Heat Stress Modulates Brain Monoamines and Their Metabolites Production in Broiler Chickens Co-Infected with Clostridium perfringens Type A and Eimeria spp.
Abstract
1. Introduction
2. Materials and Methods
2.1. Animals
2.2. Group Formation
2.3. Heat Stress Protocol
2.4. Eimeria spp. Infection Protocol
2.5. Inoculum Preparation and C. perfringens Infection Protocol
2.6. Histopathological Evaluation
2.7. Quantification of Serum Corticosterone
2.8. Collection and Processing of Brain Tissue
2.9. Sample Preparation and Neurotransmitter Quantification
2.10. Statistical Analysis
3. Results
3.1. Histopathological Evaluation
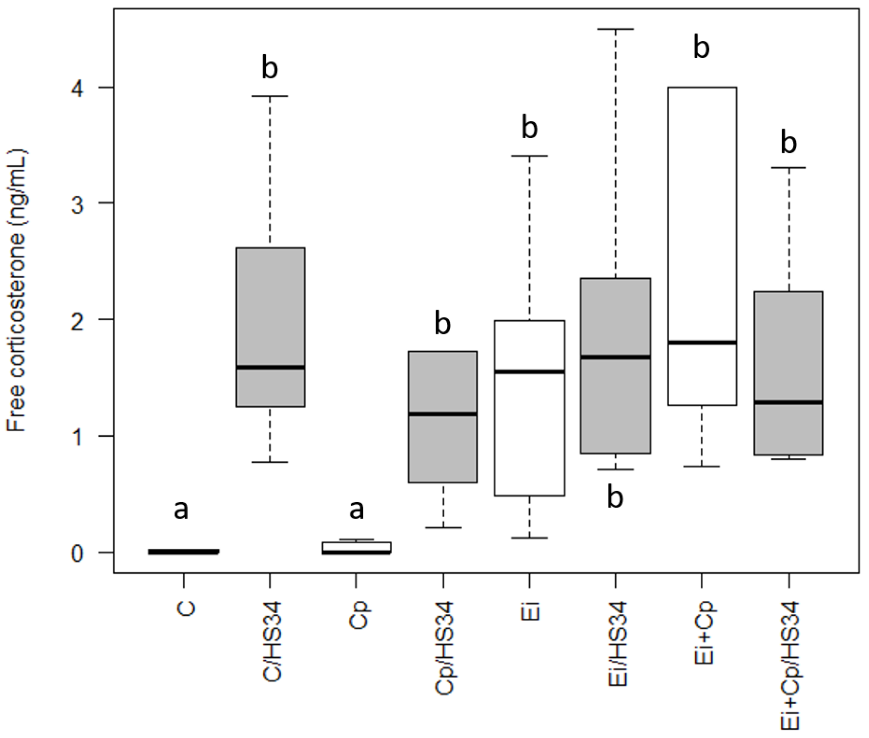
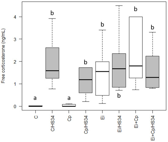
3.2. Quantification of Serum Corticosterone
3.3. Neurotransmitter Quantification in Brain Structures
3.3.1. Rostral Pallium
3.3.2. Hypothalamus
3.3.3. Midbrain
3.3.4. Brainstem
4. Discussion
5. Conclusions
Supplementary Materials
Author Contributions
Funding
Acknowledgments
Conflicts of Interest
Abbreviations
| 5-HIAA | 5-hydroxyindoleacetic acid |
| 5-HT | 5-hydroxytryptamine |
| AD | epinephrine |
| BBB | blood-brain-barrier |
| CNS | central nervous system |
| DA | dopamine |
| DOPAC | 4,4 dihydroxyphenylacetic acid |
| DHBA | 3,4-dihydroxybenzylamine |
| ED | experimental day |
| HVA | homovanillic acid |
| HEPA | high-efficiency particulate air filters |
| HPA | hypothalamus-pituitary-adrenal |
| MHPG | 3-methoxy-4-hydroxyphenylethylene glycol |
| NOR | Noradrenaline |
| POM | medial preoptic nucleus |
| PVN | paraventricular nucleus |
| VMA | vanillylmandelic acid |
References
- Besedovsky, H. Network of immunoendocrine interactions. Clin. Exp. Immunol. 1977, 27, 1–12. [Google Scholar] [PubMed]
- Besedovsky, H.; Sorkin, E.; Felix, D.; Haas, H. Hypothalamic changes during the immune response. Eur. J. Immunol. 1977, 7, 323–325. [Google Scholar] [CrossRef] [PubMed]
- Kabiersch, A.; del Rey, A.; Honegger, C.G.; Besedovsky, H.O. Interleukin-1 induces changes in norepinephrine metabolism in the rat brain. Brain Behav. Immun. 1988, 2, 267–274. [Google Scholar] [CrossRef]
- Dunn, A.J. Effects of cytokines and infections on brain neurochemistry. Clin. Neurosci. Res. 2006, 6, 52–68. [Google Scholar] [CrossRef]
- Turnbull, A.V.; Rivier, C. Regulation of the HPA axis by cytokines. Brain Behav. Immun. 1995, 9, 253–275. [Google Scholar] [CrossRef] [PubMed]
- Larson, S.J.; Dunn, A.J. Behavioral effects of cytokines. Brain Behav. Immun. 2001, 15, 371–387. [Google Scholar] [CrossRef]
- Gregory, N.; Payne, S.; Devine, C.; Cook, C. Effect of lipopolysaccharide on sickness behaviour in hens kept in cage and free range environments. Res. Vet. Sci. 2009, 87, 167–170. [Google Scholar] [CrossRef] [PubMed]
- Schrott, L.M.; Getty, M.E.; Wacnik, P.W.; Sparber, S.B. Open-field and LPS-induced sickness behavior in young chickens: Effects of embryonic cocaine and/or ritanserin. Pharmacol. Biochem. Behav. 1998, 61, 9–17. [Google Scholar] [CrossRef]
- Johnson, R. The concept of sickness behavior: A brief chronological account of four key discoveries. Vet. Immunol. Immunopathol. 2002, 87, 443–450. [Google Scholar] [CrossRef]
- Selye, H. A syndrome produced by diverse nocuous agents. Nature 1936, 138, 32. [Google Scholar] [CrossRef]
- Edens, F.W.; Siegel, H.T. Adrenal responses in high and low ACTH response lines of chickens during acute heat stress. Gen. Comp. Endocrinol. 1975, 25, 64–73. [Google Scholar] [CrossRef]
- Siegel, H. Physiological stress in birds. Bioscience 1980, 30, 529–534. [Google Scholar] [CrossRef]
- Morgan, W.W.; Rudeen, P.K.; Pfeil, K.A. Effect of immobilization stress on serotonin content and turnover in regions of the rat brain. Life Sci. 1975, 17, 143–150. [Google Scholar] [CrossRef]
- Kennett, G.A.; Dickinson, S.L.; Curzon, G. Enhancement of some 5-HT-dependent behavioural responses following repeated immobilization in rats. Brain Res. 1985, 330, 253–263. [Google Scholar] [CrossRef]
- Adell, A.; Garcia-Marquez, C.; Armario, A.; Gelpi, E. Chronic stress increases serotonin and noradrenaline in rat brain and sensitizes their responses to a further acute stress. J. Neurochem. 1988, 50, 1678–1681. [Google Scholar] [CrossRef] [PubMed]
- Calefi, A.S.; da Silva Fonseca, J.G.; Cohn, D.W.H.; Honda, B.T.B.; Costola-de Souza, C.; Tsugiyama, L.E.; Quinteiro-Filho, W.M.; Piantino Ferreira, A.J.; Palermo-Neto, J. The gut-brain axis interactions during heat stress and avian necrotic enteritis. Poultry Sci. 2016, 95, 1005–1014. [Google Scholar] [CrossRef] [PubMed]
- Chappell, P.B.; Smith, M.A.; Kilts, C.D.; Bissette, G.; Ritchie, J.; Anderson, C.; Nemeroff, C.B. Alterations in corticotropin-releasing factor-like immunoreactivity in discrete rat brain regions after acute and chronic stress. J. Neurosci. 1986, 6, 2908–2914. [Google Scholar] [CrossRef]
- Aguilera, G. Regulation of pituitary ACTH secretion during chronic stress. Front. Neuroendocrinol. 1994, 15, 321–350. [Google Scholar] [CrossRef]
- Jovanovic, H.; Perski, A.; Berglund, H.; Savic, I. Chronic stress is linked to 5-HT1A receptor changes and functional disintegration of the limbic networks. Neuroimage 2011, 55, 1178–1188. [Google Scholar] [CrossRef]
- Orosz, S.E.; Bradshaw, G. Avian neuroanatomy revisited: From clinical principles to avian cognition. Vet. Clin. N. Am. Exotic Anim. Pract. 2007, 10, 775–802. [Google Scholar] [CrossRef]
- Calefi, A.S.; Honda, B.T.B.; Costola-de Souza, C.; de Siqueira, A.; Namazu, L.B.; Quinteiro-Filho, W.M.; Fonseca, J.G.d.S.; Aloia, T.P.A.; Piantino-Ferreira, A.J.; Palermo-Neto, J. Effects of long-term heat stress in an experimental model of avian necrotic enteritis. Poultry Sci. 2014, 93, 1344–1353. [Google Scholar] [CrossRef] [PubMed]
- Al-Sheikhly, F.; Al-Saieg, A. Role of coccidia in the occurrence of necrotic enteritis of chickens. Avian Dis. 1980, 24, 324–333. [Google Scholar] [CrossRef] [PubMed]
- Parish, W. Necrotic enteritis in the fowl. II. Examination of the causal Clostridium welchii. J. Comp. Pathol. 1961, 71, 394–404. [Google Scholar] [CrossRef]
- Lee, K.; Lillehoj, H.; Jeong, W.; Jeoung, H.; An, D. Avian necrotic enteritis: Experimental models, host immunity, pathogenesis, risk factors, and vaccine development. Poultry Sci. 2011, 90, 1381–1390. [Google Scholar] [CrossRef] [PubMed]
- Poon, D.C.H.; Ho, Y.S.; Chiu, K.; Chang, R.C.C. Cytokines: How important are they in mediating sickness? Neurosci. Biobehav. Rev. 2013, 37, 1–10. [Google Scholar] [CrossRef] [PubMed]
- Park, S.S.; Lillehoj, H.S.; Allen, P.C.; Park, D.W.; FitzCoy, S.; Bautista, D.A.; Lillehoj, E.P. Immunopathology and cytokine responses in broiler chickens coinfected with Eimeria maxima and Clostridium perfringens with the use of an animal model of necrotic enteritis. Avian Dis. 2008, 52, 14–22. [Google Scholar] [CrossRef] [PubMed]
- Calefi, A.S.; de Siqueira, A.; Namazu, L.B.; Costola-de Souza, C.; Honda, B.B.T.; Ferreira, A.J.P.; Quinteiro-Filho, W.M.; da Silva Fonseca, J.G.; Palermo-Neto, J. Effects of heat stress on the formation of splenic germinal centres and immunoglobulins in broilers infected by Clostridium perfringens type A. Vet. Immunol. Immunopathol. 2016, 171, 38–46. [Google Scholar] [CrossRef] [PubMed]
- Johnson, R.; Curtis, S.; Dantzer, R.; Bahr, J.; Kelley, K. Sickness behavior in birds caused by peripheral or central injection of endotoxin. Physiol. Behav. 1993, 53, 343–348. [Google Scholar] [CrossRef]
- Brebner, K.; Hayley, S.; Zacharko, R.; Merali, Z.; Anisman, H. Synergistic effects of interleukin-1β, interleukin-6, and tumor necrosis factor-α: Central monoamine, corticosterone, and behavioral variations. Neuropsychopharmacology 2000, 22, 566. [Google Scholar] [CrossRef]
- Zalcman, S.; Green-Johnson, J.M.; Murray, L.; Nance, D.M.; Dyck, D.; Anisman, H.; Greenberg, A.H. Cytokine-specific central monoamine alterations induced by interleukin-1, -2 and -6. Brain Res. 1994, 643, 40–49. [Google Scholar] [CrossRef]
- Borsoi, A.; Quinteiro-Filho, W.M.; Calefi, A.S.; Piantino Ferreira, A.J.; Astolfi-Ferreira, C.S.; Florio, J.C.; Palermo-Neto, J. Effects of cold stress and Salmonella Heidelberg infection on bacterial load and immunity of chickens. Avian Pathol. 2015, 44, 490–497. [Google Scholar] [CrossRef]
- Arborelius, L.; Chergui, K.; Murase, S.; Nomikos, G.G.; Höök, B.B.; Chouvet, G.; Hacksell, U.; Svensson, T.H. The 5-HT 1A receptor selective ligands,(R)-8-OH-DPAT and (S)-UH-301, differentially affect the activity of midbrain dopamine neurons. Naunyn-Schmiedeberg’s Arch. Pharmacol. 1993, 347, 353–362. [Google Scholar] [CrossRef]
- Palermo-Neto, J. Dopaminergic systems: Dopamine receptors. Psychiatr. Clin. N. Am. 1997, 20, 705–721. [Google Scholar] [CrossRef]
- Miura, H.; Ozaki, N.; Sawada, M.; Isobe, K.; Ohta, T.; Nagatsu, T. A link between stress and depression: Shifts in the balance between the kynurenine and serotonin pathways of tryptophan metabolism and the etiology and pathophysiology of depression. Stress 2008, 11, 198–209. [Google Scholar] [CrossRef]
- Vandenborne, K.; De Groef, B.; Geelissen, S.M.; Kühn, E.R.; Darras, V.M.; Van der Geyten, S. Corticosterone-induced negative feedback mechanisms within the hypothalamo–pituitary–adrenal axis of the chicken. J. Endocrinol. 2005, 185, 383–391. [Google Scholar] [CrossRef] [PubMed]
- Dunn, A.J.; File, S.E. Cold restraint alters dopamine metabolism in frontal cortex, nucleus accumbens and neostriatum. Physiol. Behav. 1983, 31, 511–513. [Google Scholar] [CrossRef]
- Finlay, J.; Zigmond, M.; Abercrombie, E. Increased dopamine and norepinephrine release in medial prefrontal cortex induced by acute and chronic stress: Effects of diazepam. Neuroscience 1995, 64, 619–628. [Google Scholar] [CrossRef]
- Sheridan, J. The HPA axis, SNS, and immunity: A commentary. Brain Behav. Immun. 2003, 1, S17. [Google Scholar] [CrossRef]
- Kuenzel, W.J. Central neuroanatomical systems involved in the regulation of food intake in birds and mammals. J. Nutr. 1994, 124, 1355S–1370S. [Google Scholar] [CrossRef]
- Kelley, K.W.; Bluthé, R.M.; Dantzer, R.; Zhou, J.H.; Shen, W.H.; Johnson, R.W.; Broussard, S.R. Cytokine-induced sickness behavior. Brain Behav. Immun. 2003, 17, 112–118. [Google Scholar] [CrossRef]
- Miller, A.H. Cytokines and sickness behavior: Implications for cancer care and control. Brain Behav. Immun. 2003, 1, 132–134. [Google Scholar] [CrossRef]
- Dantzer, R.; O’Connor, J.C.; Freund, G.G.; Johnson, R.W.; Kelley, K.W. From inflammation to sickness and depression: When the immune system subjugates the brain. Nat. Rev. Neurosci. 2008, 9, 46. [Google Scholar] [CrossRef] [PubMed]






© 2019 by the authors. Licensee MDPI, Basel, Switzerland. This article is an open access article distributed under the terms and conditions of the Creative Commons Attribution (CC BY) license (http://creativecommons.org/licenses/by/4.0/).
Share and Cite
Calefi, A.S.; Fonseca, J.G.d.S.; Nunes, C.A.d.Q.; Lima, A.P.N.; Quinteiro-Filho, W.M.; Flório, J.C.; Zager, A.; Ferreira, A.J.P.; Palermo-Neto, J. Heat Stress Modulates Brain Monoamines and Their Metabolites Production in Broiler Chickens Co-Infected with Clostridium perfringens Type A and Eimeria spp. Vet. Sci. 2019, 6, 4. https://doi.org/10.3390/vetsci6010004
Calefi AS, Fonseca JGdS, Nunes CAdQ, Lima APN, Quinteiro-Filho WM, Flório JC, Zager A, Ferreira AJP, Palermo-Neto J. Heat Stress Modulates Brain Monoamines and Their Metabolites Production in Broiler Chickens Co-Infected with Clostridium perfringens Type A and Eimeria spp. Veterinary Sciences. 2019; 6(1):4. https://doi.org/10.3390/vetsci6010004
Chicago/Turabian StyleCalefi, Atilio Sersun, Juliana Garcia da Silva Fonseca, Catarina Augusta de Queiroz Nunes, Ana Paula Nascimento Lima, Wanderley Moreno Quinteiro-Filho, Jorge Camilo Flório, Adriano Zager, Antonio José Piantino Ferreira, and João Palermo-Neto. 2019. "Heat Stress Modulates Brain Monoamines and Their Metabolites Production in Broiler Chickens Co-Infected with Clostridium perfringens Type A and Eimeria spp." Veterinary Sciences 6, no. 1: 4. https://doi.org/10.3390/vetsci6010004
APA StyleCalefi, A. S., Fonseca, J. G. d. S., Nunes, C. A. d. Q., Lima, A. P. N., Quinteiro-Filho, W. M., Flório, J. C., Zager, A., Ferreira, A. J. P., & Palermo-Neto, J. (2019). Heat Stress Modulates Brain Monoamines and Their Metabolites Production in Broiler Chickens Co-Infected with Clostridium perfringens Type A and Eimeria spp. Veterinary Sciences, 6(1), 4. https://doi.org/10.3390/vetsci6010004

