The Dry Secretion Metabolome: LC-MS Profiling Distinguishes Subclinical Mastitis from Healthy Udder Quarters Across the Dry Period in Dairy Cows
Simple Summary
Abstract
1. Introduction
2. Materials and Methods
2.1. Animals, Experimental Design, and Sample Collection
2.2. Subclinical Mastitis Classification and Study Groups
2.3. Metabolite Extraction and Chemical Isotope Labeling
2.4. LC–MS Analysis
2.5. Metabolite Identification and Data Preprocessing
2.5.1. Peak Detection, Alignment, and Quantification
2.5.2. Metabolite Identification
2.5.3. Data Filtering and Quality Assessment
2.5.4. Data Preprocessing for Statistical Analysis
2.6. Statistical Analysis
2.6.1. Multivariate Analyses
2.6.2. Variable Importance in Projection (VIP)
2.6.3. ROC Curve Analysis
2.6.4. Univariate Statistical Analysis
2.6.5. Correlation Network Analysis
2.6.6. Hierarchical Cluster Analysis
2.6.7. Pathway Enrichment Analysis
2.6.8. Software and Reproducibility
| Comparison | R2Y | Q2 | Accuracy | AUC | p (R2) | p (Q2) | PERMANOVA (PCA) | PERMANOVA (PLS-DA) |
|---|---|---|---|---|---|---|---|---|
| SCM-D2 vs. H-D2 | 0.924 | 0.697 | 100% | 1.00 | <0.005 | <0.005 | F = 4.74, p = 0.001 | F = 27.1, p = 0.001 |
| SCM-D21 vs. H-D21 | 0.902 | 0.361 | 80% | 0.87 | 0.015 | 0.010 | F = 1.57, p = 0.084 | F = 20.1, p = 0.001 |
| SCM-D2 vs. SCM-D21 | 0.987 | 0.920 | 100% | 1.00 | <0.005 | <0.005 | F = 10.6, p = 0.001 | F = 88.2, p = 0.001 |
| H-D2 vs. H-D21 | 0.991 | 0.972 | 100% | 1.00 | <0.005 | <0.005 | F = 12.3, p = 0.001 | F = 70.4, p = 0.001 |
| 4-group (overall) | 0.734 | 0.527 | 80% | — | <0.005 | — | F = 9.16, p = 0.001 | F = 67.2, p = 0.001 |
3. Results
3.1. Overall Metabolome Overview
| Comparison | Total Sig. | Direction (↑/↓) | Survive FDR | FDR Survival | VIP > 1 | VIP > 2 | % of 474 |
|---|---|---|---|---|---|---|---|
| SCM-D2 vs. H-D2 | 186 | 120 ↑/66 ↓ | 133 | 71.5% | 228 | 0 | 39.2% |
| SCM-D21 vs. H-D21 | 36 | 26 ↑/10 ↓ | 1 | 2.8% | 177 | 4 | 7.6% |
| SCM-D2 vs. SCM-D21 | 316 | 207 ↑/109 ↓ | 293 | 92.7% | 246 | 0 | 66.7% |
| H-D2 vs. H-D21 | 316 | 224 ↑/92 ↓ | 311 | 98.4% | 246 | 0 | 66.7% |
3.2. Health Status-Associated Metabolite Alterations
3.2.1. Early Dry Period (SCM-D2 vs. H-D2)
3.2.2. Later Dry Period (SCM-D21 vs. H-D21)
3.2.3. Cross-Comparison: Convergence of SCM and H Metabolomes over Time
3.3. Temporal Metabolite Alterations During the Dry Period
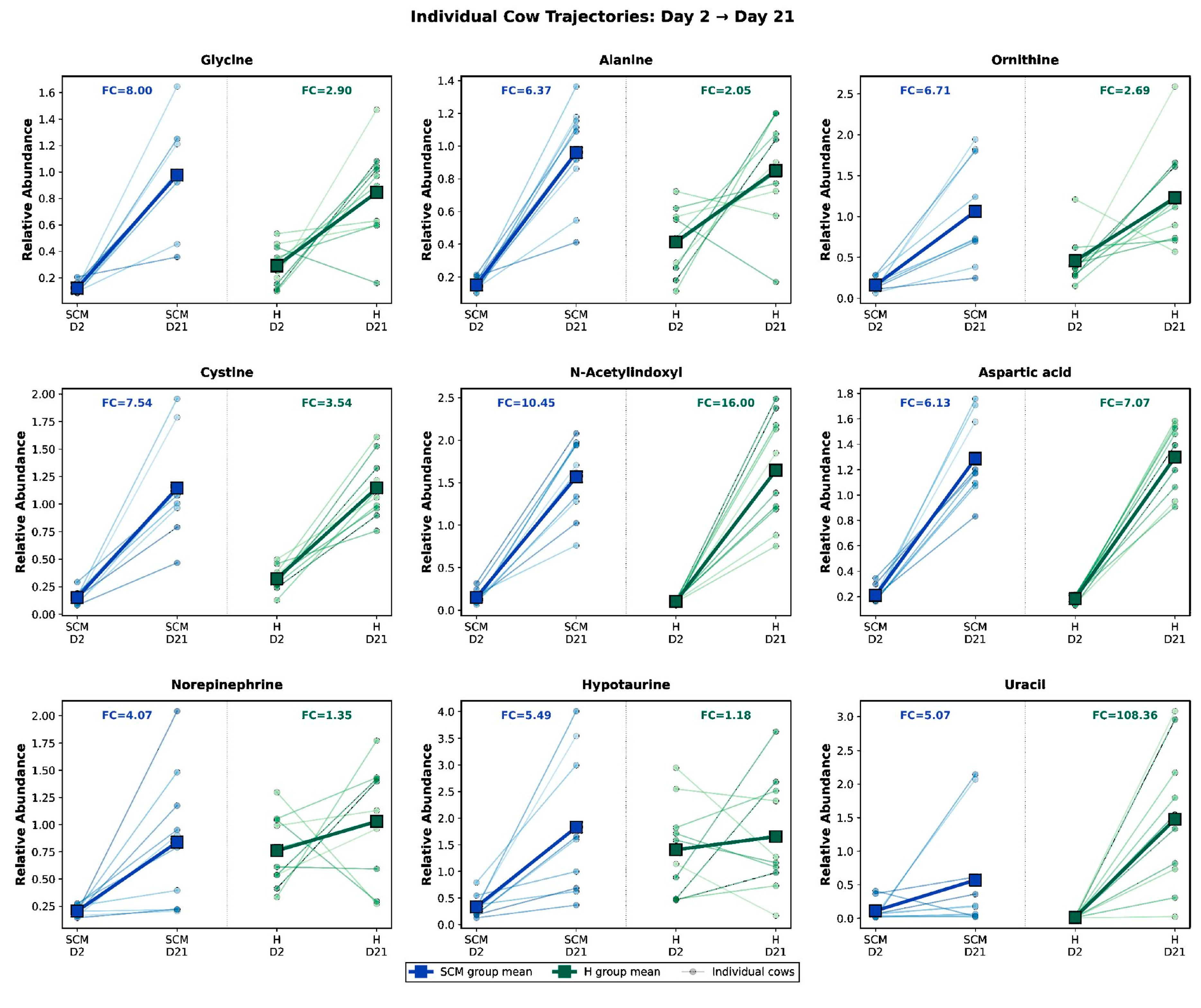
3.3.1. Temporal Shift Within SCM Quarters (SCM-D2 vs. SCM-D21)
3.3.2. Temporal Shift Within Healthy Quarters (H-D2 vs. H-D21)
3.3.3. Cross-Comparison: Shared vs. Unique Temporal Changes
3.4. Quantitative Enrichment Analysis
3.5. Multivariate Validation and Integrative Analyses
4. Discussion
4.1. Proteolytic Activation: The Dipeptide–Amino Acid Mirror
4.2. Tryptophan–Kynurenine Axis: Immune Activation and Indole Metabolite Divergence
4.3. Catecholamine Depletion and Neuroimmune Signaling
4.4. Oxidative Stress, Glutathione Turnover, and Antioxidant Depletion
4.5. The Involution Metabolome: Temporal Dominance and the SCM Overlay
4.6. Convergence, Candidate Biomarkers, and Practical Implications
4.7. Limitations
5. Conclusions
Supplementary Materials
Author Contributions
Funding
Institutional Review Board Statement
Informed Consent Statement
Data Availability Statement
Conflicts of Interest
References
- Capuco, A.V.; Akers, R.M.; Smith, J.J. Mammary growth in Holstein cows during the dry period: Quantification of nucleic acids and histology. J. Dairy Sci. 2007, 80, 477–487. [Google Scholar] [CrossRef]
- Katthöfer, P.; Zhang, Y.; Wente, N.; Preine, F.; Nitz, J.; Krömker, V. The influence of milk leakage, udder pressure and further risk factors on the development of new intramammary infections during the dry period of dairy cows. Pathogens 2024, 13, 430. [Google Scholar] [CrossRef] [PubMed]
- Ruegg, P.L. New perspectives in udder health management. Vet. Clin. N. Am. Food Anim. Pract. 2012, 28, 149–163. [Google Scholar] [CrossRef]
- Bradley, A.J.; Green, M.J. The importance of the nonlactating period in the epidemiology of intramammary infection and strategies for prevention. Vet. Clin. N. Am. Food Anim. Pract. 2004, 20, 547–568. [Google Scholar] [CrossRef]
- Green, M.J.; Green, L.E.; Medley, G.F.; Schukken, Y.H.; Bradley, A.J. Influence of dry period bacterial intramammary infection on clinical mastitis in dairy cows. J. Dairy Sci. 2002, 85, 2589–2599. [Google Scholar] [CrossRef]
- Ruegg, P.L. A 100-year review: Mastitis detection, management, and prevention. J. Dairy Sci. 2017, 100, 10381–10397. [Google Scholar] [CrossRef]
- Halasa, T.; Huijps, K.; Østerås, O.; Hogeveen, H. Economic effects of bovine mastitis and mastitis management: A review. Vet. Q. 2007, 29, 18–31. [Google Scholar] [CrossRef] [PubMed]
- Canadian Dairy Information Centre (CDIC). Culling and Replacement Rates in Dairy Herds in Canada. Available online: https://agriculture.canada.ca/en/sector/animal-industry/canadian-dairy-information-centre/statistics-market-information/dairy-animal-genetics/culling-replacement (accessed on 18 February 2026).
- Dervishi, E.; Zhang, G.; Hailemariam, D.; Dunn, S.M.; Ametaj, B.N. Innate immunity and carbohydrate metabolism alterations precede occurrence of subclinical mastitis in transition dairy cows. J. Anim. Sci. Technol. 2015, 57, 46. [Google Scholar] [CrossRef] [PubMed]
- Dervishi, E.; Zhang, G.; Dunn, S.M.; Mandal, R.; Wishart, D.S.; Ametaj, B.N. GC–MS metabolomics identifies metabolite alterations that precede subclinical mastitis in the blood of transition dairy cows. J. Proteome Res. 2017, 16, 433–446. [Google Scholar] [CrossRef]
- Zwierzchowski, G.; Zhang, G.; Mandal, R.; Wishart, D.S.; Ametaj, B.N. Mass-spec-based urinary metabotyping around parturition identifies screening biomarkers for subclinical mastitis in dairy cows. Res. Vet. Sci. 2020, 129, 39–52. [Google Scholar] [CrossRef]
- Sundekilde, U.K.; Poulsen, N.A.; Larsen, L.B.; Bertram, H.C. Nuclear magnetic resonance metabonomics reveals strong association between milk metabolites and somatic cell count in bovine milk. J. Dairy Sci. 2013, 96, 290–299. [Google Scholar] [CrossRef]
- Tong, J.; Zhang, H.; Zhang, Y.; Xiong, B.; Jiang, L. Microbiome and metabolome analyses of milk from dairy cows with subclinical Streptococcus agalactiae mastitis—Potential biomarkers. Front. Microbiol. 2019, 10, 2547. [Google Scholar] [CrossRef]
- Xi, X.; Kwok, L.Y.; Wang, Y.; Ma, C.; Mi, Z.; Zhang, H. Ultra-performance liquid chromatography-quadrupole-time of flight mass spectrometry MSE-based untargeted milk metabolomics in dairy cows with subclinical or clinical mastitis. J. Dairy Sci. 2017, 100, 4884–4896. [Google Scholar] [CrossRef]
- Hettinga, K.A.; Van Valenberg, H.J.F.; Lam, T.J.G.M.; Van Hooijdonk, A.C.M. Detection of mastitis pathogens by analysis of volatile bacterial metabolites. J. Dairy Sci. 2008, 91, 3834–3839. [Google Scholar] [CrossRef]
- Wishart, D.S. Metabolomics for investigating physiological and pathophysiological processes. Physiol. Rev. 2019, 99, 1819–1875. [Google Scholar] [CrossRef]
- Huan, T.; Li, L. Quantitative metabolome analysis based on chromatographic peak reconstruction in chemical isotope labeling liquid chromatography mass spectrometry. Anal. Chem. 2015, 87, 7011–7016. [Google Scholar] [CrossRef] [PubMed]
- Huang, Y.; Shen, L.; Jiang, J.; Xu, Q.; Luo, Z.; Luo, Q.; Yu, S.; Yao, X.; Ren, Z.; Hu, Y.; et al. Metabolomic profiles of bovine mammary epithelial cells stimulated by lipopolysaccharide. Sci. Rep. 2019, 9, 19131. [Google Scholar] [CrossRef] [PubMed]
- Edmonson, A.J.; Lean, I.J.; Weaver, L.D.; Farver, T.; Webster, G. A body condition scoring chart for Holstein dairy cows. J. Dairy Sci. 1989, 72, 68–78. [Google Scholar] [CrossRef]
- CCAC. CCAC Guidelines on: The Care and Use of Farm Animals in Research; Canadian Council on Animal Care: Ottawa, ON, Canada, 2009. Available online: https://www.ccac.ca (accessed on 18 February 2026).
- Schukken, Y.H.; Wilson, D.J.; Welcome, F.; Garrison-Tikofsky, L.; Gonzalez, R.N. Monitoring udder health and milk quality using somatic cell counts. Vet. Res. 2003, 34, 579–596. [Google Scholar] [CrossRef] [PubMed]
- Sargeant, J.M.; Leslie, K.E.; Shirley, J.E.; Pulkrabek, B.J.; Lim, G.H. Sensitivity and specificity of somatic cell count and California Mastitis Test for identifying intramammary infection in early lactation. J. Dairy Sci. 2001, 84, 2018–2024. [Google Scholar] [CrossRef]
- Zhao, S.; Li, H.; Han, W.; Chan, W.; Li, L. Metabolomic Coverage of Chemical-Group-Submetabolome Analysis: Group Classification and 4-Channel Chemical Isotope Labeling LC-MS. Anal. Chem. 2019, 91, 12108–12115. [Google Scholar] [CrossRef] [PubMed]
- Zhou, R.; Tseng, C.-L.; Huan, T.; Li, L. IsoMS: Automated processing of LC-MS data generated by a chemical isotope labeling metabolomics platform. Anal. Chem. 2014, 86, 4675–4679. [Google Scholar] [CrossRef]
- Huan, T.; Li, L. Counting missing values in a metabolite-intensity data set for measuring the analytical performance of a metabolomics platform. Anal. Chem. 2015, 87, 1306–1313. [Google Scholar] [CrossRef]
- Sumner, L.W.; Amberg, A.; Barrett, D.; Beale, M.H.; Beger, R.; Daykin, C.A.; Fan, T.W.-M.; Fiehn, O.; Goodacre, R.; Griffin, J.L.; et al. Proposed minimum reporting standards for chemical analysis Chemical Analysis Working Group (CAWG) Metabolomics Standards Initiative (MSI). Metabolomics 2007, 3, 211–221. [Google Scholar] [CrossRef]
- Pang, Z.; Lu, Y.; Zhou, G.; Hui, F.; Xu, L.; Viau, C.; Gavber, A.F.; Ha, B.; Bhavsar, S.; Xia, J. MetaboAnalyst 6.0: Towards a unified platform for metabolomics data processing, analysis and interpretation. Nucleic Acids Res. 2024, 52, W398–W406. [Google Scholar] [CrossRef] [PubMed]
- Li, L.; Li, R.; Zhou, J.; Zuniga, A.; Stanislaus, A.E.; Wu, Y.; Huan, T.; Zheng, J.; Shi, Y.; Wishart, D.S.; et al. MyCompoundID: Using an evidence-based metabolome library for metabolite identification. Anal. Chem. 2013, 85, 3401–3408. [Google Scholar] [CrossRef]
- Guo, K.; Li, L. Differential 12C-/13C-isotope dansylation labeling and fast liquid chromatography/mass spectrometry for absolute and relative quantification of the metabolome. Anal. Chem. 2009, 81, 3919–3932. [Google Scholar] [CrossRef]
- Szymanska, E.; Saccenti, E.; Smilde, A.K.; Westerhuis, J.A. Double-check: Validation of diagnostic statistics for PLS-DA models in metabolomics studies. Metabolomics 2012, 8, 3–16. [Google Scholar] [CrossRef]
- Phipson, B.; Smyth, G.K. Permutation p-values should never be zero: Calculating exact p-values when permutations are randomly drawn. Stat. Appl. Genet. Mol. Biol. 2010, 9, 39. [Google Scholar] [CrossRef]
- Chong, I.-G.; Jun, C.-H. Performance of some variable selection methods when multicollinearity is present. Chemom. Intell. Lab. Syst. 2005, 78, 103–112. [Google Scholar] [CrossRef]
- Saccenti, E.; Hoefsloot, H.C.J.; Smilde, A.K.; Westerhuis, J.A.; Hendriks, M.M.W.B. Reflections on univariate and multivariate analysis of metabolomics data. Metabolomics 2014, 10, 361–374. [Google Scholar] [CrossRef]
- Goeman, J.J.; van de Geer, S.A.; de Kort, F.; van Houwelingen, H.C. A global test for groups of genes: Testing association with a clinical outcome. Bioinformatics 2004, 20, 93–99. [Google Scholar] [CrossRef] [PubMed]
- Kanehisa, M.; Goto, S. KEGG: Kyoto encyclopedia of genes and genomes. Nucleic Acids Res. 2000, 28, 27–30. [Google Scholar] [CrossRef]
- Pedregosa, F.; Varoquaux, G.; Gramfort, A.; Michel, V.; Thirion, B.; Grisel, O.; Blondel, M.; Prettenhofer, P.; Weiss, R.; Dubourg, V.; et al. Scikit-learn: Machine learning in Python. J. Mach. Learn. Res. 2011, 12, 2825–2830. [Google Scholar]
- Virtanen, P.; Gommers, R.; Oliphant, T.E.; Haberland, M.; Reddy, T.; Cournapeau, D.; Burovski, E.; Peterson, P.; Weckesser, W.; Bright, J.; et al. SciPy 1.0: Fundamental algorithms for scientific computing in Python. Nat. Methods 2020, 17, 261–272. [Google Scholar] [CrossRef]
- Hunter, J.D. Matplotlib: A 2D graphics environment. Comput. Sci. Eng. 2007, 9, 90–95. [Google Scholar] [CrossRef]
- Wang, Y.; Nan, X.; Zhao, Y.; Jiang, L.; Wang, H.; Zhang, F.; Hua, D.; Liu, J.; Yang, L.; Yao, J.; et al. Coupling 16S rDNA sequencing and untargeted mass spectrometry for milk microbial composition and metabolites from dairy cows with clinical and subclinical mastitis. J. Agric. Food Chem. 2020, 68, 8496–8508. [Google Scholar] [CrossRef]
- Zhu, C.; Zhao, Y.; Yang, F.; Zhang, Q.; Zhao, X.; Yang, Z.; Dao, X.; Laghi, L. Microbiome and metabolome analyses of milk and feces from dairy cows with healthy, subclinical, and clinical mastitis. Front. Microbiol. 2024, 15, 1374911. [Google Scholar] [CrossRef]
- Prin-Mathieu, C.; Le Roux, Y.; Faure, G.C.; Laurent, F.; Béné, M.C.; Moussaoui, F. Enzymatic activities of bovine peripheral blood leukocytes and milk polymorphonuclear neutrophils during intramammary inflammation caused by lipopolysaccharide. Clin. Diagn. Lab. Immunol. 2002, 9, 812–817. [Google Scholar] [CrossRef][Green Version]
- Hinz, K.; Larsen, L.B.; Wellnitz, O.; Bruckmaier, R.M.; Kelly, A.L. Proteolytic and proteomic changes in milk at quarter level following infusion with Escherichia coli lipopolysaccharide. J. Dairy Sci. 2012, 95, 1655–1666. [Google Scholar] [CrossRef] [PubMed]
- Le Roux, Y.; Laurent, F.; Moussaoui, F. Polymorphonuclear proteolytic activity and milk composition change. Vet. Res. 2003, 34, 629–645. [Google Scholar] [CrossRef][Green Version]
- Thomas, F.C.; Mullen, W.; Tassi, R.; Ramírez-Torres, A.; Mudaliar, M.; McNeilly, T.N.; Zadoks, R.N.; Burchmore, R.; Eckersall, P.D. Mastitomics, the integrated omics of bovine milk in an experimental model of Streptococcus uberis mastitis: 3. Untargeted metabolomics. Mol. BioSyst. 2016, 12, 2762–2769. [Google Scholar] [CrossRef]
- Bannerman, D.D.; Paape, M.J.; Lee, J.W.; Zhao, X.; Hope, J.C.; Rainard, P. Escherichia coli and Staphylococcus aureus elicit differential innate immune responses following intramammary infection. Clin. Vaccine Immunol. 2004, 11, 463–472. [Google Scholar] [CrossRef] [PubMed]
- Rainard, P.; Riollet, C. Innate immunity of the bovine mammary gland. Vet. Res. 2006, 37, 369–400. [Google Scholar] [CrossRef] [PubMed]
- Mehrzad, J.; Desrosiers, C.; Lauzon, K.; Robitaille, G.; Zhao, X.; Lacasse, P. Proteases involved in mammary tissue damage during endotoxin-induced mastitis in dairy cows. J. Dairy Sci. 2005, 88, 211–222. [Google Scholar] [CrossRef] [PubMed]
- Shamay, A.; Homans, R.; Fuerman, Y.; Levin, I.; Barash, H.; Silanikove, N.; Mabjeesh, S.J. Proteolysis of milk proteins during involution of the bovine mammary gland. J. Dairy Sci. 1997, 80, 2004–2010. [Google Scholar] [CrossRef]
- Cervenka, I.; Agudelo, L.Z.; Ruas, J.L. Kynurenines: Tryptophan’s metabolites in exercise, inflammation, and mental health. Science 2017, 357, eaaf9794. [Google Scholar] [CrossRef]
- Moffett, J.R.; Namboodiri, M.A. Tryptophan and the immune response. Immunol. Cell Biol. 2003, 81, 247–265. [Google Scholar] [CrossRef]
- Bochniarz, M.; Kocki, T.; Dąbrowski, R.; Szczubiał, M.; Wawron, W.; Turski, W.A. Tryptophan, kynurenine, kynurenic acid concentrations and indoleamine 2,3-dioxygenase activity in serum and milk of dairy cows with subclinical mastitis caused by coagulase-negative staphylococci. Reprod. Domest. Anim. 2018, 53, 1491–1497. [Google Scholar] [CrossRef]
- Bochniarz, M.; Dąbrowski, R.; Kocki, T.; Błaszczyk, P.; Szczubiał, M.; Brodzki, P.; Krakowski, L.; Turski, W.A. Content of tryptophan and kynurenines in serum and milk of dairy cows with mastitis caused by Streptococcus spp. Reprod. Domest. Anim. 2022, 57, 277–283. [Google Scholar] [CrossRef]
- Bochniarz, M.; Piech, T.; Kocki, T.; Iskra, M.; Krukowski, H.; Jagielski, T. Tryptophan, kynurenine and kynurenic acid concentrations in milk and serum of dairy cows with Prototheca mastitis. Animals 2021, 11, 3608. [Google Scholar] [CrossRef] [PubMed]
- Sternberg, E.M. Neural regulation of innate immunity: A coordinated nonspecific host response to pathogens. Nat. Rev. Immunol. 2006, 6, 318–328. [Google Scholar] [CrossRef]
- Madden, K.S.; Felten, S.Y.; Felten, D.L.; Sundaresan, P.R.; Livnat, S. Sympathetic neural modulation of the immune system. I. Depression of T cell immunity in vivo and in vitro following chemical sympathectomy. Brain Behav. Immun. 1989, 3, 72–89. [Google Scholar] [CrossRef]
- Sordillo, L.M.; Aitken, S.L. Impact of oxidative stress on the health and immune function of dairy cattle. Vet. Immunol. Immunopathol. 2009, 128, 104–109. [Google Scholar] [CrossRef]
- Lauzon, K.; Zhao, X.; Bouetard, A.; Delbecchi, L.; Paquette, B.; Bhaskara Lacasse, P. Antioxidants to prevent bovine neutrophil-induced mammary epithelial cell damage. J. Dairy Sci. 2005, 88, 4295–4303. [Google Scholar] [CrossRef]
- Sordillo, L.M. Nutritional strategies to optimize dairy cattle immunity. J. Dairy Sci. 2016, 99, 4967–4982. [Google Scholar] [CrossRef] [PubMed]
- Pascottini, O.B.; Leroy, J.L.M.R.; Opsomer, G. Metabolic stress in the transition period of dairy cows: Focusing on the prepartum period. Animals 2020, 10, 1419. [Google Scholar] [CrossRef] [PubMed]
- Dado-Senn, B.; Skibiel, A.L.; Fabris, T.F.; Zhang, Y.; Dahl, G.E.; Peñagaricano, F.; Laporta, J. RNA-Seq reveals novel genes and pathways involved in bovine mammary involution during the dry period and under environmental heat stress. Sci. Rep. 2018, 8, 11096. [Google Scholar] [CrossRef]
- Boggs, I.; Hine, B.; Smolenski, G.; Hettinga, K.; Zhang, L.; Wheeler, T.T. Proteomics data in support of the quantification of the changes of bovine milk proteins during mammary gland involution. Data Brief 2016, 8, 52–55. [Google Scholar] [CrossRef][Green Version]
- Capuco, A.V.; Akers, R.M. The origin and evolution of lactation. J. Biol. 2009, 8, 37. [Google Scholar] [CrossRef]












Disclaimer/Publisher’s Note: The statements, opinions and data contained in all publications are solely those of the individual author(s) and contributor(s) and not of MDPI and/or the editor(s). MDPI and/or the editor(s) disclaim responsibility for any injury to people or property resulting from any ideas, methods, instructions or products referred to in the content. |
© 2026 by the authors. Licensee MDPI, Basel, Switzerland. This article is an open access article distributed under the terms and conditions of the Creative Commons Attribution (CC BY) license.
Share and Cite
Hasanllari, B.; Kaja, M.; Zhao, S.; Luo, X.; Li, L.; Ametaj, B.N. The Dry Secretion Metabolome: LC-MS Profiling Distinguishes Subclinical Mastitis from Healthy Udder Quarters Across the Dry Period in Dairy Cows. Vet. Sci. 2026, 13, 345. https://doi.org/10.3390/vetsci13040345
Hasanllari B, Kaja M, Zhao S, Luo X, Li L, Ametaj BN. The Dry Secretion Metabolome: LC-MS Profiling Distinguishes Subclinical Mastitis from Healthy Udder Quarters Across the Dry Period in Dairy Cows. Veterinary Sciences. 2026; 13(4):345. https://doi.org/10.3390/vetsci13040345
Chicago/Turabian StyleHasanllari, Barjam, Memet Kaja, Shuang Zhao, Xian Luo, Liang Li, and Burim N. Ametaj. 2026. "The Dry Secretion Metabolome: LC-MS Profiling Distinguishes Subclinical Mastitis from Healthy Udder Quarters Across the Dry Period in Dairy Cows" Veterinary Sciences 13, no. 4: 345. https://doi.org/10.3390/vetsci13040345
APA StyleHasanllari, B., Kaja, M., Zhao, S., Luo, X., Li, L., & Ametaj, B. N. (2026). The Dry Secretion Metabolome: LC-MS Profiling Distinguishes Subclinical Mastitis from Healthy Udder Quarters Across the Dry Period in Dairy Cows. Veterinary Sciences, 13(4), 345. https://doi.org/10.3390/vetsci13040345

