Revisiting Ki-67 Assessment in Canine Mast Cell Tumours: From Manual Hotspot to Automated Global Analysis
Simple Summary
Abstract
1. Introduction
2. Materials and Methods
2.1. Case Selection and Information
2.2. Ki-67 Immunohistochemistry (IHC)
2.2.1. Case Series Germany
2.2.2. Case Series Switzerland
2.3. Digital Ki-67 Analysis
2.3.1. Definition of the Region of Interest (ROI)

2.3.2. Ki-67 Analysis and Result Export
2.3.3. Quality Check and Scoring
2.4. Clinical Follow-Up
2.5. Statistical Analysis
3. Results
3.1. Hotspot Ki-67 Expression
3.2. Global Ki-67 Expression
3.3. Correlation of Global Ki-67 Metrics with Other Case Parameters
3.3.1. Signalment
3.3.2. Manual Hotspot Ki-67
3.3.3. Traditional Tumour Grading Systems
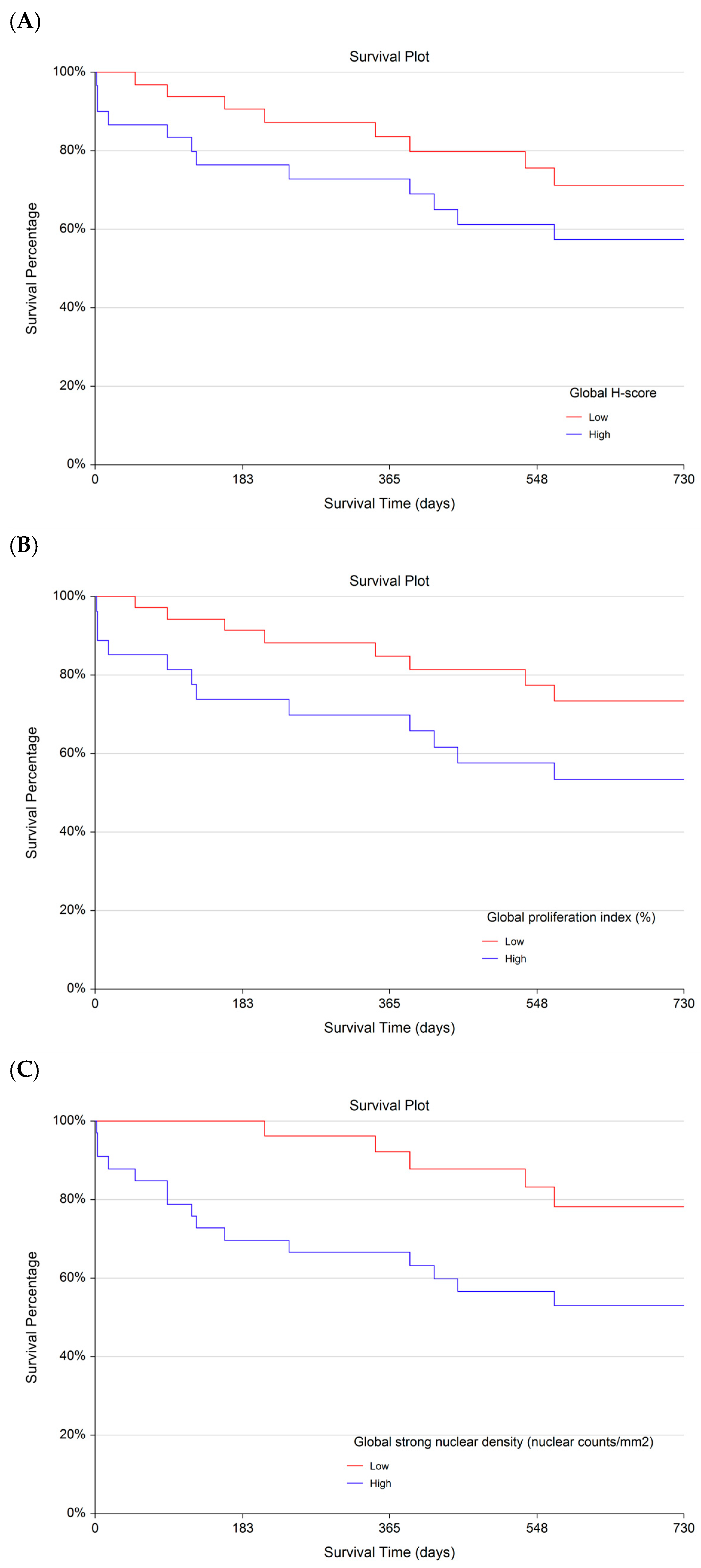
3.4. Global Ki-67 Expression as Prognostic Marker
4. Discussion
5. Conclusions
Supplementary Materials
Author Contributions
Funding
Institutional Review Board Statement
Informed Consent Statement
Data Availability Statement
Acknowledgments
Conflicts of Interest
Abbreviations
| AgNORs | Argyrophilic nucleolus organizer regions |
| AI | Artificial intelligence |
| DAB | 3,3′-diaminobenzidine |
| DL | Deep learning |
| FFPE | Formalin-fixed and paraffin-embedded |
| H-score | Histology score |
| HDAB | Haematoxylin-DAB |
| IHC | Immunohistochemistry |
| MCT | Mast cell tumour |
| NE | Neuroendocrine |
| NP | Not performed |
| Ns | Not significant |
| PI | Proliferation index |
| ROI | Region of interest |
| WHO | World Health Organization |
| WSI | Whole-slide image |
References
- de Nardi, A.B.; Horta, R.d.S.; Fonseca-Alves, C.E.; de Paiva, F.N.; Linhares, L.C.M.; Firmo, B.F.; Sueiro, F.A.R.; de Oliveira, K.D.; Lourenço, S.V.; Strefezzi, R.D.F.; et al. Diagnosis, Prognosis and Treatment of Canine Cutaneous and Subcutaneous Mast Cell Tumors. Cells 2022, 11, 618. [Google Scholar] [CrossRef]
- Mochizuki, H.; Motsinger-Reif, A.; Bettini, C.; Moroff, S.; Breen, M. Association of breed and histopathological grade in canine mast cell tumours. Vet. Comp. Oncol. 2017, 15, 829–839. [Google Scholar] [CrossRef] [PubMed]
- Aupperle-Lellbach, H.; Grassinger, J.M.; Floren, A.; Törner, K.; Beitzinger, C.; Loesenbeck, G.; Müller, T. Tumour Incidence in Dogs in Germany: A Retrospective Analysis of 109,616 Histopathological Diagnoses (2014–2019). J. Comp. Pathol. 2022, 198, 33–55. [Google Scholar] [CrossRef] [PubMed]
- Śmiech, A.; Łopuszyński, W.; Ślaska, B.; Bulak, K.; Jasik, A. Occurrence and Distribution of Canine Cutaneous Mast Cell Tumour Characteristics Among Predisposed Breeds. J. Vet. Res. 2019, 63, 141–148. [Google Scholar] [CrossRef] [PubMed]
- Patnaik, A.K.; Ehler, W.J.; MacEwen, E.G. Canine cutaneous mast cell tumor: Morphologic grading and survival time in 83 dogs. Vet. Pathol. 1984, 21, 469–474. [Google Scholar] [CrossRef]
- Kiupel, M.; Webster, J.D.; Bailey, K.L.; Best, S.; DeLay, J.; Detrisac, C.J.; Fitzgerald, S.D.; Gamble, D.; Ginn, P.E.; Goldschmidt, M.H.; et al. Proposal of a 2-tier histologic grading system for canine cutaneous mast cell tumors to more accurately predict biological behavior. Vet. Pathol. 2011, 48, 147–155. [Google Scholar] [CrossRef]
- Gerdes, J.; Schwab, U.; Lemke, H.; Stein, H. Production of a mouse monoclonal antibody reactive with a human nuclear antigen associated with cell proliferation. Int. J. Cancer 1983, 31, 13–20. [Google Scholar] [CrossRef]
- Cattoretti, G.; Becker, M.H.G.; Key, G.; Duchrow, M.; Schlüuter, C.; Galle, J.; Gerdes, J. Monoclonal antibodies against recombinant parts of the Ki-67 antigen (MIB 1 and MIB 3) detect proliferating cells in microwave-processed formalin-fixed paraffin sections. J. Pathol. 1992, 168, 357–363. [Google Scholar] [CrossRef]
- Brasher, O.C.; Nix, J.S.; Gokden, M. Significance of Staining Intensity in Ki-67 Proliferation Index in Meningiomas, and a Critical Review of the Literature on Proliferation Index Assessment. Ann. Clin. Lab. Sci. 2024, 54, 170–178. [Google Scholar]
- Dias, E.P.; Oliveira, N.S.C.; Serra-Campos, A.O.; da Silva, A.K.F.; da Silva, L.E.; Cunha, K.S. A novel evaluation method for Ki-67 immunostaining in paraffin-embedded tissues. Virchows Arch. 2021, 479, 121–131. [Google Scholar] [CrossRef]
- Fernezlian, S.; Baldavira, C.; de Souza, M.; Farhat, C.; de Vilhena, A.; Pereira, J.; de Campos, J.; Takagaki, T.; Balancin, M.; Ab'SAber, A.; et al. A semi-automated microscopic image analysis method for scoring Ki-67 nuclear immunostaining. Braz. J. Med Biol. Res. 2023, 56, e12922. [Google Scholar] [CrossRef]
- Lashen, A.; Toss, M.S.; Green, A.R.; Mongan, N.P.; Rakha, E. Ki67 assessment in invasive luminal breast cancer: A comparative study between different scoring methods. Histopathology 2022, 81, 786–798. [Google Scholar] [CrossRef] [PubMed]
- Abadie, J.J.; Amardeilh, M.A.; Delverdier, M.E. Immunohistochemical detection of proliferating cell nuclear antigen and Ki-67 in mast cell tumors from dogs. J. Am. Vet. Med. Assoc. 1999, 215, 1629–1634. [Google Scholar] [CrossRef] [PubMed]
- Webster, J.D.; Yuzbasiyan-Gurkan, V.; Miller, R.A.; Kaneene, J.B.; Kiupel, M. Cellular proliferation in canine cutaneous mast cell tumors: Associations with c-KIT and its role in prognostication. Vet. Pathol. 2007, 44, 298–308. [Google Scholar] [CrossRef] [PubMed]
- Maglennon, G.A.; Murphy, S.; Adams, V.; Miller, J.; Smith, K.; Blunden, A.; Scase, T.J. Association of Ki67 index with prognosis for intermediate-grade canine cutaneous mast cell tumours. Vet. Comp. Oncol. 2008, 6, 268–274. [Google Scholar] [CrossRef]
- Vascellari, M.; Giantin, M.; Capello, K.; Carminato, A.; Morello, E.M.; Vercelli, A.; Granato, A.; Buracco, P.; Dacasto, M.; Mutinelli, F. Expression of Ki67, BCL-2, and COX-2 in canine cutaneous mast cell tumors: Association with grading and prognosis. Vet. Pathol. 2013, 50, 110–121. [Google Scholar] [CrossRef]
- Scase, T.J.; Edwards, D.; Miller, J.; Henley, W.; Smith, K.; Blunden, A.; Murphy, S. Canine mast cell tumors: Correlation of apoptosis and proliferation markers with prognosis. J. Vet. Intern. Med. 2006, 20, 151–158. [Google Scholar] [CrossRef]
- Freytag, J.O.; Queiroz, M.R.; Govoni, V.M.; Pereira, I.V.A.; Pulz, L.H.; Strefezzi, R.d.F.; Queiroga, F.L.; Cogliati, B. Prognostic value of immunohistochemical markers in canine cutaneous mast cell tumours: A systematic review and meta-analysis. Vet. Comp. Oncol. 2021, 19, 529–540. [Google Scholar] [CrossRef]
- Sledge, D.G.; Webster, J.; Kiupel, M. Canine cutaneous mast cell tumors: A combined clinical and pathologic approach to diagnosis, prognosis, and treatment selection. Vet. J. 2016, 215, 43–54. [Google Scholar] [CrossRef]
- Berlato, D.; Murphy, S.; Monti, P.; Stewart, J.; Newton, J.R.; Flindall, A.; Maglennon, G.A. Comparison of mitotic index and Ki67 index in the prognostication of canine cutaneous mast cell tumours. Vet. Comp. Oncol. 2015, 13, 143–150. [Google Scholar] [CrossRef]
- Dang, C.; Qi, Z.; Xu, T.; Gu, M.; Chen, J.; Wu, J.; Lin, Y.; Qi, X. Deep Learning–Powered Whole Slide Image Analysis in Cancer Pathology. Lab. Investig. 2025, 105, 104186. [Google Scholar] [CrossRef] [PubMed]
- Guedes, J.; Woldmar, N.; Szasz, A.M.; Wieslander, E.; Pawłowski, K.; Horvatovich, P.; Malm, J.; Szadai, L.; Németh, I.B.; Marko-Varga, G.; et al. A perspective on integrating digital pathology, proteomics, clinical data, and AI analytics in cancer research. J. Proteom. 2025, 320, 105493. [Google Scholar] [CrossRef] [PubMed]
- Conrad, D.; Kehl, A.; Müller, T.; Klopfleisch, R.; Aupperle-Lellbach, H. Immunohistochemical and Molecular Genetic Analysis of Canine Digital Mast Cell Tumours. Animals 2023, 13, 1694. [Google Scholar] [CrossRef] [PubMed]
- Wen, Z.; Luo, D.; Wang, S.; Rong, R.; Evers, B.M.; Jia, L.; Fang, Y.; Daoud, E.V.; Yang, S.; Gu, Z.; et al. Deep Learning–Based H-Score Quantification of Immunohistochemistry-Stained Images. Mod. Pathol. 2024, 37, 100398. [Google Scholar] [CrossRef]
- Desmeules, P.; Hovington, H.; Nguilé-Makao, M.; Léger, C.; Caron, A.; Lacombe, L.; Fradet, Y.; Têtu, B.; Fradet, V. Comparison of digital image analysis and visual scoring of KI-67 in prostate cancer prognosis after prostatectomy. Diagn. Pathol. 2015, 10, 67. [Google Scholar] [CrossRef]
- Mochizuki, H.; Thomas, R.; Moroff, S.; Breen, M. Genomic profiling of canine mast cell tumors identifies DNA copy number aberrations associated with KIT mutations and high histological grade. Chromosome Res. 2017, 25, 129–143. [Google Scholar] [CrossRef]
- Śmiech, A.; Ślaska, B.; Łopuszyński, W.; Jasik, A.; Bochyńska, D.; Dąbrowski, R. Epidemiological assessment of the risk of canine mast cell tumours based on the Kiupel two-grade malignancy classification. Acta Vet. Scand. 2018, 60, 70. [Google Scholar] [CrossRef]
- Milev, H.; Dimitrova, D.; Ivanov, I. Assessment of Ki-67 in breast carcinoma: Interobserver variability and comparison between core needle biopsy and resection specimens. Ann. Diagn. Pathol. 2026, 80, 152571. [Google Scholar] [CrossRef]
- Bocklage, T.; Cornea, V.; Hickey, C.B.; Miller, J.; Moss, J.; Chambers, M.; Bachert, S.E. Ki-67 Testing in Breast Cancer: Assessing Variability With Scoring Methods and Specimen Types and the Potential Subsequent Impact on Therapy Eligibility. Appl. Immunohistochem. Mol. Morphol. 2024, 32, 119–124. [Google Scholar] [CrossRef]
- Jing, N.; Fang, C.; Williams, D.S. Validity and reliability of Ki-67 assessment in oestrogen receptor positive breast cancer. Pathology 2017, 49, 371–378. [Google Scholar] [CrossRef]
- Klöppel, G.; La Rosa, S. Ki67 labeling index: Assessment and prognostic role in gastroenteropancreatic neuroendocrine neoplasms. Virchows Arch. 2018, 472, 341–349. [Google Scholar] [CrossRef]
- Karamchandani, D.M.; Cox, B.; La Rosa, S.; Bellizzi, A.M.; Shi, C.; Gonzalez, R.S. Practice patterns for reporting digestive system neuroendocrine neoplasms: Results from a large, comprehensive international survey. Histopathology 2023, 82, 541–554. [Google Scholar] [CrossRef] [PubMed]
- Houpt, J.A.; Liu, E.; Wang, H.; Cecchini, M.J.; Ling, C.; Zhang, Q. Determination of Ki-67 indices in neuroendocrine tumours of the gastrointestinal tract: The past, the present, and the future. Virchows Arch. 2025, 486, 1001–1009. [Google Scholar] [CrossRef] [PubMed]
- Pan, X.; Wei, C.; Su, J.; Fang, M.; Lin, Q.; Qin, Y.; Gao, J.; Zhao, J.; Zhao, H.; Liu, F. A comprehensive analysis of the prognostic value, expression characteristics and immune correlation of MKI67 in cancers. Front. Immunol. 2025, 16, 1531708. [Google Scholar] [CrossRef] [PubMed]
- Robertson, S.; Acs, B.; Lippert, M.; Hartman, J. Prognostic potential of automated Ki67 evaluation in breast cancer: Different hot spot definitions versus true global score. Breast Cancer Res. Treat. 2020, 183, 161–175. [Google Scholar] [CrossRef]
- Abukhiran, I.; Neyaz, A.; Kop, M.; Baroudi, I.; Christensen, D.; Baki, M.-N.A.; Surakji, H.; Shaker, N.; Bedell, M.L.; Jasser, J.; et al. Optimal Approaches to Grading Enteropancreatic Neuroendocrine Tumors Using Ki-67 Proliferation Index: Hotspot and Whole-Slide Digital Quantitative Analysis. Mod. Pathol. 2025, 38, 100780. [Google Scholar] [CrossRef]
- Saetiew, K.; Angkathunyakul, N.; Hunnangkul, S.; Pongpaibul, A. Digital image analysis of Ki67 hotspot detection and index counting in gastroenteropancreatic neuroendocrine neoplasms. Ann. Diagn. Pathol. 2024, 71, 152295. [Google Scholar] [CrossRef]
- Zhang, M.; Tan, C.; Wang, X.; Ding, X.; Zhang, B.; Yang, Z.; Wang, Y.; Sheng, W.; Huang, D. Digital Image Analysis of Ki67 Heterogeneity Improves the Diagnosis and Prognosis of Gastroenteropancreatic Neuroendocrine Neoplasms. Mod. Pathol. 2023, 36, 100017. [Google Scholar] [CrossRef]
- Eren, O.C.; Ohike, N.; Tuncel, D.; Bagci, P.; Balci, S.; Adsay, D.E.; Esmer, R.; Saka, B.; Pehlivanoglu, B.; Xue, Y.; et al. Intratumoral Heterogeneity of Ki67 Index and Its Impact on the Diagnosis and Prognostication of Pancreatic Neuroendocrine Tumors: Hot-Spot Count Differs Significantly from Random-Area Count. Endocr. Pathol. 2025, 36, 36. [Google Scholar] [CrossRef]
- Thirunavu, V.; Drumm, M.; McCord, M.; Steffens, A.; Youngblood, M.W.; Nandoliya, K.R.; Smith, H.; Walshon, J.; McCortney, K.; Magill, S.T.; et al. Optimizing the use of Ki-67 proliferative index as a prognostic biomarker in meningiomas using digital analysis. J. Neurosurg. 2024, 141, 1644–1654. [Google Scholar] [CrossRef]
- Bacci, B.; Brunetti, B.; Avallone, G.; Morisi, A.; Martinoli, G.; Bacon, N.J. Proliferation scores in canine anal sac adenocarcinomas: Ki67 global score is superior to Ki67 hotspot indices and mitotic count for prognosis. Vet. Pathol. 2025, 62, 867–877. [Google Scholar] [CrossRef] [PubMed]
- Brigandì, E.; Bacci, B.; Brunetti, B.; Rigillo, A.; Roccabianca, P.; Bellini, G.; Chiappelli, C.; Avallone, G. Analysis of Ki67 Density Maps Reveals Variation of Spatial Proliferation Patterns in Different Canine Neoplasms. Vet. Comp. Oncol. 2025, 23, 642–649. [Google Scholar] [CrossRef] [PubMed]
- La Rosa, S. Diagnostic, Prognostic, and Predictive Role of Ki67 Proliferative Index in Neuroendocrine and Endocrine Neoplasms: Past, Present, and Future. Endocr. Pathol. 2023, 34, 79–97. [Google Scholar] [CrossRef] [PubMed]
- Blank, A.; Wehweck, L.; Marinoni, I.; Boos, L.A.; Bergmann, F.; Schmitt, A.M.; Perren, A. Interlaboratory variability of MIB1 staining in well-differentiated pancreatic neuroendocrine tumors. Virchows Arch. 2015, 467, 543–550. [Google Scholar] [CrossRef]
- Dahlrot, R.H.; Bangsø, J.A.; Petersen, J.K.; Rosager, A.M.; Sørensen, M.D.; Reifenberger, G.; Hansen, S.; Kristensen, B.W. Prognostic role of Ki-67 in glioblastomas excluding contribution from non-neoplastic cells. Sci. Rep. 2021, 11, 17918. [Google Scholar] [CrossRef]
- Klein, R.; Roggendorf, W. Increased microglia proliferation separates pilocytic astrocytomas from diffuse astrocytomas: A double labeling study. Acta Neuropathol. 2001, 101, 245–248. [Google Scholar] [CrossRef]
- Mitchell, K.G.; Parra, E.R.; Nelson, D.B.; Zhang, J.; Wistuba, I.I.; Fujimoto, J.; Roth, J.A.; Antonoff, M.B.; Corsini, E.M.; Vaporciyan, A.A.; et al. Tumor cellular proliferation is associated with enhanced immune checkpoint expression in stage I non–small cell lung cancer. J. Thorac. Cardiovasc. Surg. 2019, 158, 911–919.e6. [Google Scholar] [CrossRef]
- Serna, G.; Simonetti, S.; Fasani, R.; Pagliuca, F.; Guardia, X.; Gallego, P.; Jimenez, J.; Peg, V.; Saura, C.; Eppenberger-Castori, S.; et al. Sequential immunohistochemistry and virtual image reconstruction using a single slide for quantitative KI67 measurement in breast cancer. Breast 2020, 53, 102–110. [Google Scholar] [CrossRef]
- Koopman, T.; Buikema, H.J.; Hollema, H.; de Bock, G.H.; van der Vegt, B. Digital image analysis of Ki67 proliferation index in breast cancer using virtual dual staining on whole tissue sections: Clinical validation and inter-platform agreement. Breast Cancer Res. Treat. 2018, 169, 33–42. [Google Scholar] [CrossRef]
- Horta, R.S.; Lavalle, G.E.; Monteiro, L.N.; Souza, M.C.C.; Cassali, G.D.; Araújo, R.B. Assessment of Canine Mast Cell Tumor Mortality Risk Based on Clinical, Histologic, Immunohistochemical, and Molecular Features. Vet. Pathol. 2018, 55, 212–223. [Google Scholar] [CrossRef]


| Parameter | Output | Fold Change After * | ||
|---|---|---|---|---|
| Count all slides | 309 | |||
| Count all slides * | 206 | |||
| Assessed tissue area_mm2 | 96 (0–415; 89) | |||
| Count assessed nuclei per slide (105) | 6.7 (0.01–43.1; 7.2) | |||
| Slide quality score ** Tumour tissue section Nuclear segmentation Inflammation | 0 15 (5%) 1 (0%) 103 (33%) | 1 17 (6%) 3 (1%) 72 (23%) | 2 278 (90%) 305 (99%) 135 (44%) | |
| H-score (0–300) | 26 (0–138; 25) | |||
| H-score (0–300) * | 21 (0–138; 22) | −1.24 | ||
| Proliferation Index (%) | 14 (0–58; 13) | |||
| Proliferation Index (%) * | 11 (0–57; 11) | −1.27 | ||
| Count positive nuclei per mm2 | 1056 (2–9178; 1187) | |||
| Count positive nuclei per mm2 * | 845 (10–5880; 949) | −1.25 | ||
| Count strong nuclei per mm2 | 346 (1–5234; 521) | |||
| Count strong nuclei per mm2 * | 305 (1–3663; 456) | −1.13 | ||
| Ki-67 Metrics | Manual Hotspot | Digital Global | ||||||||
|---|---|---|---|---|---|---|---|---|---|---|
| Parameter | Slide | Hotspot Ki-67 Count | H-Score | PI | Count Strong Nuclei per mm2 | |||||
| # | # | # | # | # | ||||||
| Signalment | N | N | ||||||||
| Age | 300 NA (9) | 204 | ns | ns | ns | ns | ns | ns | ns | ns |
| Sex | F (165) M (135) NA (9) | F (116) M (86) | ns | ns | ns | ns | ns | ns | ns | ns |
| Castration status | entire (162) neutered (143) NA (4) | entire (102) neutered (102) | ns | ns | ns | ns | ns | ns | ns | ns |
| Breed (high incidence) β | at risk (167) non-risk (132) NA (10) | at risk (113) non-risk (87) NA (4) | ns | ns | ns | ns | ns | ns | ns | ns |
| Breed (high-grade tumour) ‡ | at risk (15) non-risk (284) NA (10) | at risk (7) non-risk (193) NA (4) | NP + | NP + | ns | ns | ns | ns | ns | ns |
| Affected limb (fore vs. hind) | fore (35) hind (18) NA (256) | fore (21) hind (11) NA (172) | ns | ns | ns | * | ns | * | ns | ns |
| Affected limb (right vs. left) | right (18) left (35) NA (256) | right (10) left (22) NA (172) | ns | ns | ns | ns | ns | ns | ns | ns |
| Traditional scores | N | N | ||||||||
| Hotspot Ki-67 count & | 64 NA (245) | 38 NA (166) | NA | NA | **** | * | **** | ** | **** | **** |
| Hotspot Ki-67 count & (categorical) | ≤23 (149) >23 (93) NA (67) | ≤23 (95) >23 (59) NA (50) | NA | NA | **** | **** | **** | **** | **** | **** |
| Grading Patnaik | I (14); II (45); III (7) NA (243) | I (7); II (29); III (4) NA (164) | ns | ns | ns | ns | ns | ns | ns | ns |
| Grading Kiupel | low (58) high (8) NA (243) | low (36) high (4) NA (164) | ns | ns | ns | ns | ns | ns | ns | ns |
| Parameter | HR | 95% CI | p-Value |
|---|---|---|---|
| Global Ki-67 H-score | 1.24 | 1.08–1.41 | 0.0019 |
| Global Proliferation Index (%) | 0.68 | 0.51–0.91 | 0.0089 |
| Global strong nuclear density | 1.0 | 1.00–1.00 | 0.0011 |
Disclaimer/Publisher’s Note: The statements, opinions and data contained in all publications are solely those of the individual author(s) and contributor(s) and not of MDPI and/or the editor(s). MDPI and/or the editor(s) disclaim responsibility for any injury to people or property resulting from any ideas, methods, instructions or products referred to in the content. |
© 2026 by the authors. Licensee MDPI, Basel, Switzerland. This article is an open access article distributed under the terms and conditions of the Creative Commons Attribution (CC BY) license.
Share and Cite
Scalco, R.; Wasmer, E.; Jäger, K.; Rottenberg, S.; Aupperle-Lellbach, H.; de Brot, S. Revisiting Ki-67 Assessment in Canine Mast Cell Tumours: From Manual Hotspot to Automated Global Analysis. Vet. Sci. 2026, 13, 198. https://doi.org/10.3390/vetsci13020198
Scalco R, Wasmer E, Jäger K, Rottenberg S, Aupperle-Lellbach H, de Brot S. Revisiting Ki-67 Assessment in Canine Mast Cell Tumours: From Manual Hotspot to Automated Global Analysis. Veterinary Sciences. 2026; 13(2):198. https://doi.org/10.3390/vetsci13020198
Chicago/Turabian StyleScalco, Rebeca, Elena Wasmer, Kathrin Jäger, Sven Rottenberg, Heike Aupperle-Lellbach, and Simone de Brot. 2026. "Revisiting Ki-67 Assessment in Canine Mast Cell Tumours: From Manual Hotspot to Automated Global Analysis" Veterinary Sciences 13, no. 2: 198. https://doi.org/10.3390/vetsci13020198
APA StyleScalco, R., Wasmer, E., Jäger, K., Rottenberg, S., Aupperle-Lellbach, H., & de Brot, S. (2026). Revisiting Ki-67 Assessment in Canine Mast Cell Tumours: From Manual Hotspot to Automated Global Analysis. Veterinary Sciences, 13(2), 198. https://doi.org/10.3390/vetsci13020198

