The Equine Dental Pulp: Analysis of the Stratigraphic Arrangement of the Equine Dental Pulp in Incisors and Cheek Teeth
Abstract
Simple Summary
Abstract
1. Introduction
2. Materials and Methods
2.1. Sampling
2.2. Gross Anatomical Examination and Sectioning
2.3. Staining and Immunohistochemistry
2.4. Histological Evaluations
2.5. Statistical Analysis
3. Results
3.1. Blood Vessels
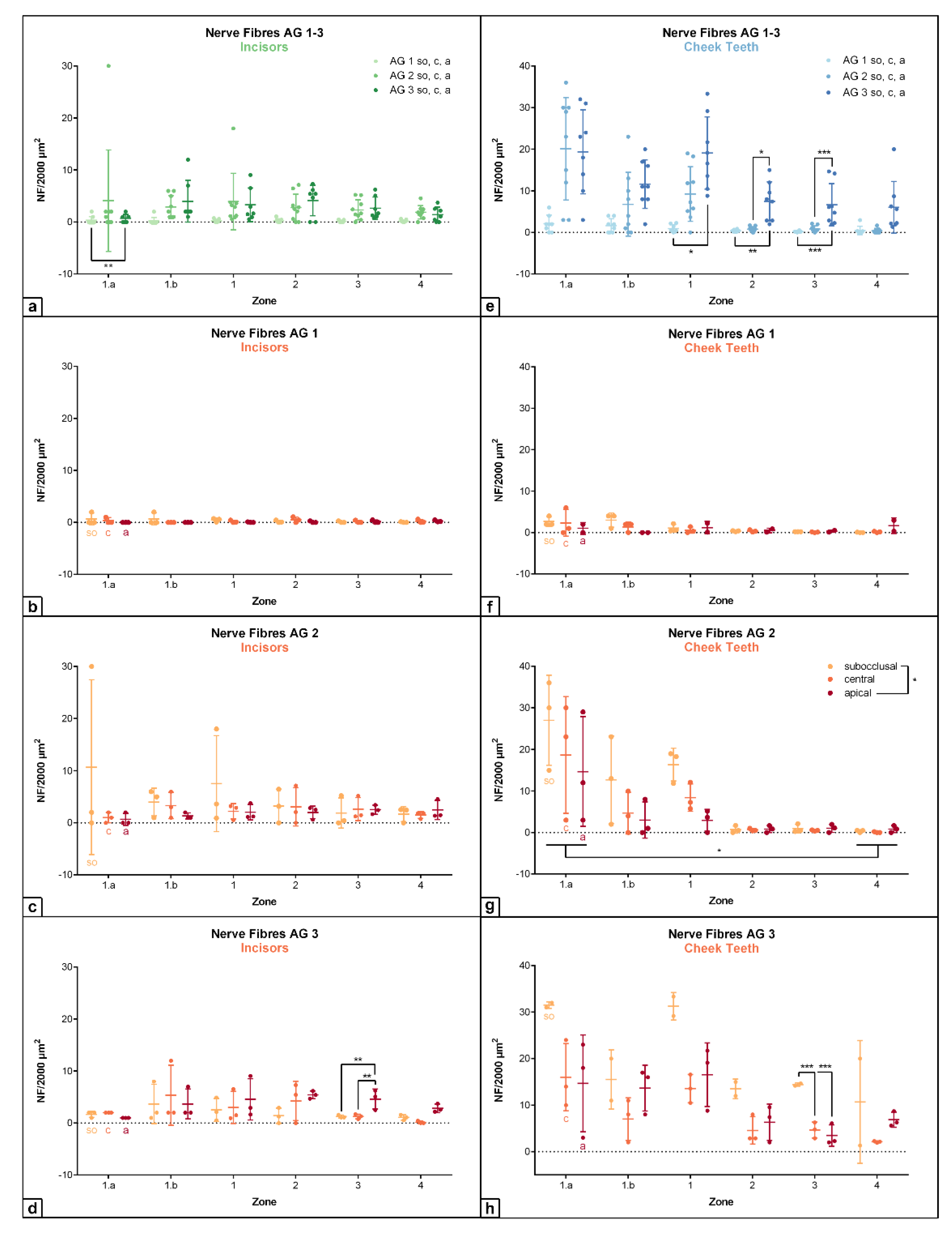
3.2. Nerve Fibers
3.3. Fibroblastic Cells
4. Discussion
4.1. Blood Vessels
4.2. Nerve Fibers
4.3. Fibroblastic Cell Nuclei
5. Conclusions
6. Limitations
Supplementary Materials
Author Contributions
Funding
Institutional Review Board Statement
Informed Consent Statement
Data Availability Statement
Acknowledgments
Conflicts of Interest
References
- Dixon, P.M. The Gross, Histological, and Ultrastructural Anatomy of Equine Teeth and Their Relationship to Disease. In Proceedings of the Annual Convention of the AAEP, Orlando, FL, USA, 4–8 December 2002; pp. 421–437. [Google Scholar]
- Dacre, I.T.; Kempson, S.; Dixon, P.M. Pathological studies of cheek teeth apical infections in the horse: 1. Normal endodontic anatomy and dentinal structure of equine cheek teeth. Vet. J. 2008, 178, 311–320. [Google Scholar] [CrossRef] [PubMed]
- Kilic, S.; Dixon, P.M.; Kempson, S. A light microscopic and ultrastructural examination of calcified dental tissues of horses: 3. Dentine. Equine Vet. J. 1997, 29, 206–212. [Google Scholar] [CrossRef] [PubMed]
- Muylle, S.; Simoens, P.; Lauwers, H. Dentinal Structure of equine incisiors: A Light and Scanning Electron-Microscopic Study. Cells Tissues Organs 2000, 167, 273–284. [Google Scholar] [CrossRef] [PubMed]
- Lowder, M.Q.; Mueller, P.E. Dental Embryology, Anatomy, Development, and Aging. Vet. Clin. North Am. Equine Pract. 1998, 14, 227–245. [Google Scholar] [CrossRef]
- Liebich, H.-G. Funktionelle Histologie der Haussäugetiere und Vögel: Lehrbuch und Farbatlas für Studium und Praxis, 5. Aufl.; Schattauer: Stuttgart, Germany, 2010; ISBN 9783794526925. [Google Scholar]
- Dixon, P.M. Zahnanatomie. In Zahnheilkunde in der Pferdepraxis, 2nd ed.; Baker, G.J., Easley, J., Eds.; Schlütersche: Hannover, Germany, 2007; pp. 27–52. ISBN 3437577409. [Google Scholar]
- Fox, A.G.; Heeley, J.D. Histological study of pulps of human primary teeth. Arch. Oral Biol. 1980, 25, 103–110. [Google Scholar] [CrossRef]
- Frank, R.M.; Nalbandian, J. Structure and Ultrastructure of the Dental Pulp. In Teeth; Berkovitz, B.K.B., Boyde, A., Frank, R.M., Höhling, H.J., Moxham, B.J., Nalbandian, J., Tonge, C.H., Eds.; Springer: Berlin/Heidelberg, Germany, 1989; pp. 249–307. ISBN 978-3-642-83498-1. [Google Scholar]
- Schroeder, H.E. Orale Strukturbiologie: Entwicklungsgeschichte, Struktur und Funktion Normaler Hart- und Weichgewebe der Mundhöhle und des Kiefergelenks, 5th ed.; Thieme: Stuttgart, Germany, 2000; ISBN 9783135409054. [Google Scholar]
- Kubota, K.; Kubota, J. On The Formatian of the so called cell rich zone in the human dental pulp: Innervation of the tooth No. 5. Okajimas Folia Anat. Jpn. 1961, 37, 29–47. [Google Scholar] [CrossRef]
- Gotjamanos, T. Cellular organization in the subodontoblastic zone of the dental pulp-I: A study of cell-free and cell-rich layers in pulps of adult rat and deciduous monkey teeth. Arch. Oral Biol. 1969, 14, 1007–1010. [Google Scholar] [CrossRef]
- Nanci, A. Ten Cate’s Oral Histology: Development, Structure, and Function, 8th ed.; Elsevier Mosby: St. Louis, MI, USA, 2014; ISBN 9780323242073. [Google Scholar]
- Gotjamanos, T. Cellular organization in the subodontoblastic zone of the dental pulp—II: Period and mode of development of the cell-rich layer in rat molar pulps. Arch. Oral Biol. 1969, 14, 1011–1019. [Google Scholar] [CrossRef]
- Goldberg, M. Pulp Anatomy and Characterization of Pulp Cells. In The Dental Pulp: Biology, Pathology, and Regenerative Therapies; Goldberg, M., Ed.; Springer: Berlin/Heidelberg, Germany, 2014; pp. 13–33. ISBN 978-3-642-55159-8. [Google Scholar]
- Berkovitz, B.K.B.; Holland, G.R.; Moxham, B.J. Oral Anatomy, Histology and Embryology, 5th ed.; Elsevier: Amsterdam, The Netherlands, 2018; ISBN 0723438129. [Google Scholar]
- Maeda, H. Aging and Senescence of Dental Pulp and Hard Tissues of the Tooth. Front. Cell Dev. Biol. 2020, 8, 605996. [Google Scholar] [CrossRef]
- Pischinger, A.; Stockinger, L. Die Nerven der menschlichen Zahnpulpa. Z. Zellforsch. 1968, 89, 44–61. [Google Scholar] [CrossRef]
- Bernick, S. Innervation of teeth and periodontium after enzymatic removal of collagenous elements. Oral Surg. Oral Med. Oral Pathol. 1957, 10, 323–332. [Google Scholar] [CrossRef]
- Tomaszewska, J.M.; Miskowiak, B.; Matthews-Brzozowska, T.; Wierzbicki, P. Characteristics of dental pulp in human upper first premolar teeth based on immunohistochemical and morphometric examinations. Folia Histochem. Cytobiol. 2013, 51, 149–155. [Google Scholar] [CrossRef] [PubMed]
- Yoshida, S.; Ohshima, H. Distribution and organization of peripheral capillaries in dental pulp and their relationship to odontoblasts. Anat. Rec. 1996, 245, 313–326. [Google Scholar] [CrossRef]
- Bernick, S. Vascular supply to the developing teeth of rats. Anat. Rec. 1960, 137, 141–151. [Google Scholar] [CrossRef] [PubMed]
- Kleinert, A.; Kleinert, L.; Ozimirska, M.; Chałas, R. Endodontium—Together or separately? Folia Morphol. 2018, 77, 409–415. [Google Scholar] [CrossRef] [PubMed]
- Nweeia, M.T.; Eichmiller, F.C.; Hauschka, P.V.; Donahue, G.A.; Orr, J.R.; Ferguson, S.H.; Watt, C.A.; Mear, J.G.; Potter, C.W.; Dietz, R.; et al. Sensory ability in the narwhal tooth organ system. Anat. Rec. 2014, 297, 599–617. [Google Scholar] [CrossRef] [PubMed]
- Floyd, M.R. The modified Triadan system: Nomenclature for veterinary dentistry. J. Vet. Dent. 1991, 8, 18–19. [Google Scholar] [CrossRef]
- Triadan, H. Tierzahnheilkunde: Parodontologie bei Affen und Raubtieren. Schweiz. Arch. Für Tierheilkd. SAT 1973, 8, 401–419. [Google Scholar] [CrossRef]
- Roßgardt, J.; Heilen, L.B.; Büttner, K.; Dern-Wieloch, J.; Vogelsberg, J.; Staszyk, C. The Equine Dental Pulp: Histomorphometric Analysis of the Equine Dental Pulp in Incisors and Cheek Teeth. Vet. Sci. 2022, 9, 261. [Google Scholar] [CrossRef]
- Baker, A.; Karpagaselvi, K.; Kumaraswamy, J.; Ranjini, M.R.; Gowher, J. Role of dental pulp in age estimation: A quantitative and morphometric study. J. Forensic Dent. Sci. 2019, 11, 95–102. [Google Scholar] [CrossRef]
- Burke, F.M.; Samarawickrama, D.Y. Progressive changes in the pulpo-dentinal complex and their clinical consequences. Gerodontology 1995, 12, 57–66. [Google Scholar] [CrossRef] [PubMed]
- Rodd, H.D.; Boissonade, F.M. Vascular status in human primary and permanent teeth in health and disease. Eur. J. Oral Sci. 2005, 113, 128–134. [Google Scholar] [CrossRef] [PubMed]
- Adams, D. Peripheral capillaries in the rodent incisor pulp. J. Dent. Res. 1959, 38, 969–978. [Google Scholar] [CrossRef] [PubMed]
- Dahl, E.; Majör, I.A. The fine structure of the vessels in the human dental pulp. Acta Odontol. Scand. 1973, 31, 223–230. [Google Scholar] [CrossRef] [PubMed]
- Köling, A.; Rask-Andersen, H. The blood capillaries in the subodontoblastic region of the human dental pulp, as demonstrated by freeze-fracturing. Acta Odontol. Scand. 1983, 41, 333–341. [Google Scholar] [CrossRef]
- Lyroudia, K.; Koçkapan, C.; Pantke, H. Rasterelektronenmikroskopische Untersuchungen der Gefässwände menschlicher Pulpen. Zahnarztl. Prax. 1989, 40, 290–292. [Google Scholar] [PubMed]
- França, C.M.; Riggers, R.; Muschler, J.L.; Widbiller, M.; Lococo, P.M.; Diogenes, A.; Bertassoni, L.E. 3D-Imaging of Whole Neuronal and Vascular Networks of the Human Dental Pulp via CLARITY and Light Sheet Microscopy. Sci. Rep. 2019, 9, 10860. [Google Scholar] [CrossRef] [PubMed]
- Mjör, I.A.; Sveen, O.B.; Heyeraas, K.J. Pulp-dentin biology in restorative dentistry. Part 1: Normal structure and physiology. In Pulp-Dentin Biology in Restorative Dentistry; Mjör, I.A., Ed.; Quintessence Publ: Chicago, IL, USA; Berlin, Germany, 2002; pp. 427–446. ISBN 0867154128. [Google Scholar]
- Provenza, D.V. The Blood Vascular Supply of the Dental Pulp with Emphasis on Capillary Circulation. Circ. Res. 1958, undefined. [Google Scholar] [CrossRef]
- Corpron, R.E.; Avery, J.K. The ultrastructure of intradental nerves in developing mouse molars. Anat. Rec. 1973, 175, 585–606. [Google Scholar] [CrossRef]
- Rodd, H.D.; Boissonade, F.M. Innervation of human tooth pulp in relation to caries and dentition type. J. Dent. Res. 2001, 80, 389–393. [Google Scholar] [CrossRef]
- Ibuki, T.; Kido, M.A.; Kiyoshima, T.; Terada, Y.; Tanaka, T. An ultrastructural study of the relationship between sensory trigeminal nerves and odontoblasts in rat dentin/pulp as demonstrated by the anterograde transport of wheat germ agglutinin-horseradish peroxidase (WGA-HRP). J. Dent. Res. 1996, 75, 1963–1970. [Google Scholar] [CrossRef] [PubMed]
- Fried, K.; Gibbs, J.L. Dental Pulp Innervation. In The Dental Pulp: Biology, Pathology, and Regenerative Therapies; Goldberg, M., Ed.; Springer: Berlin/Heidelberg, Germany, 2014; ISBN 978-3-642-55159-8. [Google Scholar]
- Vandevska-Radunovic, V.; Kvinnsland, S.; Kvinnsland, I.H. Effect of experimental tooth movement on nerve fibres immunoreactive to calcitonin gene-related peptide, protein gene product 9.5, and blood vessel density and distribution in rats. Eur. J. Orthod. 1997, 19, 517–529. [Google Scholar] [CrossRef] [PubMed]
- Monteiro, J.; Day, P.; Duggal, M.; Morgan, C.; Rodd, H. Pulpal status of human primary teeth with physiological root resorption. Int. J. Paediatr. Dent. 2009, 19, 16–25. [Google Scholar] [CrossRef] [PubMed]
- Bernick, S. Effect of aging on the nerve supply to human teeth. J. Dent. Res. 1967, 46, 694–699. [Google Scholar] [CrossRef]
- Carvalho, T.S.; Lussi, A. Age-related morphological, histological and functional changes in teeth. J. Oral Rehabil. 2017, 44, 291–298. [Google Scholar] [CrossRef]
- Staszyk, C.; Suske, A.; Pöschke, A. Equine dental and periodontal anatomy: A tutorial review. Equine Vet-Educ. 2015, 27, 474–481. [Google Scholar] [CrossRef]
- Daud, S.; Nambiar, P.; Hossain, M.Z.; Rahman, M.R.A.; Bakri, M.M. Changes in cell density and morphology of selected cells of the ageing human dental pulp. Gerodontology 2016, 33, 315–321. [Google Scholar] [CrossRef]
- Hossain, M.Z.; Daud, S.; Nambiar, P.; Razak, F.A.; Ab-Murat, N.; Saub, R.; Bakri, M.M. Correlation between numbers of cells in human dental pulp and age: Implications for age estimation. Arch. Oral Biol. 2017, 80, 51–55. [Google Scholar] [CrossRef]
- Murray, P.E.; Stanley, H.R.; Matthews, J.B.; Sloan, A.J.; Smith, A.J. Age-related odontometric changes of human teeth. Oral Surg. Oral Med. Oral Pathol. Oral Radiol. Endod. 2002, 93, 474–482. [Google Scholar] [CrossRef]
- Kabartai, F.; Hoffman, T.; Hannig, C. Cellular reduction and pulp fibrosis can be related not only to aging process but also to a physiologic static compression. Dent Hypotheses 2017, 8, 42. [Google Scholar] [CrossRef]
- Gasse, H.; Westenberger, E.; Staszyk, C. The endodontic system of equine cheek teeth: A reexamination of pulp horns and root canals in view of age-related physiological differences. Pferdeheilkunde 2004, 20, 13–18. [Google Scholar] [CrossRef][Green Version]








| No. | Sex | Breed | Age (d/y) | Age Group | Tooth | Reason for Euthanasia |
|---|---|---|---|---|---|---|
| 1 | mare | warmblood | 2 d pre-part. | 1 | 801 | abortion |
| 2 | mare | blackforest draft horse | 2 d | 1 | 608, 701 | colic |
| 3 | stallion | warmblood | 5 d | 1 | 608 | septicemia |
| 4 | mare | warmblood | 40 d | 1 | 608, 801 | colic |
| 5 | mare | shetland pony | 210 d | 1 | 608, 801 | colic |
| 6 | mare | pony | 5 y | 2 | 208, 301 | dystocia |
| 7 | gelding | warmblood | 12 y | 2 | 208, 401 | colic |
| 8 | mare | warmblood | 14 y | 2 | 208, 401 | atypical myopathy |
| 9 | mare | Icelandic horse | 19 y | 3 | 208, 301 | colic, septicemia |
| 10 | mare | warmblood | 19 y | 3 | 401 | colic |
| 11 | mare | warmblood | 21 y | 3 | 108, 401 | colic |
| 12 | gelding | pony | 24 y | 3 | 108 | laminitis |
Publisher’s Note: MDPI stays neutral with regard to jurisdictional claims in published maps and institutional affiliations. |
© 2022 by the authors. Licensee MDPI, Basel, Switzerland. This article is an open access article distributed under the terms and conditions of the Creative Commons Attribution (CC BY) license (https://creativecommons.org/licenses/by/4.0/).
Share and Cite
Roßgardt, J.; Heilen, L.B.; Büttner, K.; Dern-Wieloch, J.; Vogelsberg, J.; Staszyk, C. The Equine Dental Pulp: Analysis of the Stratigraphic Arrangement of the Equine Dental Pulp in Incisors and Cheek Teeth. Vet. Sci. 2022, 9, 602. https://doi.org/10.3390/vetsci9110602
Roßgardt J, Heilen LB, Büttner K, Dern-Wieloch J, Vogelsberg J, Staszyk C. The Equine Dental Pulp: Analysis of the Stratigraphic Arrangement of the Equine Dental Pulp in Incisors and Cheek Teeth. Veterinary Sciences. 2022; 9(11):602. https://doi.org/10.3390/vetsci9110602
Chicago/Turabian StyleRoßgardt, Jessica, Laura Beate Heilen, Kathrin Büttner, Jutta Dern-Wieloch, Jörg Vogelsberg, and Carsten Staszyk. 2022. "The Equine Dental Pulp: Analysis of the Stratigraphic Arrangement of the Equine Dental Pulp in Incisors and Cheek Teeth" Veterinary Sciences 9, no. 11: 602. https://doi.org/10.3390/vetsci9110602
APA StyleRoßgardt, J., Heilen, L. B., Büttner, K., Dern-Wieloch, J., Vogelsberg, J., & Staszyk, C. (2022). The Equine Dental Pulp: Analysis of the Stratigraphic Arrangement of the Equine Dental Pulp in Incisors and Cheek Teeth. Veterinary Sciences, 9(11), 602. https://doi.org/10.3390/vetsci9110602
