 1 * | Multivariate Analysis—Model 2 ** | |||
|---|---|---|---|---|---|---|
| OR (95%CI) | p-Value | OR (95%CI) | p-Value | OR (95%CI) | p-Value | |
| Age | 1.019 (0.989–1.050) | 0.219 | - | - | - | - |
| DM | 1.479 (0.908–2.408) | 0.116 | - | - | - | - |
| AF | 1.691 (1.032–2.773) | 0.037 | 1.176 (0.675–2.048) | 0.567 | 1.221 (0.687–2.169) | 0.497 |
| Albumin | 0.463 (0.240–0.894) | 0.022 | - | - | - | - |
| CRP | 1.022 (0.999–1.045) | 0.057 | - | - | - | - |
| Neutrophil | 1.158 (1.046–1.282) | 0.005 | 1.059 (0.936–1.198) | 0.365 | 1.068 (0.936–1.218) | 0.330 |
| Lymphocyte | 0.634 (0.433–0.928) | 0.019 | - | - | - | - |
| Platelet | 1.003 (1.000–1.005) | 0.058 | 1.003 (0.999–1.006) | 0.101 | 1.002 (0.999–1.005) | 0.236 |
| Previous MI | 1.973 (1.059–3.677) | 0.032 | 1.282 (0.610–2.695) | 0.513 | 1.436 (0.664–3.108) | 0.358 |
| STS score | 1.12 (1.044–1.22) | 0.001 | 0.992 (0.904–1.088) | 0.786 | 0.993 (0.899–1.095) | 0.885 |
| EuroSCORE II | 1.103 (1.065–1.162) | <0.001 | 1.088 (1.042–1.127) | 0.001 | 1.065 (1.039–1.102) | 0.001 |
| * CALLY index | 0.454 (0.256–0.715) | <0.001 | 0.735 (0.582–0.892) | <0.001 | - | - |
| ** CALLY index < 0.45 | 5.579 (3.146–9.636) | <0.001 | - | - | 3.556 (2.123–5.636) | <0.001 |
| LVEF (%) | 0.976 (0.961–0.992) | 0.003 | 0.991 (0.972–1.010) | 0.353 | 0.993 (0.973–1.013) | 0.498 |
| sPAP | 1.017 (1.004–1.031) | 0.011 | 1.004 (0.989–1.020) | 0.582 | 1.004 (0.988–1.021) | 0.606 |
| More than mild MR | 2.245 (1.403–3.592) | 0.001 | 1.788 (1.031–3.105) | 0.039 | 1.875 (1.053–3.337) | 0.033 |
| AKI | 3.010 (1.082–6.865) | 0.035 | 2.970 (0.981–5.994) | 0.054 | 1.514 (0.492–2.963) | 0.470 |
Disclaimer/Publisher’s Note: The statements, opinions and data contained in all publications are solely those of the individual author(s) and contributor(s) and not of MDPI and/or the editor(s). MDPI and/or the editor(s) disclaim responsibility for any injury to people or property resulting from any ideas, methods, instructions or products referred to in the content. |
© 2026 by the authors. Licensee MDPI, Basel, Switzerland. This article is an open access article distributed under the terms and conditions of the Creative Commons Attribution (CC BY) license.
Share and Cite
Süygün, H.; Turinay Ertop, Z.S.; Polat, M.; Güney, M.C.; Ayhan, H.; Keleş, T.; Bozkurt, E. Prognostic Value of the C-Reactive Protein–Albumin–Lymphocyte (CALLY) Index for 1-Year Mortality After Transcatheter Aortic Valve Implantation. J. Cardiovasc. Dev. Dis. 2026, 13, 83. https://doi.org/10.3390/jcdd13020083
Süygün H, Turinay Ertop ZS, Polat M, Güney MC, Ayhan H, Keleş T, Bozkurt E. Prognostic Value of the C-Reactive Protein–Albumin–Lymphocyte (CALLY) Index for 1-Year Mortality After Transcatheter Aortic Valve Implantation. Journal of Cardiovascular Development and Disease. 2026; 13(2):83. https://doi.org/10.3390/jcdd13020083
Chicago/Turabian StyleSüygün, Hakan, Zeynep Seyma Turinay Ertop, Melike Polat, Murat Can Güney, Hüseyin Ayhan, Telat Keleş, and Engin Bozkurt. 2026. "Prognostic Value of the C-Reactive Protein–Albumin–Lymphocyte (CALLY) Index for 1-Year Mortality After Transcatheter Aortic Valve Implantation" Journal of Cardiovascular Development and Disease 13, no. 2: 83. https://doi.org/10.3390/jcdd13020083
APA StyleSüygün, H., Turinay Ertop, Z. S., Polat, M., Güney, M. C., Ayhan, H., Keleş, T., & Bozkurt, E. (2026). Prognostic Value of the C-Reactive Protein–Albumin–Lymphocyte (CALLY) Index for 1-Year Mortality After Transcatheter Aortic Valve Implantation. Journal of Cardiovascular Development and Disease, 13(2), 83. https://doi.org/10.3390/jcdd13020083

