Aging-Induced QT Prolongation as a Potential Contributor to Longevity
Abstract
1. Introduction
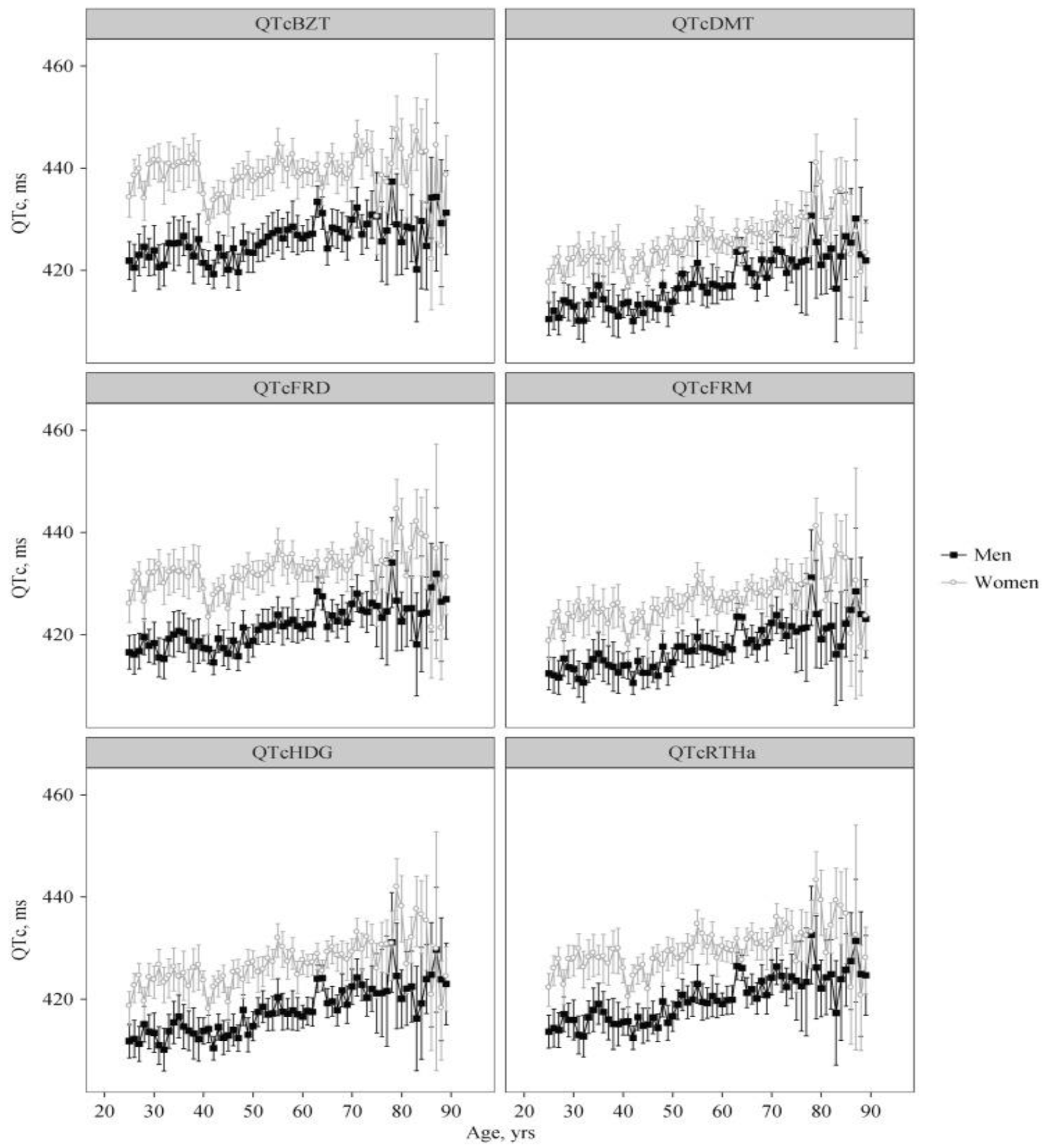
2. QT Interval and Aging
3. QT Interval and Subsequent Cardiac Death
4. Mechanisms by Which QT Prolongation Is Associated with Cardiac Sudden Death
4.1. Aging and Ventricular Arrhythmias
4.2. The Underlying Mechanism by Which Aging Induces QT Prolongation
4.3. Increased Action Potential Duration from Alteration of the Molecular Determinants of QT Interval
5. Study Limitations
6. Future Research
7. Conclusions
Supplementary Materials
Funding
Institutional Review Board Statement
Informed Consent Statement
Data Availability Statement
Conflicts of Interest
Abbreviations
| RyRs | Ryanodine Receptors |
| INaL | Late Inward Na+ Current |
| KATP channels | |
| CaMKI | Ca2+/Calmodulin-Dependent Protein Kinase |
| EAD | Early Afterdepolarizations |
References
- Newman, A.B.; Murabito, J.M. The epidemiology of longevity and exceptional survival. Epidemiol. Rev. 2013, 35, 181–197. [Google Scholar] [CrossRef] [PubMed]
- Rechsteiner, C.; Morandini, F.; Kim, S.J.; Seluanov, A.; Gorbunova, V. Unlocking longevity through the comparative biology of aging. Nat. Aging 2025, 5, 1686–1703. [Google Scholar] [CrossRef]
- Al-Khatib, S.M.; Stevenson, W.G.; Ackerman, M.J.; Bryant, W.J.; Callans, D.J.; Curtis, A.B.; Deal, B.J.; Dickfeld, T.; Field, M.E.; Fonarow, G.C.; et al. 2017 AHA/ACC/HRS Guideline for Management of Patients With Ventricular Arrhythmias and the Prevention of Sudden Cardiac Death. Circulation 2018, 138, e272–e391. [Google Scholar] [CrossRef]
- Kong, M.H.; Fonarow, G.C.; Peterson, E.D.; Curtis, A.B.; Hernandez, A.F.; Sanders, G.D.; Thomas, K.L.; Hayes, D.L.; Al-Khatib, S.M. Systematic review of the incidence of sudden cardiac death in the United States. J. Am. Coll. Cardiol. 2011, 57, 794–801. [Google Scholar] [CrossRef]
- Fishman, G.I.; Chugh, S.S.; DiMarco, J.P.; Albert, C.M.; Anderson, M.E.; Bonow, R.O.; Buxton, A.E.; Chen, P.-S.; Estes, M.; Jouven, X.; et al. Sudden Cardiac Death Prediction and Prevention. Circulation 2010, 122, 2335–2348. [Google Scholar] [CrossRef]
- Zeppenfeld, K.; Tfelt-Hansen, J.; de Riva, M.; Winkel, B.G.; Behr, E.R.; Blom, N.A.; Charron, P.; Corrado, D.; Dagres, N.; de Chillou, C.; et al. 2022 ESC Guidelines for the management of patients with ventricular arrhythmias and the prevention of sudden cardiac death: Developed by the task force for the management of patients with ventricular arrhythmias and the prevention of sudden cardiac death. Eur. Heart J. 2022, 43, 3997–4126. [Google Scholar] [CrossRef] [PubMed]
- Teggi, D. Unexpected death in ill old age: An analysis of disadvantaged dying in the English old population. Soc. Sci. Med. 2018, 217, 112–120. [Google Scholar] [CrossRef]
- Tung, P.; Albert, C.M. Causes and prevention of sudden cardiac death in the elderly. Nat. Rev. Cardiol. 2013, 10, 135–142. [Google Scholar] [CrossRef]
- Albert, C.M.; Chae, C.U.; Grodstein, F.; Rose, L.M.; Rexrode, K.M.; Ruskin, J.N.; Stampfer, M.J.; Manson, J.E. Prospective study of sudden cardiac death among women in the United States. Circulation 2003, 107, 2096–2101. [Google Scholar] [CrossRef]
- Chugh, S.S.; Jui, J.; Gunson, K.; Stecker, E.C.; John, B.T.; Thompson, B.; Ilias, N.; Vickers, C.; Dogra, V.; Daya, M.; et al. Current burden of sudden cardiac death: Multiple source surveillance versus retrospective death certificate-based review in a large U.S. community. J. Am. Coll. Cardiol. 2004, 44, 1268–1275. [Google Scholar] [CrossRef] [PubMed]
- Santangeli, P.; Di Biase, L.; Dello Russo, A.; Casella, M.; Bartoletti, S.; Santarelli, P.; Pelargonio, G.; Natale, A. Meta-analysis: Age and effectiveness of prophylactic implantable cardioverter-defibrillators. Ann. Intern. Med. 2010, 153, 592–599. [Google Scholar] [CrossRef] [PubMed]
- Singh, M.; Morin, D.P.; Link, M.S. Sudden cardiac death in Long QT syndrome (LQTS), Brugada syndrome, and catecholaminergic polymorphic ventricular tachycardia (CPVT). Prog. Cardiovasc. Dis. 2019, 62, 227–234. [Google Scholar] [CrossRef]
- Bednar, M.M.; Harrigan, E.P.; Anziano, R.J.; Camm, A.J.; Ruskin, J.N. The QT interval. Prog. Cardiovasc. Dis. 2001, 43, 1–45. [Google Scholar]
- Can, I.; Aytemir, K.; Kose, S.; Oto, A. Physiological mechanisms influencing cardiac repolarization and QT interval. Card. Electrophysiol. Rev. 2002, 6, 278–281. [Google Scholar] [CrossRef] [PubMed]
- Rabkin, S.; Szefer, E.; Thompson, D.J.S. A New QT Interval Correction Formulae to Adjust for Increases in Heart Rate. JACC Clin. Electrophysiol. 2017, 3, 756–766. [Google Scholar] [CrossRef]
- Rabkin, S.W.; Cheng, X.-B.J.; Thompson, D.J.S. Detailed analysis of the impact of age on the QT interval. J. Geriatr. Cardiol. 2016, 13, 740–748. [Google Scholar] [CrossRef]
- Reardon, M.; Malik, M. QT interval change with age in an overtly healthy older population. Clin. Cardiol. 1996, 19, 949–952. [Google Scholar] [CrossRef] [PubMed]
- Su, H.-M.; Chiu, H.-C.; Lin, T.-H.; Voon, W.-C.; Liu, H.-W.; Lai, W.-T. Longitudinal study of the ageing trends in QT interval and dispersion in healthy elderly subjects. Age Ageing 2006, 35, 636–638. [Google Scholar] [CrossRef][Green Version]
- Liu, C.-Y.; Liu, Y.-C.; Wu, C.; Armstrong, A.; Volpe, G.J.; van der Geest, R.J.; Liu, Y.; Hundley, W.G.; Gomes, A.S.; Liu, S.; et al. Evaluation of age-related interstitial myocardial fibrosis with cardiac magnetic resonance contrast-enhanced T1 mapping: MESA (Multi-Ethnic Study of Atherosclerosis). J. Am. Coll. Cardiol. 2013, 62, 1280–1287. [Google Scholar] [CrossRef]
- Ma, T.; Cai, J.; Zhu, Y.-S.; Chu, X.-F.; Wang, Y.; Shi, G.-P.; Wang, Z.-D.; Yao, S.; Wang, X.-F.; Jiang, X.-Y. Association between a frailty index based on common laboratory tests and QTc prolongation in older adults: The Rugao Longevity and Ageing Study. Clin. Interv. Aging 2018, 13, 797–804. [Google Scholar] [CrossRef]
- Pfeifer, M.A.; Weinberg, C.R.; Cook, D.; Best, J.D.; Reenan, A.; Halter, J.B. Differential changes of autonomic nervous system function with age in man. Am. J. Med. 1983, 75, 249–258. [Google Scholar] [CrossRef] [PubMed]
- Rabkin, S.W. The QT interval in Parkinson’s disease: A systematic review. J. Geriatr. Cardiol. 2024, 21, 855–865. [Google Scholar] [CrossRef]
- Pringsheim, T.; Jette, N.; Frolkis, A.; Steeves, T.D.L. The prevalence of Parkinson’s disease: A systematic review and meta-analysis. Mov. Disord. 2014, 29, 1583–1590. [Google Scholar] [CrossRef]
- Bennett, D.A.; Beckett, L.A.; Murray, A.M.; Shannon, K.M.; Goetz, C.G.; Pilgrim, D.M.; Evans, D.A. Prevalence of parkinsonian signs and associated mortality in a community population of older people. N. Engl. J. Med. 1996, 334, 71–76. [Google Scholar] [CrossRef]
- Rabkin, S.W. Relationship between Alzheimer dementia and QT interval: A meta-analysis. Aging Med. 2024, 7, 214–223. [Google Scholar] [CrossRef]
- Zabel, M.; Portnoy, S.; Franz, M.R. Electrocardiographic indexes of dispersion of ventricular repolarization: An isolated heart validation study. J. Am. Coll. Cardiol. 1995, 25, 746–752. [Google Scholar] [CrossRef]
- Rautaharju, P.M. Why did QT dispersion die? Card. Electrophysiol. Rev. 2002, 6, 295–301. [Google Scholar] [CrossRef]
- Malik, M.; Acar, B.; Gang, Y.; Yap, Y.G.; Hnatkova, K.; Camm, A.J. QT dispersion does not represent electrocardiographic interlead heterogeneity of ventricular repolarization. J. Cardiovasc. Electrophysiol. 2000, 11, 835–843. [Google Scholar] [CrossRef] [PubMed]
- Elming, H.; Holm, E.; Jun, L.; Torp-Pedersen, C.; Køber, L.; Kircshoff, M.; Malik, M.; Camm, J. The prognostic value of the QT interval and QT interval dispersion in all-cause and cardiac mortality and morbidity in a population of Danish citizens. Eur. Heart J. 1998, 19, 1391–1400. [Google Scholar] [CrossRef]
- de Bruyne, M.C.; Hoes, A.W.; Kors, J.A.; Hofman, A.; van Bemmel, J.H.; Grobbee, D.E. QTc dispersion predicts cardiac mortality in the elderly: The Rotterdam Study. Circulation 1998, 97, 467–472. [Google Scholar] [CrossRef] [PubMed]
- Huang, J.-H.; Lin, Y.-Q.; Pan, N.-H.; Chen, Y.-J. Aging modulates dispersion of ventricular repolarization in the very old of the geriatric population. Heart Vessel. 2010, 25, 500–508. [Google Scholar] [CrossRef]
- Jervell, A.; Lange-NielsenIELSEN, F. Congenital deaf-mutism, functional heart disease with prolongation of the Q-T interval and sudden death. Am. Heart J. 1957, 54, 59–68. [Google Scholar] [CrossRef] [PubMed]
- Algra, A.; Tijssen, J.G.; Roelandt, J.R.; Pool, J.; Lubsen, J. QTc prolongation measured by standard 12-lead electrocardiography is an independent risk factor for sudden death due to cardiac arrest. Circulation 1991, 83, 1888–1894. [Google Scholar] [CrossRef] [PubMed]
- Moss, A.J. Measurement of the QT interval and the risk associated with QTc interval prolongation: A review. Am. J. Cardiol. 1993, 72, 23B–25B. [Google Scholar] [CrossRef]
- Webster, G.; Berul, C.I. Congenital long-QT syndromes: A clinical and genetic update from infancy through adulthood. Trends Cardiovasc. Med. 2008, 18, 216–224. [Google Scholar] [CrossRef]
- Schouten, E.G.; Dekker, J.M.; Meppelink, P.; Kok, F.J.; Vandenbroucke, J.P.; Pool, J. QT interval prolongation predicts cardiovascular mortality in an apparently healthy population. Circulation 1991, 84, 1516–1523. [Google Scholar] [CrossRef]
- Dekker, J.M.; Schouten, E.G.; Klootwijk, P.; Pool, J.; Kromhout, D. Association between QT interval and coronary heart disease in middle-aged and elderly men. The Zutphen Study. Circulation 1994, 90, 779–785. [Google Scholar] [CrossRef]
- Karjalainen, J.; Reunanen, A.; Ristola, P.; Viitasalo, M. QT interval as a cardiac risk factor in a middle aged population. Heart 1997, 77, 543–548. [Google Scholar] [CrossRef] [PubMed]
- de Bruyne, M.C.; Hoes, A.W.; Kors, J.A.; Hofman, A.; van Bemmel, J.H.; Grobbee, D.E. Prolonged QT interval predicts cardiac and all-cause mortality in the elderly. The Rotterdam Study. Eur. Heart J. 1999, 20, 278–284. [Google Scholar] [CrossRef]
- Straus, S.M.J.M.; Kors, J.A.; De Bruin, M.L.; van der Hooft, C.S.; Hofman, A.; Heeringa, J.; Deckers, J.W.; Kingma, J.H.; Sturkenboom, M.C.J.M.; Stricker, B.H.C.; et al. Prolonged QTc Interval and Risk of Sudden Cardiac Death in a Population of Older Adults. J. Am. Coll. Cardiol. 2006, 47, 362–367. [Google Scholar] [CrossRef]
- Zhang, Y.; WS, P.; Dalal, D.; Blasco-Colmenares, E.; GF, T.; Guallar, E. QT-interval duration and mortality rate: Results from the Third National Health and Nutrition Examination Survey. Arch. Intern. Med. 2011, 171, 1727–1733. [Google Scholar] [CrossRef] [PubMed][Green Version]
- Zhang, Y.; Post, W.S.; Blasco-Colmenares, E.; Dalal, D.; Tomaselli, G.F.; Guallar, E. Electrocardiographic QT interval and mortality: A meta-analysis. Epidemiology 2011, 22, 660–670. [Google Scholar] [CrossRef]
- Oikarinen, L.; Nieminen, M.S.; Viitasalo, M.; Toivonen, L.; Jern, S.; Dahlöf, B.; Devereux, R.B.; Okin, P.M. QRS duration and QT interval predict mortality in hypertensive patients with left ventricular hypertrophy: The Losartan Intervention for Endpoint Reduction in Hypertension Study. Hypertension (1979) 2004, 43, 1029–1034. [Google Scholar] [CrossRef]
- Sato, K.; Hatano, T.; Yamashiro, K.; Kagohashi, M.; Nishioka, K.; Izawa, N.; Mochizuki, H.; Hattori, N.; Mori, H.; Mizuno, Y. Prognosis of Parkinson’s disease: Time to stage III, IV, V, and to motor fluctuations. Mov. Disord. 2006, 21, 1384–1395. [Google Scholar] [CrossRef]
- Lopez-Jimenez, F.; Kapa, S.; Friedman, P.A.; LeBrasseur, N.K.; Klavetter, E.; Mangold, K.E.; Attia, Z.I. Assessing Biological Age. JACC Clin. Electrophysiol. 2024, 10, 775–789. [Google Scholar] [CrossRef]
- Basile, G.; Cucinotta, M.D.; Figliomeni, P.; Lo Balbo, C.; Maltese, G.; Lasco, A. Electrocardiographic changes in centenarians: A study on 42 subjects and comparison with the literature. Gerontology 2012, 58, 216–220. [Google Scholar] [CrossRef] [PubMed]
- Sun, Z. Aging, Arterial Stiffness, and Hypertension. Hypertension 2015, 65, 252–256. [Google Scholar] [CrossRef]
- Nanna, M.G.; Navar, A.M.; Wojdyla, D.; Nelson, A.J.; Sullivan, A.E.; Peterson, E.D. Can the Absence of Hypertension Refine the Risk Assessment of Older Adults for Future Cardiovascular Events? Am. J. Cardiol. 2021, 142, 83–90. [Google Scholar] [CrossRef]
- Kalyani, R.R.; Egan, J.M. Diabetes and altered glucose metabolism with aging. Endocrinol. Metab. Clin. N. Am. 2013, 42, 333–347. [Google Scholar] [CrossRef] [PubMed]
- Preuss, H.G. Effects of glucose/insulin perturbations on aging and chronic disorders of aging: The evidence. J. Am. Coll. Nutr. 1997, 16, 397–403. [Google Scholar] [CrossRef]
- Antoniou, C.-K.; Dilaveris, P.; Manolakou, P.; Galanakos, S.; Magkas, N.; Gatzoulis, K.; Tousoulis, D. QT Prolongation and Malignant Arrhythmia: How Serious a Problem? Eur. Cardiol. 2017, 12, 112–120. [Google Scholar] [CrossRef] [PubMed]
- Shryock, J.C.; Song, Y.; Wu, L.; Fraser, H.; Belardinelli, L. A mechanistic approach to assess the proarrhythmic risk of QT-prolonging drugs in preclinical pharmacologic studies. J. Electrocardiol. 2004, 37, 34–39. [Google Scholar] [CrossRef]
- Tse, G.; Chan, Y.W.F.; Keung, W.; Yan, B.P. Electrophysiological mechanisms of long and short QT syndromes. Int. J. Cardiol. Heart Vasc. 2017, 14, 8–13. [Google Scholar] [CrossRef] [PubMed]
- Weiss, J.N.; Garfinkel, A.; Karagueuzian, H.S.; Chen, P.-S.; Qu, Z. Early afterdepolarizations and cardiac arrhythmias. Heart Rhythm 2010, 7, 1891–1899. [Google Scholar] [CrossRef]
- Manolio, T.A.; Furberg, C.D.; Rautaharju, P.M.; Siscovick, D.; Newman, A.B.; Borhani, N.O.; Gardin, J.M.; Tabatznik, B. Cardiac arrhythmias on 24-h ambulatory electrocardiography in older women and men: The Cardiovascular Health Study. J. Am. Coll. Cardiol. 1994, 23, 916–925. [Google Scholar] [CrossRef]
- Pizzo, E.; Cervantes, D.O.; Ketkar, H.; Ripa, V.; Nassal, D.M.; Buck, B.; Parambath, S.P.; Di Stefano, V.; Singh, K.; Thompson, C.I.; et al. Phosphorylation of cardiac sodium channel at Ser571 anticipates manifestations of the aging myopathy. Am. J. Physiol. Heart Circ. Physiol. 2024, 326, H1424–H1445. [Google Scholar] [CrossRef]
- Weidner, K.; Schupp, T.; Rusnak, J.; El-Battrawy, I.; Ansari, U.; Hoppner, J.; Mueller, J.; Kittel, M.; Taton, G.; Reiser, L.; et al. Impact of age on the prognosis of patients with ventricular tachyarrhythmias and aborted cardiac arrest. Z. Gerontol. Geriatr. 2023, 56, 484–491. [Google Scholar] [CrossRef]
- Bapat, A.; Nguyen, T.P.; Lee, J.-H.; Sovari, A.A.; Fishbein, M.C.; Weiss, J.N.; Karagueuzian, H.S. Enhanced sensitivity of aged fibrotic hearts to angiotensin II- and hypokalemia-induced early afterdepolarization-mediated ventricular arrhythmias. Am. J. Physiol. Heart Circ. Physiol. 2012, 302, H2331–H2340. [Google Scholar] [CrossRef]
- Holmuhamedov, E.L.; Chakraborty, P.; Oberlin, A.; Liu, X.; Yousufuddin, M.; Shen, W.K.; Terzic, A.; Jahangir, A. Aging-associated susceptibility to stress-induced ventricular arrhythmogenesis is attenuated by tetrodotoxin. Biochem. Biophys. Res. Commun. 2022, 623, 44–50. [Google Scholar] [CrossRef]
- Feridooni, H.A.; Dibb, K.D.; Howlett, S.E. How cardiomyocyte excitation, calcium release and contraction become altered with age. J Molec. Cell Cardiol. 2015, 83, 62–72. [Google Scholar] [CrossRef] [PubMed]
- Oknińska, M.; Duda, M.K.; Czarnowska, E.; Bierła, J.; Paterek, A.; Mączewski, M.; Mackiewicz, U. Sex- and age-dependent susceptibility to ventricular arrhythmias in the rat heart ex vivo. Sci. Rep. 2024, 14, 3460. [Google Scholar] [CrossRef]
- Curtis, A.B.; Karki, R.; Hattoum, A.; Sharma, U.C. Arrhythmias in Patients ≥ 80 Years of Age: Pathophysiology, Management, and Outcomes. J. Am. Coll. Cardiol. 2018, 71, 2041–2057. [Google Scholar] [CrossRef]
- Klima, M.; Burns, T.R.; Chopra, A. Myocardial fibrosis in the elderly. Arch. Pathol. Lab. Med. 1990, 114, 938–942. [Google Scholar]
- Burns, T.R.; Klima, M.; Teasdale, T.A.; Kasper, K. Morphometry of the aging heart. Mod. Pathol. 1990, 3, 336–342. [Google Scholar]
- Kuro-o, M.; Matsumura, Y.; Aizawa, H.; Kawaguchi, H.; Suga, T.; Utsugi, T.; Ohyama, Y.; Kurabayashi, M.; Kaname, T.; Kume, E.; et al. Mutation of the mouse klotho gene leads to a syndrome resembling ageing. Nature 1997, 390, 45–51. [Google Scholar] [CrossRef]
- Xu, Y.; Sun, Z. Molecular basis of Klotho: From gene to function in aging. Endocr. Rev. 2015, 36, 174–193. [Google Scholar] [CrossRef] [PubMed]
- Navarro-García, J.A.; Salguero-Bodes, R.; González-Lafuente, L.; Martín-Nunes, L.; Rodríguez-Sánchez, E.; Bada-Bosch, T.; Hernández, E.; Mérida-Herrero, E.; Praga, M.; Solís, J.; et al. The anti-aging factor Klotho protects against acquired long QT syndrome induced by uremia and promoted by fibroblast growth factor 23. BMC Med. 2022, 20, 14. [Google Scholar] [CrossRef] [PubMed]
- Lighthouse, J.K.; Small, E.M. Transcriptional control of cardiac fibroblast plasticity. J. Mol. Cell. Cardiol. 2016, 91, 52–60. [Google Scholar] [CrossRef]
- Eder, P.; Molkentin, J.D. TRPC channels as effectors of cardiac hypertrophy. Circ. Res. 2011, 108, 265–272. [Google Scholar] [CrossRef]
- Wen, H.; Gwathmey, J.K.; Xie, L.-H. Role of Transient Receptor Potential Canonical Channels in Heart Physiology and Pathophysiology. Front. Cardiovasc. Med. 2020, 7, 24. [Google Scholar] [CrossRef] [PubMed]
- Macianskiene, R.; Martisiene, I.; Zablockaite, D.; Gendviliene, V. Characterization of Mg2+-regulated TRPM7-like current in human atrial myocytes. J. Biomed. Sci. 2012, 19, 75. [Google Scholar] [CrossRef]
- Guinamard, R.; Bois, P. Involvement of transient receptor potential proteins in cardiac hypertrophy. Biochim. Biophys. Acta 2007, 1772, 885–894. [Google Scholar] [CrossRef] [PubMed]
- Nattel, S. Molecular and Cellular Mechanisms of Atrial Fibrosis in Atrial Fibrillation. JACC Clin. Electrophysiol. 2017, 3, 425–435. [Google Scholar] [CrossRef] [PubMed]
- Shields, H.J.; Traa, A.; Van Raamsdonk, J.M. Beneficial and Detrimental Effects of Reactive Oxygen Species on Lifespan: A Comprehensive Review of Comparative and Experimental Studies. Front. Cell Dev. Biol. 2021, 9, 628157. [Google Scholar] [CrossRef] [PubMed]
- Choi, S.H.; Jurgens, S.J.; Haggerty, C.M.; Hall, A.W.; Halford, J.L.; Morrill, V.N.; Weng, L.-C.; Lagerman, B.; Mirshahi, T.; Pettinger, M.; et al. Rare Coding Variants Associated With Electrocardiographic Intervals Identify Monogenic Arrhythmia Susceptibility Genes: A Multi-Ancestry Analysis. Circ. Genom. Precis. Med. 2021, 14, e003300. [Google Scholar] [CrossRef]
- Rabkin, S.W.; Wong, C.N. Epigenetics in Heart Failure: Role of DNA Methylation in Potential Pathways Leading to Heart Failure with Preserved Ejection Fraction. Biomedicines 2023, 11, 2815. [Google Scholar] [CrossRef]
- Wang, K.; Liu, H.; Hu, Q.; Wang, L.; Liu, J.; Zheng, Z.; Zhang, W.; Ren, J.; Zhu, F.; Liu, G.-H. Epigenetic regulation of aging: Implications for interventions of aging and diseases. Signal Transduct. Target. Ther. 2022, 7, 374. [Google Scholar] [CrossRef]
- Souders, C.A.; Bowers, S.L.K.; Baudino, T.A. Cardiac fibroblast: The renaissance cell. Circ. Res. 2009, 105, 1164–1176. [Google Scholar] [CrossRef]
- Schaap, L.A.; Pluijm, S.M.F.; Deeg, D.J.H.; Harris, T.B.; Kritchevsky, S.B.; Newman, A.B.; Colbert, L.H.; Pahor, M.; Rubin, S.M.; Tylavsky, F.A.; et al. Higher inflammatory marker levels in older persons: Associations with 5-year change in muscle mass and muscle strength. J. Gerontol. A Biol. Sci. Med. Sci. 2009, 64, 1183–1189. [Google Scholar] [CrossRef]
- Capasso, J.M.; Malhotra, A.; Remily, R.M.; Scheuer, J.; Sonnenblick, E.H. Effects of age on mechanical and electrical performance of rat myocardium. Am. J. Physiol. 1983, 245, H72–H81. [Google Scholar] [CrossRef]
- Bao, L.; Taskin, E.; Foster, M.; Ray, B.; Rosario, R.; Ananthakrishnan, R.; Howlett, S.E.; Schmidt, A.M.; Ramasamy, R.; Coetzee, W.A. Alterations in ventricular K(ATP) channel properties during aging. Aging Cell 2013, 12, 167–176. [Google Scholar] [CrossRef]
- Haq, K.T.; Cooper, B.L.; Berk, F.; Roberts, A.; Swift, L.M.; Posnack, N.G. Demographic and Methodological Heterogeneity in Electrocardiogram Signals From Guinea Pigs. Front. Physiol. 2022, 13, 925042. [Google Scholar] [CrossRef]
- Song, Y.; Belardinelli, L. Enhanced basal late sodium current appears to underlie the age-related prolongation of action potential duration in guinea pig ventricular myocytes. J. Appl. Physiol. 2018, 125, 1329–1338. [Google Scholar] [CrossRef]
- Haq, K.T.; Cooper, B.L.; Berk, F.; Posnack, N.G. The effect of sex and age on ex vivo cardiac electrophysiology: Insight from a guinea pig model. Am. J. Physiol. Heart Circ. Physiol. 2023, 324, H141–H154. [Google Scholar] [CrossRef] [PubMed]
- Lazzarini, E.; Lodrini, A.M.; Arici, M.; Bolis, S.; Vagni, S.; Panella, S.; Rendon-Angel, A.; Saibene, M.; Metallo, A.; Torre, T.; et al. Stress-induced premature senescence is associated with a prolonged QT interval and recapitulates features of cardiac aging. Theranostics 2022, 12, 5237–5257. [Google Scholar] [CrossRef]
- Zaza, A.; Belardinelli, L.; Shryock, J.C. Pathophysiology and pharmacology of the cardiac “late sodium current”. Pharmacol. Ther. 2008, 119, 326–339. [Google Scholar] [CrossRef] [PubMed]
- Rocchetti, M.; Sala, L.; Rizzetto, R.; Staszewsky, L.I.; Alemanni, M.; Zambelli, V.; Russo, I.; Barile, L.; Cornaghi, L.; Altomare, C.; et al. Ranolazine prevents INaL enhancement and blunts myocardial remodelling in a model of pulmonary hypertension. Cardiovasc. Res. 2014, 104, 37–48. [Google Scholar] [CrossRef]
- Ward, C.A.; Giles, W.R. Ionic mechanism of the effects of hydrogen peroxide in rat ventricular myocytes. J. Physiol. 1997, 500, 631–642. [Google Scholar] [CrossRef]
- Song, Y.; Shryock, J.C.; Wagner, S.; Maier, L.S.; Belardinelli, L. Blocking late sodium current reduces hydrogen peroxide-induced arrhythmogenic activity and contractile dysfunction. J. Pharmacol. Exp. Ther. 2006, 318, 214–222. [Google Scholar] [CrossRef] [PubMed]
- Banga, S.; Mishra, M.; Heinze-Milne, S.D.; Jansen, H.J.; Rose, R.A.; Howlett, S.E. Chronic testosterone deficiency increases late inward sodium current and promotes triggered activity in ventricular myocytes from aging male mice. Am. J. Physiol. Heart Circ. Physiol. 2023, 325, H264–H277. [Google Scholar] [CrossRef]
- Walker, K.E.; Lakatta, E.G.; Houser, S.R. Age associated changes in membrane currents in rat ventricular myocytes. Cardiovasc. Res. 1993, 27, 1968–1977. [Google Scholar] [CrossRef]
- Watanabe, Y.; Matsumoto, A.; Miki, T.; Seino, S.; Anzai, N.; Nakaya, H. Electrophysiological analyses of transgenic mice overexpressing KCNJ8 with S422L mutation in cardiomyocytes. J. Pharmacol. Sci. 2017, 135, 37–43. [Google Scholar] [CrossRef] [PubMed]
- Watanabe, Y.; Kishimoto, T.; Miki, T.; Seino, S.; Nakaya, H.; Matsumoto, A. Ectopic overexpression of Kir6.1 in the mouse heart impacts on the life expectancy. Sci. Rep. 2018, 8, 11723. [Google Scholar] [CrossRef]
- Rabkin, S.W. Criteria for short QT interval based on a new QT-heart rate adjustment formula. J. Arrhythmia 2017, 33, 525–527. [Google Scholar] [CrossRef] [PubMed]
- Rossi, M.; Marzi, F.; Natale, M.; Porceddu, A.; Tuccori, M.; Lazzerini, P.E.; Laghi-Pasini, F.; Capecchi, P.L. Drug-Associated QTc Prolongation in Geriatric Hospitalized Patients: A Cross-Sectional Study in Internal Medicine. Drugs-Real World Outcomes 2021, 8, 325–335. [Google Scholar] [CrossRef]
- Tanveer, H.; Ashfaq, M.; Sharif, M.J.H.; Iqbal, M.M.; Iqbal, A.; Khan, Q.; Haroon, M.Z.; Bashatah, A.; Syed, W.; Alqahtani, N. Prevalence of the QT interval prolongation and its risk factors in hospitalized geriatric patients: Findings of a single center cross-sectional study in Pakistan. BMC Geriatr. 2025, 25, 705. [Google Scholar] [CrossRef]
- Sauer, A.J.; Moss, A.J.; McNitt, S.; Peterson, D.R.; Zareba, W.; Robinson, J.L.; Qi, M.; Goldenberg, I.; Hobbs, J.B.; Ackerman, M.J.; et al. Long QT syndrome in adults. J. Am. Coll. Cardiol. 2007, 49, 329–337. [Google Scholar] [CrossRef]
- Al-Khatib, S.M.; LaPointe, N.M.A.; Kramer, J.M.; Califf, R.M. What Clinicians Should Know About the QT Interval. JAMA 2003, 289, 2120–2127. [Google Scholar] [CrossRef]
- Drew, B.J.; Ackerman, M.J.; Funk, M.; Gibler, W.B.; Kligfield, P.; Menon, V.; Philippides, G.J.; Roden, D.M.; Zareba, W. Prevention of torsade de pointes in hospital settings: A scientific statement from the American Heart Association and the American College of Cardiology Foundation. J. Am. Coll. Cardiol. 2010, 55, 934–947. [Google Scholar] [CrossRef]
- Horváth, B.; Hézső, T.; Kiss, D.; Kistamás, K.; Magyar, J.; Nánási, P.P.; Bányász, T. Late Sodium Current Inhibitors as Potential Antiarrhythmic Agents. Front. Pharmacol. 2020, 11, 413. [Google Scholar] [CrossRef] [PubMed]



Disclaimer/Publisher’s Note: The statements, opinions and data contained in all publications are solely those of the individual author(s) and contributor(s) and not of MDPI and/or the editor(s). MDPI and/or the editor(s) disclaim responsibility for any injury to people or property resulting from any ideas, methods, instructions or products referred to in the content. |
© 2026 by the author. Licensee MDPI, Basel, Switzerland. This article is an open access article distributed under the terms and conditions of the Creative Commons Attribution (CC BY) license.
Share and Cite
Rabkin, S.W. Aging-Induced QT Prolongation as a Potential Contributor to Longevity. J. Cardiovasc. Dev. Dis. 2026, 13, 86. https://doi.org/10.3390/jcdd13020086
Rabkin SW. Aging-Induced QT Prolongation as a Potential Contributor to Longevity. Journal of Cardiovascular Development and Disease. 2026; 13(2):86. https://doi.org/10.3390/jcdd13020086
Chicago/Turabian StyleRabkin, Simon W. 2026. "Aging-Induced QT Prolongation as a Potential Contributor to Longevity" Journal of Cardiovascular Development and Disease 13, no. 2: 86. https://doi.org/10.3390/jcdd13020086
APA StyleRabkin, S. W. (2026). Aging-Induced QT Prolongation as a Potential Contributor to Longevity. Journal of Cardiovascular Development and Disease, 13(2), 86. https://doi.org/10.3390/jcdd13020086
