Effect of Microencapsulated Medium-Chain Fatty Acids, Lignocellulose, and Heat-Killed Lactobacillus plantarum L-137 Supplementation on Lactating Sow Performance, and Nutritional and Immunological Parameters in Colostrum
Simple Summary
Abstract
1. Introduction
2. Materials and Methods
2.1. Feed Supplement Information
2.2. Animal Ethics
2.3. Experimental Design
2.4. Animals, Diets, and Management
2.5. Sow Reproductive and Litter Performances
2.6. Determination of Colostrum Intake and Yield
2.7. Collection of Colostrum and Milk Samples
2.8. Determination of Chemical Composition in Sow Colostrum and Milk
2.9. Analysis of Sow Colostrum Immunoglobulin
2.10. Statistical Analysis
3. Results
3.1. Sow Reproductive Performance
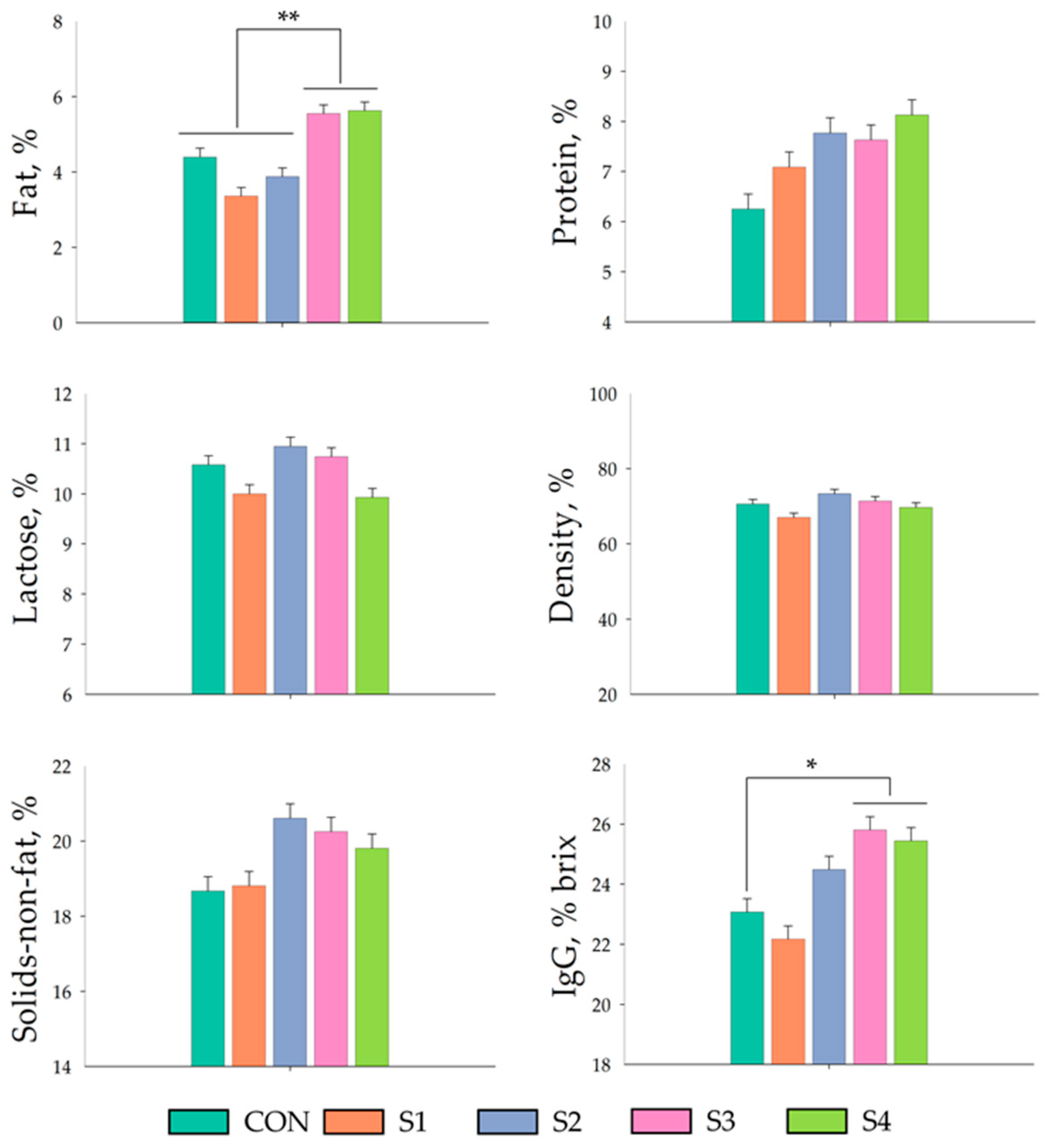
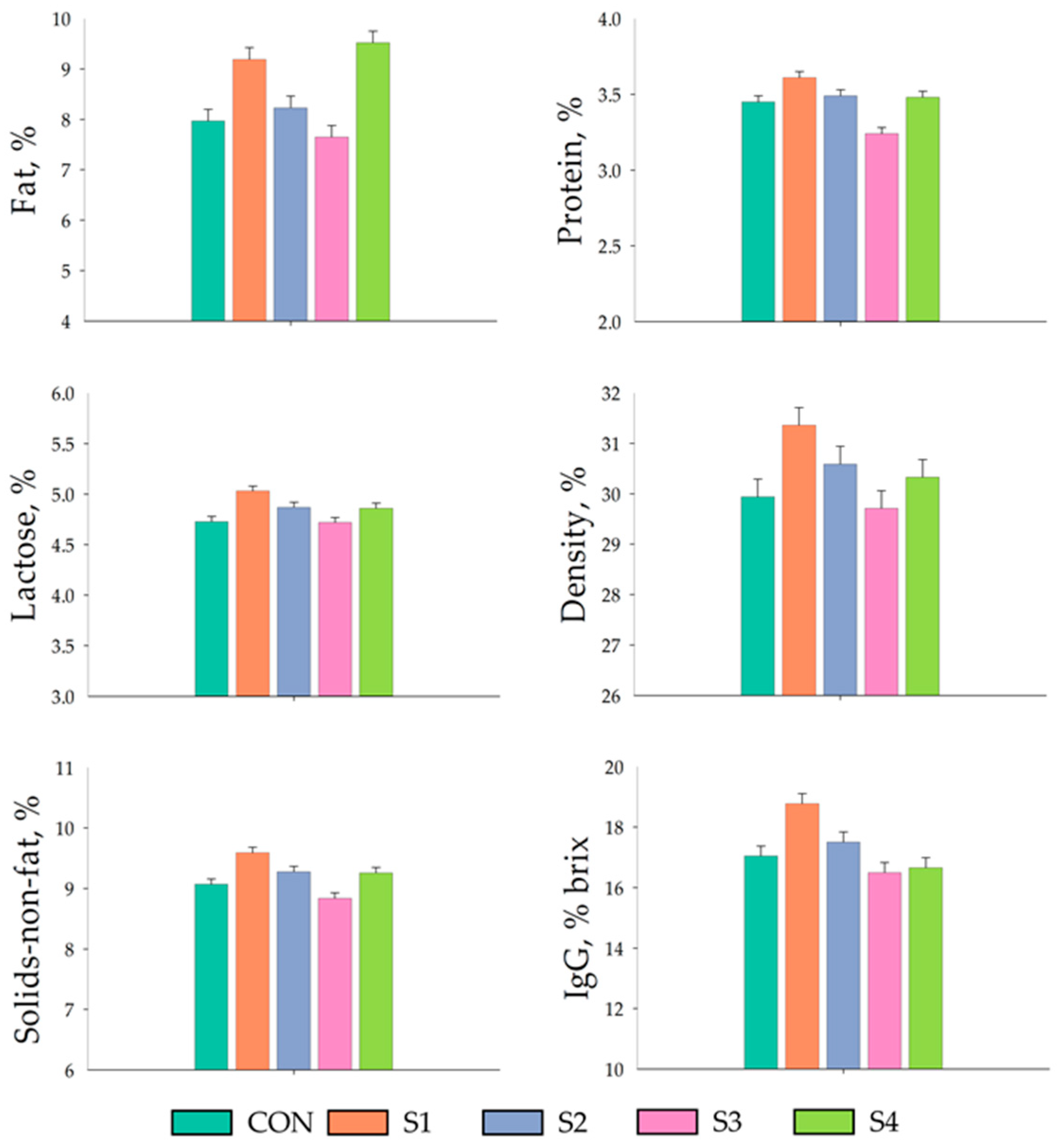
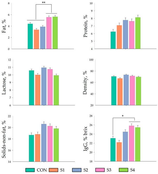
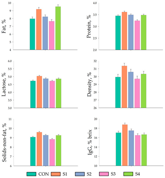
3.2. Major Chemical Composition of Sow Colostrum and Mature Milk
3.3. Changes in Immunoglobulins of Sow Colostrum
4. Discussion
5. Conclusions
Author Contributions
Funding
Institutional Review Board Statement
Informed Consent Statement
Data Availability Statement
Acknowledgments
Conflicts of Interest
References
- Liu, Y.; Jia, X.; Chang, J.; Jiang, X.; Che, L.; Lin, Y.; Zhuo, Y.; Feng, B.; Fang, Z.; Li, J.; et al. Effect of yeast culture supplementation in sows during late gestation and lactation on growth performance, antioxidant properties, and intestinal microorganisms of offspring weaned piglets. Front. Microbiol. 2023, 13, 1105888. [Google Scholar] [CrossRef]
- Liu, B.; Zhu, X.; Cui, Y.; Wang, W.; Liu, H.; Li, Z.; Guo, Z.; Ma, S.; Li, D.; Wang, C.; et al. Consumption of Dietary Fiber from Different Sources during Pregnancy Alters Sow Gut Microbiota and Improves Performance and Reduces Inflammation in Sows and Piglets. mSystems 2021, 6, e00591-20. [Google Scholar] [CrossRef]
- Chen, Q.; Wang, P.; Wang, J.; Xu, J.; Liu, C.; Qiao, H.; Gan, L.; Duan, E.; Zhang, Y.; Wang, M.; et al. Zinc Laurate Protects against Intestinal Barrier Dysfunction and Inflammation Induced by ETEC in a Mice Model. Nutrients 2022, 15, 54. [Google Scholar] [CrossRef]
- Maybodi, F.R.; Fakhari, M.; Tavakoli, F. Effects of omega-3 supplementation as an adjunct to non-surgical periodontal therapy on periodontal parameters in periodontitis patients: A randomized clinical trial. BMC Oral Health 2022, 22, 521. [Google Scholar] [CrossRef] [PubMed]
- Zou, T.; Wei, W.; Cao, S.; Zhang, H.; Liu, J. Effects of Dietary Fat Sources during Late Gestation on Colostrum Quality and Mammary Gland Inflammation in Lipopolysaccharide-Challenged Sows. Animals 2020, 10, 319. [Google Scholar] [CrossRef]
- Lv, Y.; Chen, F.; Zhang, S.; Chen, J.; Zhang, Y.; Tian, M.; Guan, W. Metabolic Transition of Milk Triacylglycerol Synthesis in Response to Varying Levels of Three 18-Carbon Fatty Acids in Porcine Mammary Epithelial Cells. Int. J. Mol. Sci. 2021, 22, 1294. [Google Scholar] [CrossRef] [PubMed]
- Craig, J.R.; Dunshea, F.R.; Cottrell, J.J.; Ford, E.M.; Wijesiriwardana, U.A.; Pluske, J.R. Feeding Conjugated Linoleic Acid without a Combination of Medium-Chain Fatty Acids during Late Gestation and Lactation Improves Pre-Weaning Survival Rates of Gilt and Sow Progeny. Animals 2019, 9, 62. [Google Scholar] [CrossRef] [PubMed]
- Son, H.K.; Kim, B.H.; Lee, J.; Park, S.; Oh, C.B.; Jung, S.; Lee, J.K.; Ha, J.H. Partial Replacement of Dietary Fat with Krill Oil or Coconut Oil Alleviates Dyslipidemia by Partly Modulating Lipid Metabolism in Lipopolysaccharide-Injected Rats on a High-Fat Diet. Int. J. Environ. Res. Public Health 2022, 19, 843. [Google Scholar] [CrossRef]
- Amer, S.A.; Tolba, S.A.; AlSadek, D.M.M.; Abdel Fattah, D.M.; Hassan, A.M.; Metwally, A.E. Effect of supplemental glycerol monolaurate and oregano essential oil blend on the growth performance, intestinal morphology, and amino acid digestibility of broiler chickens. BMC Vet. Res. 2021, 17, 312. [Google Scholar] [CrossRef]
- Wang, L.; Gao, W.; Zhou, J.; Shi, H.; Wang, T.; Lai, C. Effects of dietary oil sources and fat extraction methods on apparent and standardized ileal digestibility of fat and fatty acids in growing pigs. J. Anim. Sci. Biotechnol. 2022, 13, 143. [Google Scholar] [CrossRef]
- Yuan, T.; Wang, L.; Jin, J.; Mi, L.; Pang, J.; Liu, Z.; Gong, J.; Sun, C.; Li, J.; Wei, W.; et al. Role Medium-Chain Fatty Acids in the Lipid Metabolism of Infants. Front. Nutr. 2022, 9, 804880. [Google Scholar] [CrossRef] [PubMed]
- Tian, M.; Wang, N.; Su, G.; Shi, B.; Shan, A. Effects of dietary L-carnitine and fat type on the performance, milk composition and immunoglobulin in sows, and immunological variables of sows and piglets during late gestation and lactation. Czech J. Anim. Sci. 2017, 62, 185–194. [Google Scholar] [CrossRef]
- Choi, J.; Kim, W.K. Dietary Application of Tannins as a Potential Mitigation Strategy for Current Challenges in Poultry Production: A Review. Animals 2020, 10, 2389. [Google Scholar] [CrossRef]
- Choi, J.; Wang, L.; Ammeter, E.; Lahaye, L.; Liu, S.; Nyachoti, M.; Yang, C. Evaluation of lipid matrix microencapsulation for intestinal delivery of thymol in weaned pigs. Transl. Anim. Sci. 2020, 4, 411–422. [Google Scholar] [CrossRef]
- Gardiner, G.E.; Metzler-Zebeli, B.U.; Lawlor, P.G. Impact of Intestinal Microbiota on Growth and Feed Efficiency in Pigs: A Review. Microorganisms 2020, 8, 1886. [Google Scholar] [CrossRef]
- Shi, B.; He, W.; Su, G.; Xu, X.; Shan, A. The Effect of Increasing Neutral Detergent Fiber Level through Different Fiber Feed Ingredients throughout the Gestation of Sows. Animals 2021, 11, 415. [Google Scholar] [CrossRef]
- Jin, S.S.; Jin, Y.H.; Jang, J.C.; Hong, J.S.; Jung, S.W.; Kim, Y.Y. Effects of dietary energy levels on physiological parameters and reproductive performance of gestating sows over three consecutive parities. Asian-Australas. J. Anim. Sci. 2018, 31, 410–420. [Google Scholar] [CrossRef]
- Loisel, F.; Farmer, C.; Ramaekers, P.; Quesnel, H. Effects of high fiber intake during late pregnancy on sow physiology, colostrum production, and piglet performance. J. Anim. Sci. 2013, 91, 5269–5279. [Google Scholar] [CrossRef]
- Farmer, C.; Quesnel, H. Nutritional, hormonal, and environmental effects on colostrum in sows. J. Anim. Sci. 2009, 87, 56–64. [Google Scholar] [CrossRef]
- Ferreira Dos Santos, T.; Alves Melo, T.; Almeida, M.E.; Passos Rezende, R.; Romano, C.C. Immunomodulatory Effects of Lactobacillus plantarum Lp62 on Intestinal Epithelial and Mononuclear Cells. BioMed Res. Int. 2016, 2016, 8404156. [Google Scholar] [CrossRef] [PubMed]
- Petrov, K.; Arsov, A.; Petrova, P. Butanol Tolerance of Lactiplantibacillus plantarum: A Transcriptome Study. Genes 2021, 12, 181. [Google Scholar] [CrossRef]
- Murosaki, S.; Yamamoto, Y.; Ito, K.; Inokuchi, T.; Kusaka, H.; Ikeda, H.; Yoshikai, Y. Heat-killed Lactobacillus plantarum L-137 suppresses naturally fed antigen-specific IgE production by stimulation of IL-12 production in mice. J. Allergy Clin. Immunol. 1998, 102, 57–64. [Google Scholar] [CrossRef]
- Arimori, Y.; Nakamura, R.; Hirose, Y.; Murosaki, S.; Yamamoto, Y.; Shidara, O.; Ichikawa, H.; Yoshikai, Y. Daily intake of heat-killed Lactobacillus plantarum L-137 enhances type I interferon production in healthy humans and pigs. Immunopharmacol. Immunotoxicol. 2012, 34, 937–943. [Google Scholar] [CrossRef] [PubMed]
- Thanh Tung, H.; Koshio, S.; Ferdinand Traifalgar, R.; Ishikawa, M.; Yokoyama, S. Effects of Dietary Heat-killed Lactobacillus plantarum on Larval and Post-larval Kuruma Shrimp, Marsupenaeus japonicus Bate. J. World Aquac. Soc. 2010, 41, 16–27. [Google Scholar] [CrossRef]
- Dawood, M.A.; Koshio, S.; Ishikawa, M.; Yokoyama, S. Interaction effects of dietary supplementation of heat-killed Lactobacillus plantarum and β-glucan on growth performance, digestibility and immune response of juvenile red sea bream, Pagrus major. Fish Shellfish Immunol. 2015, 45, 33–42. [Google Scholar] [CrossRef]
- Dawood, M.A.; Koshio, S.; Ishikawa, M.; Yokoyama, S. Effects of partial substitution of fish meal by soybean meal with or without heat-killed Lactobacillus plantarum (LP20) on growth performance, digestibility, and immune response of amberjack, Seriola dumerili juveniles. BioMed Res. Int. 2015, 2015, 514196. [Google Scholar] [CrossRef]
- Tartrakoon, W.; Charoensook, R.; Incharoen, T.; Numthuam, S.; Pechrkong, T.; Onoda, S.; Shoji, G.; Brenig, B. Effects of Heat-Killed Lactobacillus plantarum L-137 Supplementation on Growth Performance, Blood Profiles, Intestinal Morphology, and Immune Gene Expression in Pigs. Vet. Sci. 2023, 10, 87. [Google Scholar] [CrossRef]
- Ghosh, M.; Upadhyay, R.; Raigar, R.; Mishra, H. Fabrication of spray-dried microcapsules of omega-3, 6 fatty acid-rich plant oil blend using wall mix of maltodextrin + proteins. J. Food Process. Preserv. 2022, 46, e17103. [Google Scholar] [CrossRef]
- Council, N.R. Nutrient Requirements of Swine: Eleventh Revised Edition; The National Academies Press: Washington, DC, USA, 2012; p. 420. [Google Scholar] [CrossRef]
- Yu, J.; Song, Y.; Yu, B.; He, J.; Zheng, P.; Mao, X.; Huang, Z.; Luo, Y.; Luo, J.; Yan, H.; et al. Tannic acid prevents post-weaning diarrhea by improving intestinal barrier integrity and function in weaned piglets. J. Anim. Sci. Biotechnol. 2020, 11, 87. [Google Scholar] [CrossRef] [PubMed]
- Theil, P.K.; Lauridsen, C.; Quesnel, H. Neonatal piglet survival: Impact of sow nutrition around parturition on fetal glycogen deposition and production and composition of colostrum and transient milk. Anim. Int. J. Anim. Biosci. 2014, 8, 1021–1030. [Google Scholar] [CrossRef] [PubMed]
- Nicolas, D.; Delphine, G.; Chantal, F. Neonatal piglets are able to differentiate more productive from less productive teats. Appl. Anim. Behav. Sci. 2016, 174, 24–31. [Google Scholar] [CrossRef]
- Paludetti, L.; Jordan, K.; Kelly, A.; Gleeson, D. Evaluating the effect of storage conditions on milk microbiological quality and composition. Ir. J. Agric. Food Res. 2018, 57, 52–62. [Google Scholar] [CrossRef]
- Hasan, S.M.K.; Junnikkala, S.; Valros, A.; Peltoniemi, O.; Oliviero, C. Validation of Brix refractometer to estimate colostrum immunoglobulin G content and composition in the sow. Animal 2016, 10, 1728–1733. [Google Scholar] [CrossRef] [PubMed]
- Nuntapaitoon, M.; Suwimonteerabutr, J.; Am-In, N.; Tienthai, P.; Chuesiri, P.; Kedkovid, R.; Tummaruk, P. Impact of parity and housing conditions on concentration of immunoglobulin G in sow colostrum. Trop. Anim. Health Prod. 2019, 51, 1239–1246. [Google Scholar] [CrossRef] [PubMed]
- Papatsiros, V.; Argyris, G.; Papakonstantinou, G.; Meletis, E.; Tsekouras, N.; Kantas, D.; Kostoulas, P. Evaluation of an on-farm method to assess colostrum IgG content in hyperprolific sows. Anim. Reprod. Sci. 2022, 239, 106958. [Google Scholar] [CrossRef] [PubMed]
- Chen, J.; Xu, Q.; Li, Y.; Tang, Z.; Sun, W.; Zhang, X.; Sun, J.; Sun, Z. Comparative effects of dietary supplementations with sodium butyrate, medium-chain fatty acids, and n-3 polyunsaturated fatty acids in late pregnancy and lactation on the reproductive performance of sows and growth performance of suckling piglets. J. Anim. Sci. 2019, 97, 4256–4267. [Google Scholar] [CrossRef] [PubMed]
- Lan, R.; Kim, I. Effects of organic acid and medium chain fatty acid blends on the performance of sows and their piglets. Anim. Sci. J. = Nihon Chikusan Gakkaiho 2018, 89, 1673–1679. [Google Scholar] [CrossRef]
- Jin, C.; Fang, Z.; Lin, Y.; Che, L.; Wu, C.; Xu, S.; Feng, B.; Li, J.; Wu, D. Influence of dietary fat source on sow and litter performance, colostrum and milk fatty acid profile in late gestation and lactation. Anim. Sci. J. = Nihon Chikusan Gakkaiho 2017, 88, 1768–1778. [Google Scholar] [CrossRef] [PubMed]
- Roszkos, R.; Tóth, T.; Mézes, M. Review: Practical Use of n-3 Fatty Acids to Improve Reproduction Parameters in the Context of Modern Sow Nutrition. Animals 2020, 10, 1141. [Google Scholar] [CrossRef]
- Peltoniemi, O.; Björkman, S.; Oropeza-Moe, M.; Oliviero, C. Developments of reproductive management and biotechnology in the pig. Anim. Reprod. 2019, 16, 524–538. [Google Scholar] [CrossRef] [PubMed]
- Goh, T.; Hong, J.; Kim, H.; Kang, S.; Kim, Y. Effects of β-glucan and vitamin E diet supplementation on the physiological response, litter performance, blood profiles, immune response, and milk composition of lactating sows. Anim. Biosci. 2022, 36, 264–274. [Google Scholar] [CrossRef]
- Chen, B.; Tang, G.; Guo, W.; Lei, J.; Yao, J.; Xu, X. Detection of the Core Bacteria in Colostrum and Their Association with the Rectal Microbiota and with Milk Composition in Two Dairy Cow Farms. Animals 2021, 11, 3363. [Google Scholar] [CrossRef]
- Szyndler-Nędza, M.; Mucha, A.; Ropka-Molik, K.; Piórkowska, K. Effect of the polymorphism of genes related to lactogenesis in pigs on colostrum and milk composition and on rearing performance of piglets. Ann. Anim. Sci. 2022, 22, 891–901. [Google Scholar] [CrossRef]
- Wang, W.; Chen, J.; Zhou, H.; Wang, L.; Ding, S.; Wang, Y.; Song, D.; Li, A. Effects of microencapsulated Lactobacillus plantarum and fructooligosaccharide on growth performance, blood immune parameters, and intestinal morphology in weaned piglets. Food Agric. Immunol. 2017, 29, 84–94. [Google Scholar] [CrossRef]
- Qi, R.; Qiu, X.; Du, L.; Wang, J.; Wang, Q.; Huang, J.; Liu, Z. Changes of Gut Microbiota and Its Correlation With Short Chain Fatty Acids and Bioamine in Piglets at the Early Growth Stage. Front. Vet. Sci. 2020, 7, 617259. [Google Scholar] [CrossRef]
- Yang, L.; Jiaqi, H.; Lijia, Z.; Haoyu, L.; Meng, C.; Yan, L.; Shengyu, X.; Zhengfeng, F.; Lianqiang, C.; Bin, F.; et al. Effects of dietary fiber supplementation in gestation diets on sow performance, physiology and milk composition for successive three parities. Anim. Feed Sci. Technol. 2021, 276, 114945. [Google Scholar] [CrossRef]
- Gao, T.; Chen, X.; Liu, Z.; Diao, X. Effects of soybean hulls and corn stalk on the performance, colostrum composition and faecal microflora of pregnant sows. J. Anim. Physiol. Anim. Nutr. 2023, 107, 485–494. [Google Scholar] [CrossRef] [PubMed]
- Feyera, T.; Hu, L.; Eskildsen, M.; Bruun, T.S.; Theil, P.K. Impact of four fiber-rich supplements on nutrient digestibility, colostrum production, and farrowing performance in sows. J. Anim. Sci. 2021, 99, skab247. [Google Scholar] [CrossRef]
- Varel, V.H.; Robinson, I.M.; Jung, H.J. Influence of dietary fiber on xylanolytic and cellulolytic bacteria of adult pigs. Appl. Environ. Microbiol. 1987, 53, 22–26. [Google Scholar] [CrossRef]
- Niu, Q.; Pu, G.; Fan, L.; Gao, C.; Lan, T.; Liu, C.; Du, T.; Kim, S.W.; Niu, P.; Zhang, Z.; et al. Identification of Gut Microbiota Affecting Fiber Digestibility in Pigs. Curr. Issues Mol. Biol. 2022, 44, 4557–4569. [Google Scholar] [CrossRef] [PubMed]
- Lowell, J.E.; Liu, Y.; Stein, H.H. Comparative digestibility of energy and nutrients in diets fed to sows and growing pigs. Arch. Anim. Nutr. 2015, 69, 79–97. [Google Scholar] [CrossRef]
- Yan, H.; Lu, H.; Almeida, V.V.; Ward, M.G.; Adeola, O.; Nakatsu, C.H.; Ajuwon, K.M. Effects of dietary resistant starch content on metabolic status, milk composition, and microbial profiling in lactating sows and on offspring performance. J. Anim. Physiol. Anim. Nutr. 2017, 101, 190–200. [Google Scholar] [CrossRef] [PubMed]
- Lv, Y.; Zhang, S.; Guan, W.; Chen, F.; Zhang, Y.; Chen, J.; Liu, Y. Metabolic transition of milk triacylglycerol synthesis in response to varying levels of palmitate in porcine mammary epithelial cells. Genes Nutr. 2018, 13, 18. [Google Scholar] [CrossRef] [PubMed]
- Nardone, A.; Lacetera, N.; Bernabucci, U.; Ronchi, B. Composition of colostrum from dairy heifers exposed to high air temperatures during late pregnancy and the early postpartum period. J. Dairy Sci. 1997, 80, 838–844. [Google Scholar] [CrossRef]
- Betancur, C.; Martínez, Y.; Tellez-Isaias, G.; Castillo, R.; Ding, X. Effect of Oral Administration with Lactobacillus plantarum CAM6 Strain on Sows during Gestation-Lactation and the Derived Impact on Their Progeny Performance. Mediat. Inflamm. 2021, 2021, 6615960. [Google Scholar] [CrossRef]
- Shang, Q.; Liu, H.; Liu, S.; He, T.; Piao, X. Effects of dietary fiber sources during late gestation and lactation on sow performance, milk quality, and intestinal health in piglets1. J. Anim. Sci. 2019, 97, 4922–4933. [Google Scholar] [CrossRef]



| Nutritional Content | Gestation Diet | Lactation Diet |
|---|---|---|
| Crude protein, % | 14.56 | 18.76 |
| Crude fat, % | 4.95 | 7.53 |
| Crude fiber, % | 6.62 | 4.72 |
| Ash, % | 6.46 | 6.55 |
| Moisture, % | 12.37 | 11.42 |
| Lysine, % | 1.61 | 2.74 |
| Metabolizable energy 1, kcal/kg | 3394.31 | 3467.75 |
| Item | CON | Dietary Supplement Treatment | SEM | p-Value | |||
|---|---|---|---|---|---|---|---|
| S1 | S2 | S3 | S4 | ||||
| n = 10 | n = 10 | n = 10 | n = 10 | n = 10 | |||
| Duration of gestation, day | 112.6 | 112.4 | 112.5 | 113 | 112.8 | 0.12 | 0.536 |
| Length of parturition, min | 465.7 | 357.6 | 381.0 | 364.8 | 447.7 | 27.75 | 0.647 |
| Length of parturition per piglet, min | 42.8 | 23.7 | 27.9 | 31.9 | 32.0 | 2.86 | 0.294 |
| Total feed intake | |||||||
| Gestation day 100–114, kg | 49.8 | 48.9 | 50.1 | 52.1 | 51.6 | 0.40 | 0.051 |
| Lactation day 1–7, kg | 23.1 | 23.7 | 24.8 | 23.5 | 26.4 | 0.89 | 0.792 |
| Average daily feed intake | |||||||
| Gestation day 100–114, kg | 3.7 | 3.7 | 3.8 | 3.7 | 3.7 | 0.03 | 0.842 |
| Lactation day 1–7, kg | 2.9 | 3.0 | 3.1 | 2.9 | 3.3 | 0.11 | 0.792 |
| Body weight | |||||||
| Late gestation day 100, kg | 226.0 | 233.2 | 230.5 | 220.7 | 228.7 | 4.44 | 0.938 |
| Lactation day 7, kg | 208.4 | 216.4 | 216.7 | 197.8 | 209.3 | 3.61 | 0.542 |
| BW changes, kg | −17.6 | −16.8 | −13.8 | −22.9 | −19.4 | 3.44 | 0.963 |
| BW changes, % | −7.2 | −6.8 | −4.1 | −10.2 | −8.4 | 1.47 | 0.829 |
| Backfat thickness (P2) | |||||||
| Late gestation day 100, mm | 21.0 | 21.8 | 19.7 | 18.8 | 18.4 | 0.55 | 0.202 |
| Lactation day 7, mm | 18.6 | 21.2 | 19.3 | 18.8 | 18.8 | 0.54 | 0.460 |
| BF changes, mm | −2.4 | −0.6 | −0.4 | 0.00 | 0.4 | 0.46 | 0.395 |
| BF changes, % | −10.2 | −2.3 | −1.9 | 1.9 | 2.5 | 2.11 | 0.349 |
| Total born piglets, n | 14.7 | 17.6 | 15.7 | 14.6 | 16.1 | 0.51 | 0.335 |
| Live-born piglets, n | 11.5 b | 15.3 a | 13.9 ab | 12.8 ab | 14.4 a | 0.41 | 0.026 |
| Alive percentage, % | 79.7 | 87.2 | 88.6 | 80.7 | 90.0 | 1.62 | 0.147 |
| Piglet birth weight, kg | 1.4 | 1.4 | 1.5 | 1.5 | 1.4 | 0.03 | 0.679 |
| Stillborn piglets, % | 2.6 | 2.2 | 1.3 | 2.2 | 1.40 | 0.34 | 0.727 |
| Mummified piglet, % | 1.4 | 0.9 | 1.0 | 1.0 | 0.70 | 0.11 | 0.358 |
| Colostrum production, kg/sow | 4.3 c | 6.5 ab | 5.4 bc | 4.5 c | 6.9 a | 0.26 | 0.001 |
| Colostrum intake per piglet, g/d/piglet | 389.2 | 435.4 | 390.8 | 411.1 | 480.5 | 13.66 | 0.185 |
Disclaimer/Publisher’s Note: The statements, opinions and data contained in all publications are solely those of the individual author(s) and contributor(s) and not of MDPI and/or the editor(s). MDPI and/or the editor(s) disclaim responsibility for any injury to people or property resulting from any ideas, methods, instructions or products referred to in the content. |
© 2025 by the authors. Licensee MDPI, Basel, Switzerland. This article is an open access article distributed under the terms and conditions of the Creative Commons Attribution (CC BY) license (https://creativecommons.org/licenses/by/4.0/).
Share and Cite
Wichasit, N.; Tartrakoon, W.; Charoensook, R.; Singanusong, R.; Loor, J.J.; Shoji, G.; Onoda, S.; Incharoen, T. Effect of Microencapsulated Medium-Chain Fatty Acids, Lignocellulose, and Heat-Killed Lactobacillus plantarum L-137 Supplementation on Lactating Sow Performance, and Nutritional and Immunological Parameters in Colostrum. Vet. Sci. 2025, 12, 134. https://doi.org/10.3390/vetsci12020134
Wichasit N, Tartrakoon W, Charoensook R, Singanusong R, Loor JJ, Shoji G, Onoda S, Incharoen T. Effect of Microencapsulated Medium-Chain Fatty Acids, Lignocellulose, and Heat-Killed Lactobacillus plantarum L-137 Supplementation on Lactating Sow Performance, and Nutritional and Immunological Parameters in Colostrum. Veterinary Sciences. 2025; 12(2):134. https://doi.org/10.3390/vetsci12020134
Chicago/Turabian StyleWichasit, Nithat, Wandee Tartrakoon, Rangsun Charoensook, Riantong Singanusong, Juan J. Loor, Gaku Shoji, Satoru Onoda, and Tossaporn Incharoen. 2025. "Effect of Microencapsulated Medium-Chain Fatty Acids, Lignocellulose, and Heat-Killed Lactobacillus plantarum L-137 Supplementation on Lactating Sow Performance, and Nutritional and Immunological Parameters in Colostrum" Veterinary Sciences 12, no. 2: 134. https://doi.org/10.3390/vetsci12020134
APA StyleWichasit, N., Tartrakoon, W., Charoensook, R., Singanusong, R., Loor, J. J., Shoji, G., Onoda, S., & Incharoen, T. (2025). Effect of Microencapsulated Medium-Chain Fatty Acids, Lignocellulose, and Heat-Killed Lactobacillus plantarum L-137 Supplementation on Lactating Sow Performance, and Nutritional and Immunological Parameters in Colostrum. Veterinary Sciences, 12(2), 134. https://doi.org/10.3390/vetsci12020134

