Synergistic Effects of Sanguinarine and Achyranthes bidentata Polysaccharides on Growth and Immunity in Yellow-Feathered Broilers
Simple Summary
Abstract
1. Introduction
2. Materials and Methods
2.1. Preparation of ABPS
2.2. Preparation of SA
2.3. Diets and Experimental Design
2.4. Sampling Collection
2.5. Lymphocyte Proliferation Assay
2.6. Statistical Analysis
3. Result
3.1. Growth Performance
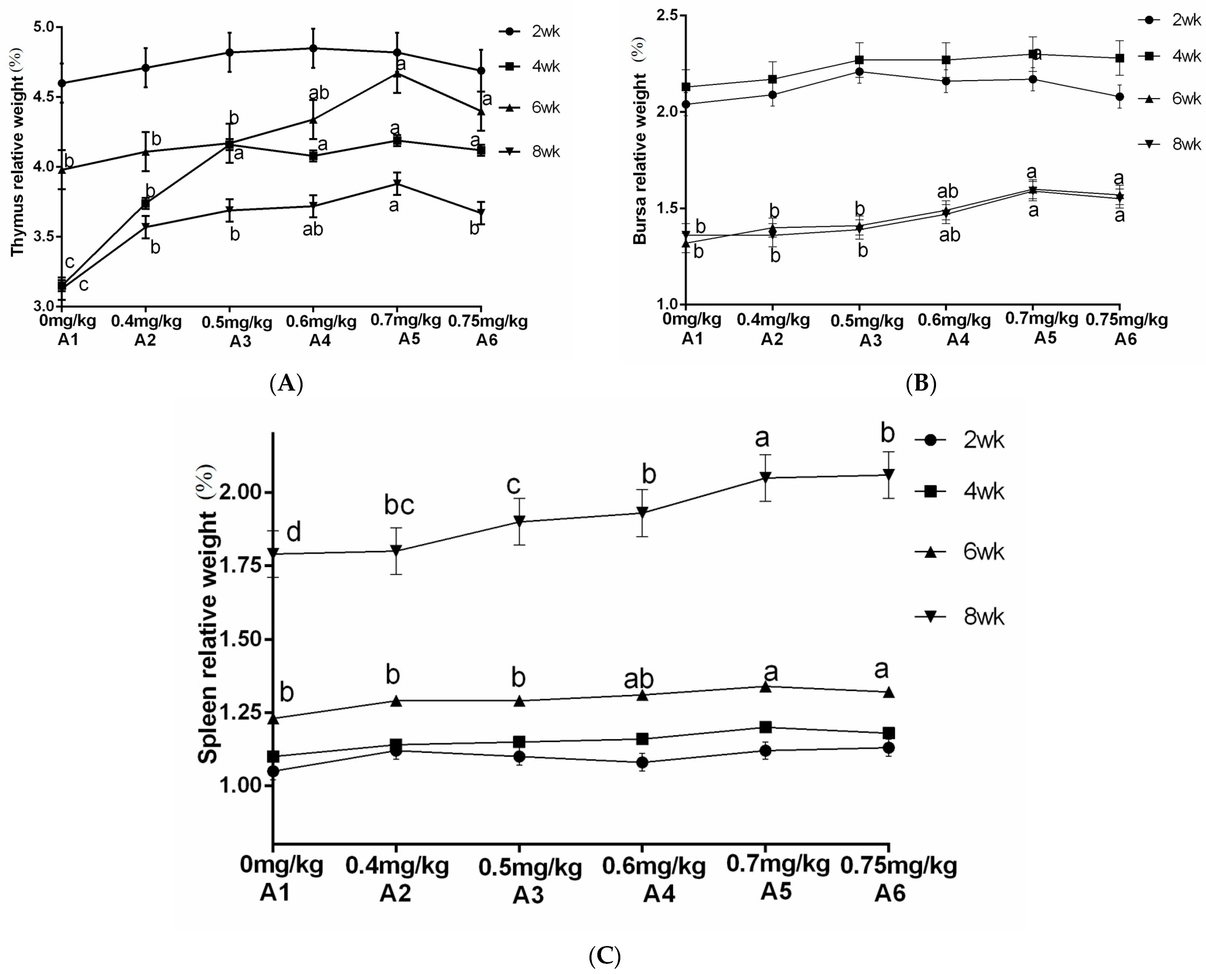
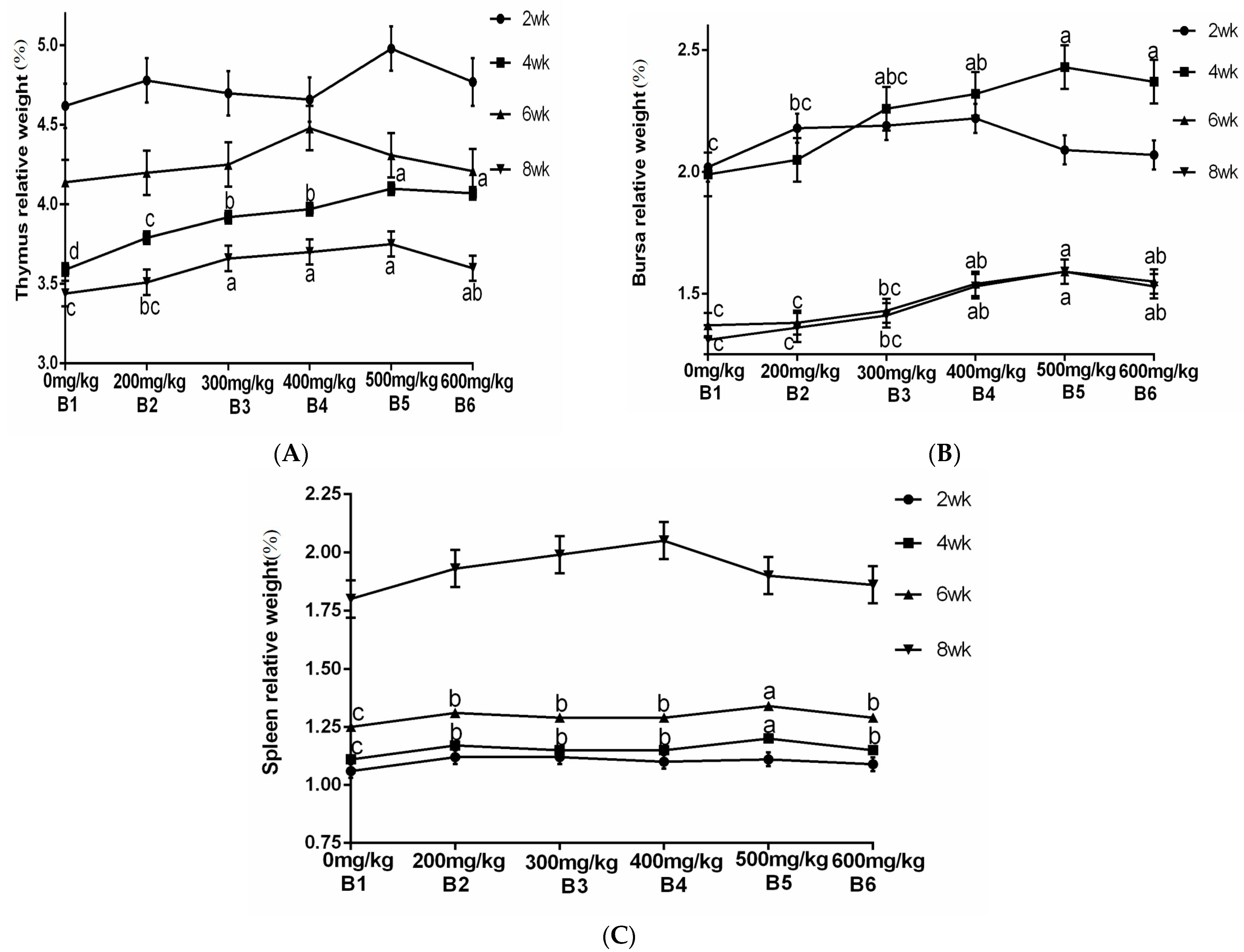
3.2. Relative Weight of Immune Organs
3.3. The Lymphocyte Proliferation of Broiler
4. Discussion
4.1. Interplay Between Growth Performance and Immune Modulation: A Stage-Dependent and Synergistic Relationship
4.2. Synergistic Enhancement of Immune Organ Development and Function
4.3. A3B3 Combination: A Synergistic Peak in Cell-Mediated Immunity Links Immunity to Growth
4.4. Limitations and Future Perspectives
5. Conclusions
Author Contributions
Funding
Institutional Review Board Statement
Informed Consent Statement
Data Availability Statement
Conflicts of Interest
Abbreviations
References
- Tian, M.; He, X.; Feng, Y.; Wang, W.; Chen, H.; Gong, M.; Liu, D.; Clarke, J.L.; van Eerde, A. Pollution by Antibiotics and Antimicrobial Resistance in LiveStock and Poultry Manure in China, and Countermeasures. Antibiotics 2021, 10, 539. [Google Scholar] [CrossRef]
- Haque, M.H.; Sarker, S.; Islam, M.S.; Islam, M.A.; Karim, M.R.; Kayesh, M.E.H.; Shiddiky, M.J.A.; Anwer, M.S. Sustainable Antibiotic-Free Broiler Meat Production: Current Trends, Challenges, and Possibilities in a Developing Country Perspective. Biology 2020, 9, 411. [Google Scholar] [CrossRef] [PubMed]
- Wei, W.; Zeng, R.; Gu, C.; Qu, Y.; Huang, L. Angelica sinensis in China-A review of botanical profile, ethnopharmacology, phytochemistry and chemical analysis. J. Ethnopharmacol. 2016, 190, 116–141. [Google Scholar] [CrossRef]
- Liu, G.; Aguilar, Y.M.; Zhang, L.; Ren, W.; Chen, S.; Guan, G.; Xiong, X.; Liao, P.; Li, T.; Huang, R. Dietary supplementation with sanguinarine enhances serum metabolites and antibodies in growing pigs. J. Anim. Sci. 2016, 94 (Suppl. S3), 75–78. [Google Scholar] [CrossRef][Green Version]
- Maiti, M.; Nandi, R.; Chaudhuri, K. Sanguinarine: A monofunctional intercalating alkaloid. FEBS Lett. 1982, 142, 280–284. [Google Scholar] [CrossRef]
- Psotová, J.; Klejdus, B.; Večeřa, R.; Kosina, P.; Kubáň, V.; Vičar, J.; Šimánek, V.; Ulrichová, J. A liquid chromatographic-mass spectrometric evidence of dihydrosanguinarine as a first metabolite of sanguinarine transformation in rat. J. Chromatogr. B 2006, 830, 165–172. [Google Scholar] [CrossRef] [PubMed]
- Weerasinghe, P.; Hallock, S.; Liepins, A. Bax, Bcl-2, and NF-κB expression in sanguinarine induced bimodal cell death. Exp. Mol. Pathol. 2001, 71, 89–98. [Google Scholar] [CrossRef] [PubMed]
- Pickler, L.; Beirão, B.C.; Hayashi, R.M.; Durau, J.F.; Lourenço, M.C.; Caron, L.F.; Santin, E. Effect of sanguinarine in drinking water on Salmonella control and the expression of immune cells in peripheral blood and intestinal mucosa of broilers. J. Appl. Poult. Res. 2013, 22, 430–438. [Google Scholar] [CrossRef]
- Hallock, S.; Tang, S.C.; Buja, L.M.; Trump, B.F.; Weerasinghe, P. Aurintricarboxylic acid inhibits protein synthesis independent, sanguinarine-induced apoptosis and oncosis. Toxicol. Pathol. 2007, 35, 300–309. [Google Scholar] [CrossRef]
- Bavarsadi, M.; Mahdavi, A.H.; Ansari-Mahyari, S.; Jahanian, E. Effects of different levels of sanguinarine on antioxidant indices, immunological responses, ileal microbial counts and jejunal morphology of laying hens fed diets with different levels of crude protein. J. Anim. Physiol. Anim. Nutr. 2017, 101, 936–948. [Google Scholar] [CrossRef]
- Vieira, S.L.; Oyarzabal, O.A.; Freitas, D.M.; Berres, J.; Pena, J.E.; Torres, C.A. Performance of broilers fed diets supplemented with sanguinarine-like alkaloids and organic acids. J. Appl. Poult. Res. 2008, 17, 128–133. [Google Scholar] [CrossRef]
- Zdarilova, A.; Vrublova, E.; Vostalova, J.; Klejdus, B.; Stejskal, D.; Proskova, J.; Kosina, P.; Svobodova, A.; Vecera, R.; Hrbac, J.; et al. Natural feed additive of Macleaya cordata: Safety assessment in rats a 90-day feeding experiment. Food Chem. Toxicol. 2008, 46, 3721–3726. [Google Scholar] [CrossRef] [PubMed]
- Moran, J.E. Anatomy, microbes, and fiber: Small versus large intestine. J. Appl. Poult. Res. 2006, 15, 154–160. [Google Scholar] [CrossRef]
- Shen, H.; Yuan, Y.; Ding, F.; Hu, N.; Liu, J.; Gu, X. Achyranthes bidentata polypeptides confer neuroprotection through inhibition of reactive oxygen species production, Bax expression, and mitochondrial dysfunction induced by overstimulation of N-methyl-D-aspartate receptors. J. Neurosci. Res. 2010, 88, 669–676, 2010. [Google Scholar] [CrossRef] [PubMed]
- Chen, X.; Xu, Y.; Tian, G. Physicalchem ical properties and structure elucidation of AbPS isolated from the root of Achyranthes bidentate. Acta Pharm. Sin. 2005, 40, 32–35. [Google Scholar]
- Zou, Y.; Meng, J.; Chen, W.; Liu, J.; Li, X.; Li, W.; Lu, C.; Shan, F. Modulation of phenotypic and functional maturation of murine dendritic cells (DCs) by purified Achyranthes bidentata polysaccharide (ABP). Int. Immunopharmacol. 2011, 111, 1103–1108. [Google Scholar] [CrossRef]
- Zhu, X.; Pan, Y.; Zheng, L.; Cui, L.; Cao, Y. Polysaccharides from the Chinese medicinal herb Achyranthes bidentata enhance anti-malarial immunity during Plasmodium yoelii 17XL infection in mice. Malar. J. 2012, 11, 49. [Google Scholar] [CrossRef]
- Guo, G.; Liu, Y.; Fan, W.; Jie, H.; Hou, Y. Effects of Achyranthes bidentata polysaccharide on growth performance, immunological, adrenal, and somatotropic responses of weaned pigs challenged with Escherichia coli lipopolysaccharide. Asian Australas. J. Anim. Sci. 2008, 21, 1189–1195. [Google Scholar] [CrossRef]
- Chen, Q.; Liu, Z.; He, J.; Zhao, Y.; Wu, X. Achyranthes bidentata polysaccharide enhances growth performance and health status in weaned piglets. Food Agric. Immunol. 2011, 22, 17–29. [Google Scholar] [CrossRef]
- Kang, P.; Xiao, H.; Hou, Y.; Ding, B.; Yin, Y. Effects of astragalus polysaccharides, Achyranthes bidentata polysaccharides, and acantbepanax senticosus saponin on the performance and immunity in weaned pigs. Asian Australas. J. Anim. Sci. 2010, 23, 750–756. [Google Scholar] [CrossRef]
- Chen, Q.; Liu, Z.; He, J. Achyranthes bidentata polysaccharide enhances immune response in weaned piglets. Immunopharmacol. Immunotoxicol. 2009, 31, 253–260. [Google Scholar] [CrossRef]
- NY/T 33-2004; Standard for Chicken Feeding. China Agriculture Press: Beijing, China, 2004.
- National Research Council. Nutrient Requirements of Poultry, 9th ed.; National Academy Press: Washington, DC, USA, 1994. [Google Scholar]
- Qing, Z.; Cheng, P.; Liu, X.; Liu, Y.; Zeng, J.; Wang, W. Structural speculation and identification of alkaloids in Macleaya cordata fruits by high-performance liquid chromatography/quadrupole-time-of-flight mass spectrometry combined with a screening procedure. Rapid Commun. Mass Spectrom. 2014, 28, 1033–1044. [Google Scholar] [CrossRef]
- Kong, X.; Yin, Y.; Wu, G.; Yin, H.; Yin, F.; Li, T. Dietary supplementation with Acanthopanax senticosus extract modulates cellular and humoral immunity in weaned piglets. Asian Australas. J. Anim. Sci. 2007, 120, 1453–1461. [Google Scholar] [CrossRef]
- Fan, Y.; Hu, Y.; Wang, D.; Liu, J.; Zhang, J.; Zhao, X. Effects of Astragalus polysaccharide liposome on lymphocyte proliferation in vitro and adjuvanticity in vivo. Carbohydr. Polym. 2012, 88, 68–74. [Google Scholar] [CrossRef]
- Xue, G.; Wu, S.; Choct, M.; Pastor, A.; Steiner, T.; Swick, R. Impact of a Macleaya cordata-derived alkaloid extract on necrotic enteritis in broilers. Poult. Sci. 2017, 96, 3581–3585. [Google Scholar] [CrossRef] [PubMed]
- Bavarsadi, M.; Mahdavi, A.H.; Ansari-Mahyari, S.; Jahanian, E. Sanguinarine improved nutrient digestibility, hepatic health indices and productive performance in laying hens fed low crude protein diets. Vet. Med. Sci. 2021, 7, 800–811. [Google Scholar] [CrossRef] [PubMed]
- Drsata, J.; Ulrichová, J.; Walterová, D. Sanguinarine and chelerythrine as inhibitors of aromatic amino acid decarboxylase. J. Enzym. Inhib. 1996, 10, 231–237. [Google Scholar] [CrossRef]
- Liu, Z.; Wang, X.; Ou, S.; Arowolo, M.; Hou, D.; He, J. Effects of Achyranthes bidentata Polysaccharides on Intestinal Morphology, Immune Response, and Gut Microbiome in Yellow Broiler Chickens Challenged with Escherichia coli K88. Polymers 2018, 10, 1233. [Google Scholar] [CrossRef]
- Pope, C.R. Pathology of lymphoid organs with emphasis on immunosuppression. Vet. Immunol. Immunopathol. 1991, 30, 31–44. [Google Scholar] [CrossRef]
- Cooper, M.; Peterson, D.; South, R.D.; Good, R.A. The functions of the thymus system and the bursa system in the chicken. J. Exp. Med. 1996, 123, 75–102. [Google Scholar] [CrossRef]
- Chen, H.; Li, D.; Chang, B.; Gong, L.; Dai, J.; Yi, G. Effects of Chinese herbal polysaccharides on the immunity and growth performance of young broilers. Poult. Sci. 2003, 82, 364–370. [Google Scholar] [CrossRef] [PubMed]










| Item | Starter (0 to 28 Day) | Finisher (29 to 56 Day) |
|---|---|---|
| Ingredient, % | ||
| Ground yellow maize | 56.61 | 60.51 |
| dehulled Soybean meal | 36.00 | 32.00 |
| Soybean oil | 3.00 | 3.00 |
| Di-calcium phosphate | 1.80 | 1.90 |
| Limestone | 1.00 | 1.00 |
| NaCl | 0.30 | 0.30 |
| DL-Met | 0.14 | 0.14 |
| Choline chloride | 0.15 | 0.15 |
| Premix 1 | 1.00 | 1.00 |
| Nutrient level 2 | ||
| ME, MJ/kg | 12.34 | 12.47 |
| CP, % | 21.19 | 19.64 |
| Lys, % | 1.07 | 0.96 |
| Met, % | 0.46 | 0.44 |
| Cys, % | 0.37 | 0.34 |
| Ca, % | 1.04 | 0.91 |
| P, % | 0.69 | 0.67 |
| SA mg/kg | ABPS mg/kg | |||||
|---|---|---|---|---|---|---|
| B1 0 | B2 200 | B3 300 | B4 400 | B5 500 | B6 600 | |
| A1 0 | A1B1 | A1B2 | A1B3 | A1B4 | A1B5 | A1B6 |
| A2 0.4 | A2B1 | A2B2 | A2B3 | A2B4 | A2B5 | A2B6 |
| A3 0.5 | A3B1 | A3B2 | A3B3 | A3B4 | A3B5 | A3B6 |
| A4 0.6 | A4B1 | A4B2 | A4B3 | A4B4 | A4B5 | A4B6 |
| A5 0.7 | A5B1 | A5B2 | A5B3 | A5B4 | A5B5 | A5B6 |
| A6 0.75 | A6B1 | A6B2 | A6B3 | A6B4 | A6B5 | A6B6 |
| Items | p Value | ||
|---|---|---|---|
| ABPS | SA | ABPS*SA | |
| ADFI (g) | |||
| 0–2 wk | 0.245 | 0.018 | 0.221 |
| 0–4 wk | 0.194 | 0.15 | 0.064 |
| 0–6 wk | 0.001 | 0.045 | 0.125 |
| 0–8 wk | 0.838 | 0.037 | 0.03 |
| FCR | |||
| 0–2 wk | <0.001 | <0.001 | 0.71 |
| 0–4 wk | <0.001 | 0.021 | 0.351 |
| 0–6 wk | <0.001 | <0.001 | 0.307 |
| 0–8 wk | <0.001 | <0.001 | 0.223 |
| ADG (g) | |||
| 0–2 wk | 0.17 | 0.006 | 0.217 |
| 0–4 wk | 0.27 | 0.123 | 0.063 |
| 0–6 wk | 0.001 | 0.068 | 0.113 |
| 0–8 wk | 0.85 | 0.052 | 0.002 |
| Mortality (%) | |||
| 0–4 wk | 0.036 | 0.07 | 1 |
| 0–8 wk | 0.136 | 0.01 | 0.989 |
| Items | p Value | ||
|---|---|---|---|
| ABPS | SA | ABPS*SA | |
| lymphocyte proliferation | |||
| 4 wk | <0.001 | <0.001 | <0.001 |
| 8 wk | <0.001 | <0.001 | <0.001 |
Disclaimer/Publisher’s Note: The statements, opinions and data contained in all publications are solely those of the individual author(s) and contributor(s) and not of MDPI and/or the editor(s). MDPI and/or the editor(s) disclaim responsibility for any injury to people or property resulting from any ideas, methods, instructions or products referred to in the content. |
© 2026 by the authors. Licensee MDPI, Basel, Switzerland. This article is an open access article distributed under the terms and conditions of the Creative Commons Attribution (CC BY) license.
Share and Cite
Wang, X.; Liu, Z.; Ma, L.; Chen, W. Synergistic Effects of Sanguinarine and Achyranthes bidentata Polysaccharides on Growth and Immunity in Yellow-Feathered Broilers. Vet. Sci. 2026, 13, 36. https://doi.org/10.3390/vetsci13010036
Wang X, Liu Z, Ma L, Chen W. Synergistic Effects of Sanguinarine and Achyranthes bidentata Polysaccharides on Growth and Immunity in Yellow-Feathered Broilers. Veterinary Sciences. 2026; 13(1):36. https://doi.org/10.3390/vetsci13010036
Chicago/Turabian StyleWang, Xiaolong, Zhuying Liu, Longteng Ma, and Wenbin Chen. 2026. "Synergistic Effects of Sanguinarine and Achyranthes bidentata Polysaccharides on Growth and Immunity in Yellow-Feathered Broilers" Veterinary Sciences 13, no. 1: 36. https://doi.org/10.3390/vetsci13010036
APA StyleWang, X., Liu, Z., Ma, L., & Chen, W. (2026). Synergistic Effects of Sanguinarine and Achyranthes bidentata Polysaccharides on Growth and Immunity in Yellow-Feathered Broilers. Veterinary Sciences, 13(1), 36. https://doi.org/10.3390/vetsci13010036

