Hematologic and Serum Biochemical Characteristics of Belgian Blue Cattle
Abstract
Simple Summary
Abstract
1. Introduction
2. Materials and Methods
2.1. Study Population
2.2. Inclusion Criteria
2.3. Exclusion Criteria
2.4. Sample Collection
2.5. Preanalytical Handling
2.6. Quality Control and Sample Analysis
2.7. Statistical Analysis
3. Results
3.1. Study Population
3.2. Hematologic Analysis
3.3. Biochemical Analysis
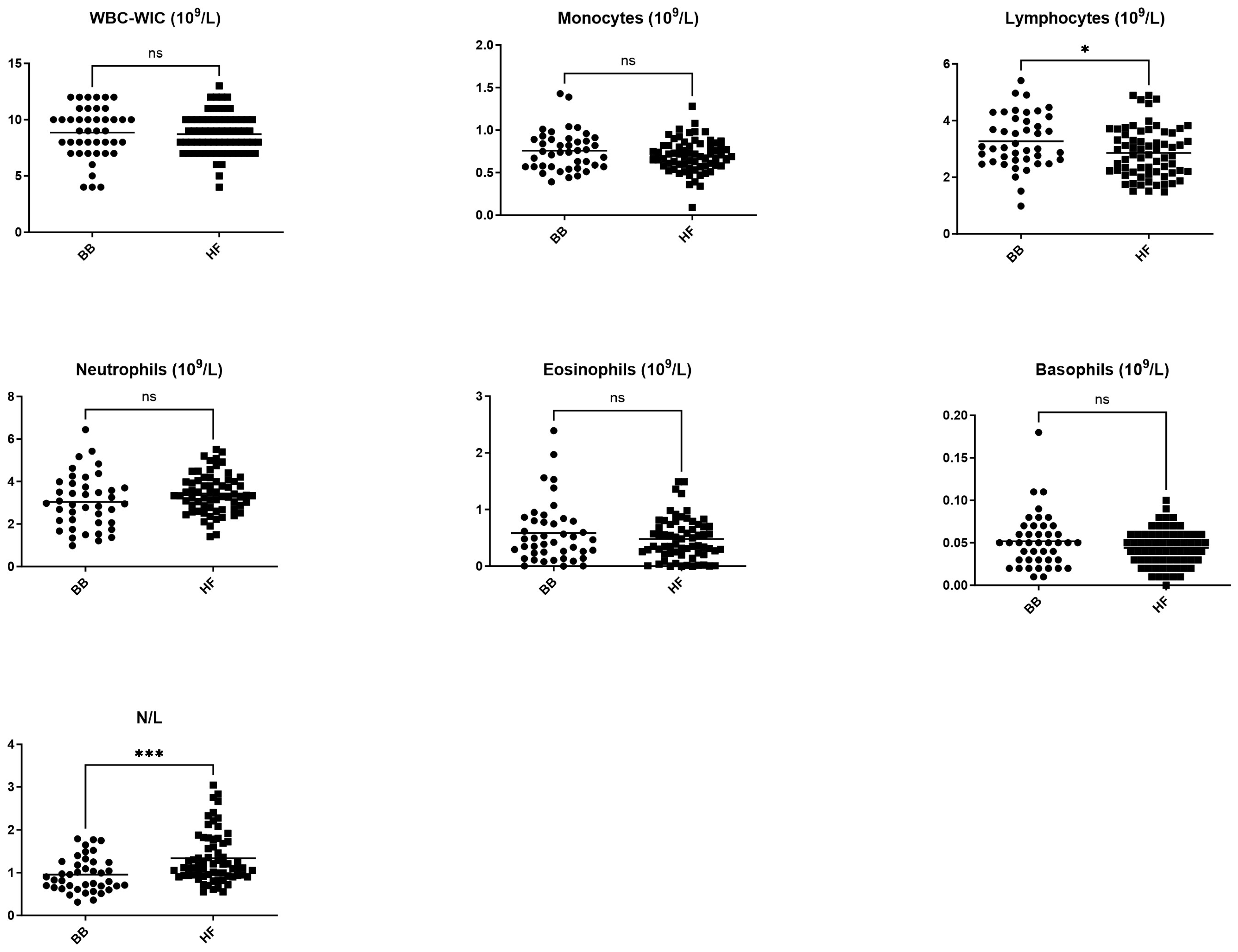
3.4. Comparison of Hematologic Parameters in Belgian Blue and Holstein Friesian Populations
3.5. Comparison of Biochemistry Parameters in Belgian Blue and Holstein Friesian Populations
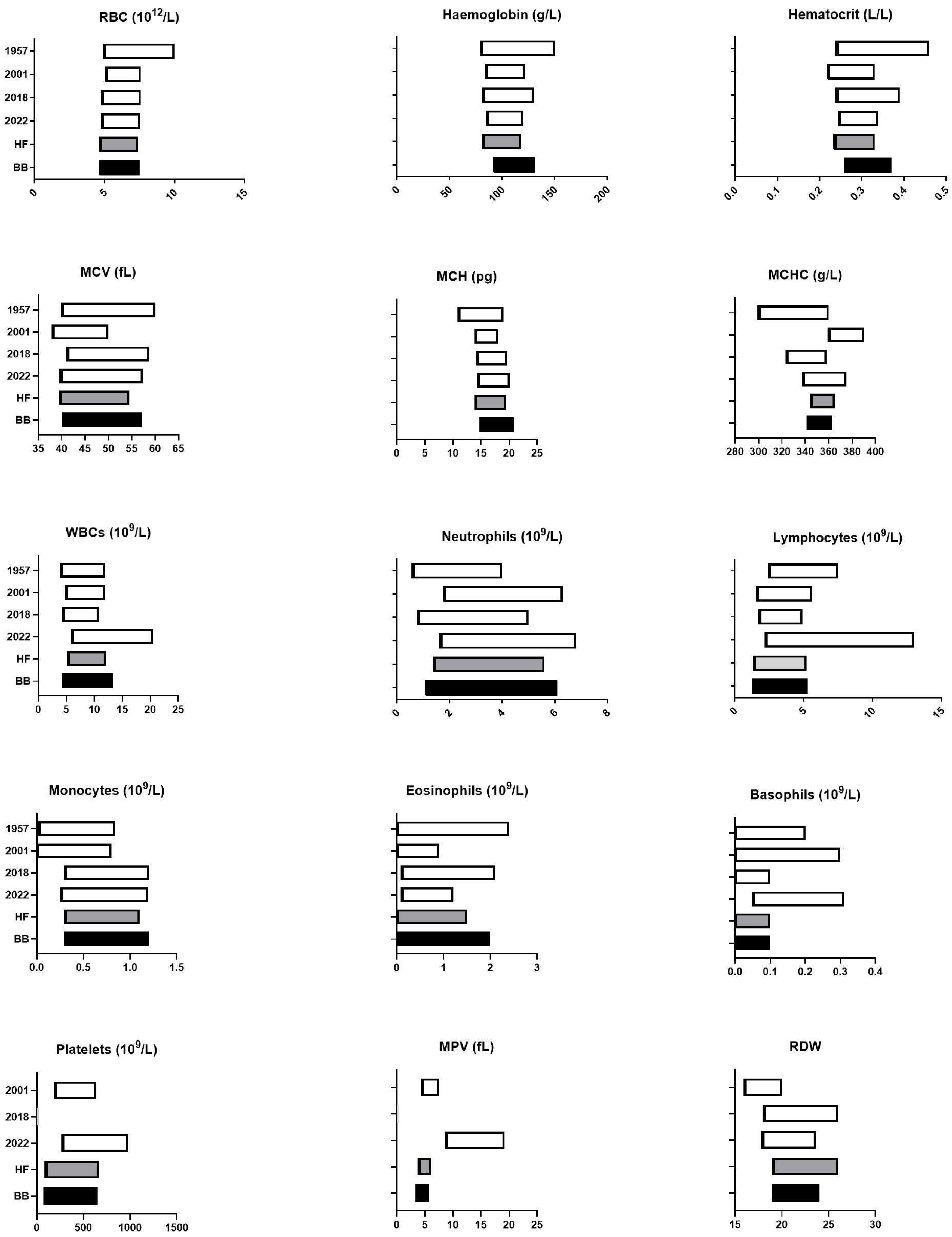
3.6. Comparison of Our Proposed Breed-Specific Reference Intervals with Previously Published Data
4. Discussion
5. Conclusions
Author Contributions
Funding
Institutional Review Board Statement
Informed Consent Statement
Data Availability Statement
Acknowledgments
Conflicts of Interest
References
- Grobet, L.; Royo Martin, L.J.; Poncelet, D.; Pirottin, D.; Brouwers, B.; Riquet, J.; Schoeberlein, A.; Dunner, S.; Ménissier, F.; Massabanda, J.; et al. A deletion in the bovine myostatin gene causes the double-muscled phenotype in cattle. Nat Genet. 1997, 17, 71–74. [Google Scholar] [CrossRef] [PubMed]
- Jakaria, J.; Aliyya, W.L.N.; Ismail, R.; Siswanti, S.Y.; Ulum, M.F.; Priyanto, R. Discovery of SNPs and indel 11-bp of the myostatin gene and its association with the double-muscled phenotype in Belgian blue crossbred cattle. Gene 2021, 784, 145598. [Google Scholar] [CrossRef]
- Ansay, M.; Hanset, R. Anatomical, Physiological and Biochemical Differences between Conventional and Double-Muscled Cattle in the Belgian Blue and White Breed. Livest. Prod. Sci. 1979, 6, 5–13. [Google Scholar] [CrossRef]
- Doornenbal, H.; Tong, A.K.W.; Murray, N.L. Reference values of blood parameters in beef cattle of different ages and stages of lactation. Can. J. Vet. Res. 1988, 52, 99–105. [Google Scholar] [PubMed]
- Nielsen, L.; Kjelgaard-Hansen, M.; Jensen, A.L.; Kristensen, A.T. Breed-specific variation of hematologic and biochemical analytes in healthy adult Bernese Mountain dogs. Vet. Clin. Pathol. 2010, 39, 20–28. [Google Scholar] [CrossRef] [PubMed]
- Lund, C.; Kuhl, S.; Mischke, R.; Günzel-Apel, A.R. Reference values of the red blood profile in beagle, German shepherd and golden retriever puppies. Berl. Munch. Tierarztl. Wochenschr. 2000, 113, 447–453. [Google Scholar] [PubMed]
- Tsiamadis, V.; Kougioumtzis, A.; Siachos, N.; Panousis, N.; Kritsepi-Konstantinou, M.; Valergakis, G.E. Hematology reference intervals during the prepartum period, first week after calving, and peak lactation in clinically healthy Holstein cows. Vet. Vet. Clin. Pathol. 2022, 51, 134–145. [Google Scholar] [CrossRef] [PubMed]
- Porter, J.A., Jr.; Canaday, W.R., Jr. Hematologic values in mongrel and greyhound dogs being screened for research use. J. Am. Vet. Med. Assoc. 1971, 159, 1603–1606. [Google Scholar] [PubMed]
- Fayos, M.; Couto, C.G.; Iazbik, M.C.; Wellman, M.L. Serum protein electrophoresis in retired racing Greyhounds. Vet. Clin. Pathol. 2005, 34, 397–400. [Google Scholar] [CrossRef]
- George, J.W.; Snipes, J.; Lane, V.M. Comparison of bovine hematology reference intervals from 1957 to 2006. Vet. Clin. Pathol. 2010, 39, 138–148. [Google Scholar] [CrossRef]
- Alberghina, D.; Giannetto, C.; Vazzana, I.; Ferrantelli, V.; Piccione, G. Reference intervals for total protein concentration, serum protein fractions, and albumin/globulin ratios in clinically healthy dairy cows. J. Vet. Diagn. Investig. 2011, 23, 111–114. [Google Scholar] [CrossRef]
- Roland, L.; Drillich, M.; Iwersen, M.J. Hematology as a diagnostic tool in bovine medicine. Vet. Diagn. Investig. 2014, 26, 592–598. [Google Scholar] [CrossRef]
- Wood, R.D. Hematology of bovids. In Schalm’s Veterinary Hematology, 7th ed.; Brooks, M.B., Harr, K.E., Seeling, D.M., Wardrop, K.J., Weiss, D.J., Eds.; Ames: Wiley Blackwell: Hoboken, NJ, USA, 2022; pp. 829–835. [Google Scholar]
- Friedrichs, K.R.; Harr, K.E.; Freeman, K.P.; Szladovits, B.; Walton, R.M.; Barnhart, K.F.; Blanco-Chavez, J. American Society for Veterinary Clinical Pathology. ASVCP reference interval guidelines: Determination of de novo reference intervals in veterinary species and other related topics. Vet. Clin. Pathol. 2012, 41, 441–453. [Google Scholar] [CrossRef]
- Divers, T.J.; Peek, S.F. The Clinical Examination. In Rebhun’s Diseases of Dairy Cattle, 3rd ed.; Elsevier: Amsterdam, The Netherlands, 2018; pp. 2–16. [Google Scholar]
- Metzner, M.; Horber, J.; Rademacher, G.; Klee, W. Application of the glutaraldehyde test in cattle. J. Vet. Med. A Physiol. Pathol. Clin. Med. 2007, 54, 449–454. [Google Scholar] [CrossRef]
- Geffré, A.; Concordet, D.; Braun, J.P.; Trumel, C. Reference value advisor: A new freeware set of macroinstructions to calculate reference intervals with Microsoft Excel. Vet. Clin. Pathol. 2011, 40, 107–112. [Google Scholar] [CrossRef]
- CLSI. Defining, establishing, and verifying reference intervals in the clinical laboratory. In Approved Guideline, 3rd ed.; CLSI EPC28-A3c; Clinical and Laboratory Standards Institute: Wayne, PA, USA, 2010. [Google Scholar]
- Herman, N.; Trumel, C.; Geffré, A.; Braun, J.P.; Thibault, M.; Schelcher, F.; Bourgès-Abella, N. Hematology reference intervals for adult cows in France using the Sysmex XT-2000iV analyzer. J. Vet. Diagn. Investig. 2018, 30, 678–687. [Google Scholar] [CrossRef] [PubMed]
- Chen, H.; Yu, B.; Liu, C.; Cheng, L.; Yu, J.; Hu, X.; Xiang, M. Hematology Reference Intervals for Holstein Cows in Southern China: A Study of 786 Subjects. Vet. Sci. 2022, 9, 565. [Google Scholar] [CrossRef]
- Cozzi, G.; Ravarotto, L.; Gottardo, F.; Stefani, A.L.; Contiero, B.; Moro, L.; Brscic, M.; Dalvit, P. Short communication: Reference values for blood parameters in Holstein dairy cows: Effects of parity, stage of lactation, and season of production. J. Dairy Sci. 2011, 94, 3895–3901. [Google Scholar] [CrossRef]
- Brscic, M.; Cozzi, G.; Lora, I.; Stefani, A.L.; Contiero, B.; Ravarotto, L.; Gottardo, F. Short communication: Reference limits for blood analytes in Holstein late-pregnant heifers and dry cows: Effects of parity, days relative to calving, and season. J. Dairy Sci. 2015, 98, 7886–7892. [Google Scholar] [CrossRef]
- Kaneko, J.J.; Harvey, J.W.; Bruss, M.L. Clinical Biochemistry of Domestic Animals, 6th ed.; Academic Press: San Diego, CA, USA, 2008; pp. 883–888. [Google Scholar]
- Lumsden, J.H.; Mullen, K.; Rowe, R. Hematology and biochemistry reference values for female Holstein cattle. Can. J. Comp. Med. 1980, 44, 24–31. [Google Scholar]
- Grünwaldt, E.G.; Guevara, J.C.; Estevez, O.R.; Vicente, A.; Rousselle, H.; Alcuten, N.; Aguerregaray, D.; Stasi, C.R. Biochemical and haematological measurements in beef cattle in Mendoza plain rangelands (Argentina). Trop. Anim. Health Prod. 2005, 37, 527–540. [Google Scholar] [CrossRef] [PubMed]
- Motta, G.A.; Neto, P.S.M.; Nociti, R.P.; Santana, Á.E. Hematological Normality, Serum Biochemistry, and Acute Phase Proteins in Healthy Beef Calves in the Brazilian Savannah. Animals 2023, 13, 2398. [Google Scholar] [CrossRef] [PubMed]
- Clemmons, B.A.; Ault-Seay, T.B.; Henniger, M.T.; Martin, M.G.; Mulon, P.Y.; Anderson, D.E.; Voy, B.H.; McLean, K.J.; Myer, P.R. Blood parameters associated with residual feed intake in beef heifers. BMC Res. Notes 2023, 16, 177. [Google Scholar] [CrossRef] [PubMed]
- Meuten, D.; Sample, S. Laboratory Evaluation and Interpretation of the Urinary System. In Veterinary Hematology, Clinical Chemistry and Cytology, 3rd ed.; Thrall, M.A., Weiser, G., Eds.; Wiley Blackwell: Hoboken, NJ, USA, 2022; pp. 343–400. [Google Scholar]
- Radostits, O.; Gay, C.; Hinchcliff, K.; Constable, P. Veterinary Medicine. In A Textbook of the Diseases of Cattle, Sheep, Pigs, Goats and Horses, 10th ed.; Saunders Elsevier: Philadelphia, PA, USA, 2007; p. 550. [Google Scholar]
- Walton, R.M. Subject-based reference values: Biological variation, individuality, and reference change values. Vet. Clin. Pathol. 2012, 41, 175–181. [Google Scholar] [CrossRef] [PubMed]
- Allison, R.W. Laboratory detection of muscle injury. In Veterinary Hematology, Clinical Chemistry and Cytology, 3rd ed.; Thrall, M.A., Weiser, G., Eds.; Wiley Blackwell: Hoboken, NJ, USA, 2022; pp. 498–499. [Google Scholar]
- Coenen, M.C.; Gille, L.; Eppe, J.; Casalta, H.; Bayrou, C.; Dubreucq, P.; Frisée, V.; Moula, N.; Evrard, J.; Martinelle, L.; et al. Blood Inflammatory, Hydro-Electrolytes and Acid-Base Changes in Belgian Blue Cows Developing Parietal Fibrinous Peritonitis or Generalised Peritonitis after Caesarean Section. Vet. Sci. 2022, 9, 134. [Google Scholar] [CrossRef] [PubMed]
- Carlson, G.P. Clinical Chemistry Tests. In Large Animal Internal Medicine, 4th ed.; Smith, P.B., Ed.; Mosby Elsevier: St Louis, MI, USA, 2009; pp. 375–379. [Google Scholar]
- Miglio, A.; Morelli, C.; Maresca, C.; Felici, A.; Di Giambattista, A.; Antognoni, M.T. Hematologic reference intervals for the Italian Heavy Draft horse. Comp. Clin. Pathol. 2009, 28, 833–840. [Google Scholar] [CrossRef]
- Zaldívar-López, S.; Marín, L.M.; Iazbik, M.C.; Westendorf-Stingle, N.; Hensley, S.; Couto, C.G. Clinical pathology of Greyhounds and other sighthounds. Vet. Clin. Pathol. 2011, 40, 414–425. [Google Scholar] [CrossRef]






| Parameter/Analyte | Unit | Method | Analyzer | CV (%) | Bias | Teobs | TEa (%) ASVCP |
|---|---|---|---|---|---|---|---|
| HEMATOLOGY | |||||||
| Leukocytes | 109/L | Impedance | Cell-Dyn 3700, Abbott | 5.5 | 21.8 | 32.8 | 21.0 |
| Leukocytes | 109/L | Optical | Cell-Dyn 3700, Abbott | 2.4 | 3.8 | 8.6 | 14.3 |
| Hematocrit | L/L | Calculation | Cell-Dyn 3700, Abbott | 2.5 | 2.3 | 7.3 | 10.0 |
| Erythrocytes | 1012 | Impedance | Cell-Dyn 3700, Abbott | 1.9 | 3.7 | 7.5 | 10.0 |
| Hemoglobin | g/L | Colorimetric | Cell-Dyn 3700, Abbott | 1.4 | 0.5 | 3.3 | 1.9 |
| MCV | fL | Impedance | Cell-Dyn 3700, Abbott | 1.3 | 1.1 | 3.7 | 7.0 |
| MCH | pg | Calculation | Cell-Dyn 3700, Abbott | 1.7 | 3.9 | 7.3 | NA |
| MCHC | g/L | Calculation | Cell-Dyn 3700, Abbott | 2.0 | 2.6 | 6.6 | 7.0 |
| Platelets | 109/L | Impedance | Cell-Dyn 3700, Abbott | 3.9 | 5.2 | 13.0 | 25.0 |
| BIOCHEMISTRY | |||||||
| Creatinine | µmol/L | Jaffe rate blanked compensated (−26 µmol/L) | Respons, Dyasis | 3.4 | 6.7 | 13.5 | 20.0 |
| CK | U/L | CK-NAC substrate start (DGKC), at 37 °C | Respons, Dyasis | 4.7 | 9.7 | 19.1 | 30.0 |
| AST | U/L | Tris buffer with P5P, IFCC/SFBC, at 37 °C | Respons, Dyasis | 12.6 | 8.9 | 34.1 | 30.0 |
| Proteins | g/L | Biuret reaction, end point | Respons, Dyasis | 4.0 | 4.0 | 12.0 | 10.0 |
| Albumin | g/ | Serum proteins electrophoresis, | Hydragel protein K20, Sebia cellulose | 4.1 | 3.2 | 11.4 | 15.0 |
| Globulins | g/L | Serum proteins electrophoresis | Hydragel protein K20, Sebia cellulose | 4.1 | 4.8 | 13.0 | 15.0 |
| Five HF Cows Were Excluded after Clinical Examination for the Following Reasons: One Was Dehydrated, One Had Severe Microcytosis Indicating Possible Chronic Blood Loss, Two Had Positive Bovi-ƴ Tests, and One Had Severe Leukocytosis. | Stage Preg (M) | Age (Y) | Weight (kg) | BCS (/5) | RR | Rectal Temp | ||||||
|---|---|---|---|---|---|---|---|---|---|---|---|---|
| HF | BB | HF | BB | HF | BB | HF | BB | HF | BB | HF | BB | |
| Median | 4 | 6 | 4.5 | 4 | 650 | 650 | 3 | 3 | 32 | 28 | 38.5 | 38.3 |
| Mean | 4 | 7 | 5 | 4 | 646 | 661 | 3 | 3 | 31 | 28 | 38.0 | 38.0 |
| Minimum | 1 | 1 | 2.5 | 2 | 500 | 500 | 1.5 | 2.5 | 18 | 12 | 37.6 | 36.7 |
| Maximum | 7.5 | 9 | 8 | 7 | 850 | 800 | 4 | 4 | 48 | 56 | 38.9 | 39.6 |
| Parameter | SI Units | n | Mean | SD | Median | Min | Max | p-Value a | Distribution a | Method a | LRL of RI | URL of RI | 90% CI of LRL | 90% CI of URL |
|---|---|---|---|---|---|---|---|---|---|---|---|---|---|---|
| PCV | L/L | 43 | 0.32 | 0.03 | 0.32 | 0.23 | 0.36 | 0.362 | G | P | 0.26 | 0.37 | 0.25–0.27 | 0.36–0.38 |
| RBCs | 1012/L | 43 | 6.5 | 0.6 | 6.7 | 4.9 | 7.3 | 0.018–0.634 * | GT | PT | 4.7 | 7.5 | ND–5.4 | 7.3–7.6 |
| Hemoglobin | g/L | 43 | 112 | 10 | 112 | 82 | 130 | 0.199 | G | P | 92 | 131 | 88–97 | 127–136 |
| MCV | fL | 43 | 48.7 | 4.1 | 48.3 | 41.1 | 59.2 | 0.339 | G | P | 40.3 | 57.1 | 38.5–42.3 | 55.3–58.9 |
| MCHC | g/L | 42 | 353 | 5 | 353 | 340 | 365 | 0.599 | G | P | 342 | 363 | 340–345 | 361–365 |
| MCH | pg | 43 | 17.2 | 1.4 | 16.8 | 14.6 | 21.0 | 0.02–0.374 * | GT | PT | 14.9 | 20.8 | 14.6–15.3 | 19.7–22.1 |
| RDW | 43 | 21.3 | 1.3 | 21.2 | 18.7 | 24.0 | 0.401 | G | P | 19.0 | 24.0 | 18.2–19.3 | 23.4–24.5 | |
| WBCs | 109/L | 43 | 8.8 | 2.2 | 8.8 | 3.6 | 12.3 | 0.295 | G | P | 4.4 | 13.3 | 3.4–5.4 | 12.2–14.3 |
| Neutrophils | 109/L | 43 | 2.9 | 1.3 | 2.9 | 0.5 | 6.4 | 0.962 | G | P | 1.1 | 6.1 | 0.9–1.4 | 5.3–7.0 |
| Lymphocytes | 109/L | 43 | 3.3 | 0.9 | 3.0 | 1.0 | 5.4 | 0.227 | G | P | 1.3 | 5.2 | 0.9–1.8 | 4.8–5.6 |
| Monocytes | 109/L | 42 | 0.8 | 0.2 | 0.7 | 0.4 | 1.4 | 0.1 | G | P | 0.3 | 1.2 | 0.2–0.4 | 1.1–1.3 |
| Eosinophils | 109/L | 43 | 0.6 | 0.5 | 0.5 | 0.0 | 2.4 | 0–0.91 * | GT | PT | 0.0 | 2.0 | 0.0–0.0 | 1.5–2.6 |
| Basophils | 109/L | 43 | 0.1 | 0.0 | 0.1 | 0.0 | 0.2 | 0.008–0.393 * | GT | PT | 0.0 | 0.1 | 0.0–0.0 | 0.1–0.2 |
| N/L | 43 | 1.0 | 0.5 | 0.8 | 0.2 | 2.5 | 0.072 | G | P | 0.0 | 2.0 | 0.0–0.2 | 1.7–2.1 | |
| Platelets | 109/L | 43 | 367 | 139 | 364 | 113 | 679 | 0.215 | G | P | 83 | 650 | 21–146 | 586–707 |
| MPV | fL | 35 | 4.6 | 0.5 | 4.6 | 3.7 | 6.4 | 0.145 | G | P | 3.5 | 5.8 | 3.3–3.8 | 5.5–6.0 |
| Parameter | SI Units | n | Mean | SD | Median | Min | Max | p-Value a | Distribution a | Method a | LRL of RI | URL of RI | 90% CI of LRL | 90% CI of URL |
|---|---|---|---|---|---|---|---|---|---|---|---|---|---|---|
| PCV | L/L | 68 | 0.28 | 0.02 | 0.28 | 0.23 | 0.33 | 0.889 | G | P | 0.24 | 0.33 | 0.23–0.24 | 0.32–0.34 |
| RBCs | 1012/L | 68 | 6.1 | 0.7 | 6.1 | 5.0 | 9.0 | 0.147 | G | P | 4.7 | 7.4 | 4.5–4.9 | 7.2–7.7 |
| Hemoglobin | g/L | 68 | 100 | 9 | 100 | 81 | 12 | 0.886 | G | P | 82 | 118 | 80–86 | 115–121 |
| MCV | fL | 67 | 47.0 | 3.7 | 46.9 | 40.5 | 57.2 | 0.311 | G | P | 39.6 | 54.5 | 38.3–40.8 | 53.1–55.7 |
| MCHC | g/L | 67 | 355 | 5 | 355 | 345 | 367 | 0.197 | G | P | 345 | 365 | 344–347 | 363–367 |
| MCH | pg | 67 | 16.7 | 1.4 | 16.7 | 14.0 | 20.3 | 0.353 | G | P | 14.0 | 19.5 | 13.5–14.5 | 19.0–19.9 |
| RDW | 67 | 21.5 | 1.7 | 21.3 | 18.5 | 25.6 | 0.008–0.148 * | GT | PT | 19 | 26 | 18.4–19.1 | 24.8–27.4 | |
| WBCs | 109/L | 68 | 8.7 | 1.7 | 8.6 | 4.5 | 12.5 | 0.529 | G | P | 5.3 | 12.1 | 4.7–5.8 | 11.4–12.7 |
| Neutrophils | 109/L | 68 | 3.5 | 1 | 3.4 | 1.4 | 6.7 | 0.143 | G | P | 1.4 | 5.6 | 1.0–1.8 | 5.3–6.0 |
| Lymphocytes | 109/L | 68 | 2.9 | 0.9 | 2.8 | 1.5 | 5.7 | 0.039–0.448 * | GT | PT | 1.4 | 5.2 | 1.3–1.6 | 4.6–5.7 |
| Monocytes | 109/L | 68 | 0.7 | 0.2 | 0.7 | 0.1 | 1.3 | 0.718 | G | P | 0.3 | 1.1 | 0.3–0.4 | 1.0–1.1 |
| Eosinophils | 109/L | 68 | 0.5 | 0.4 | 0.4 | 0 | 1.5 | 0.006–0.006 | NG | NP | 0 | 1.5 | 0.0–0.0 | 1.1–1.5 |
| Basophils | 109/L | 68 | 0.0 | 0.0 | 0.0 | 0.0 | 0.1 | 0.922 | G | P | 0.0 | 0.1 | 0.0–0.0 | 0.1–0.1 |
| N/L | 68 | 1.3 | 0.6 | 1.1 | 0.6 | 3.0 | 0–0.182 * | GT | PT | 0.6 | 3.0 | 0.6–0.6 | 2.5–3.4 | |
| Platelets | 109/L | 61 | 379 | 140 | 392 | 138 | 673 | 0.15 | G | P | 96 | 662 | 49–146 | 610–712 |
| MPV | fL | 61 | 4.7 | 0.6 | 4.6 | 3.9 | 7.0 | 0.006–0.950 * | GT | PT | 3.9 | 6.2 | 3.8–4.0 | 5.8–6.7 |
| Measurand | SI Units | n | Mean | SD | Median | Min | Max | p-Value a | Distri-bution a | Method a | LRL of RI | URL of RI | 90% CI of LRL | 90% CI of URL |
|---|---|---|---|---|---|---|---|---|---|---|---|---|---|---|
| Creatinine | µmol/L | 84 | 234 | 31 | 230.5 | 163 | 319 | 0.462 | G | P | 172 | 296 | 162–183 | 285–305 |
| AST | U/L | 66 | 118 | 52 | 107 | 66 | 403 | 0–0 | NG | NP | 67 | 304 | 66–73 | 212–403 |
| CK | U/L | 58 | 520 | 503 | 349 | 126 | 2936 | 0–0.909 | GT | PT | 131 | 1830 | 122–146 | 1385–2401 |
| Total protein | g/L | 70 | 71.9 | 5.3 | 71.0 | 62.0 | 89.0 | 0.012–0.434 * | GT | PT | 63.3 | 84.5 | 62.2–64.5 | 81.7–88.0 |
| Albumin | g/L | 70 | 31.7 | 4.6 | 31.0 | 24.2 | 40.7 | 0.004–0.052 * | GT | PT | 23.8 | 42.4 | 22.8–25.0 | 40.1–44.6 |
| Globulin | g/L | 70 | 32.8 | 12 | 32.8 | 14.6 | 55.4 | 0–0 | NG | NP | 15.2 | 53.4 | 14.6–16.4 | 50.8–55.4 |
| A/G ratio | 69 | 0.8 | 0.2 | 0.8 | 0.5 | 1.5 | 0–0.129 * | GT | PT | 0.5 | 1.4 | 0.4–0.5 | 1.3–1.6 | |
| Alpha-1 globulins | g/L | 70 | 4.4 | 1.2 | 4.7 | 0.5 | 6.3 | 0–0.022 | NG | NP | 1.6 | 6.3 | 0.8–2.5 | 6.1–6.5 |
| Alpha-2 globulins | g/L | 70 | 8 | 1.3 | 8.1 | 2.9 | 11.0 | 0.365 | G | P | 5.4 | 10.6 | 5.0–5.9 | 10.2–11.1 |
| Beta globulins | g/L | 70 | 4.8 | 0.7 | 4.7 | 3.5 | 6.8 | 0.479 | G | P | 3.4 | 6.1 | 3.2–3.7 | 5.9–6.4 |
| Gamma globulins | g/L | 70 | 22.7 | 5.8 | 22.6 | 4.5 | 35.5 | 0.218 | G | P | 11.0 | 34.3 | 8.9–12.9 | 32.2–36.2 |
| Measurand | SI Units | n | Mean | SD | Median | Min | Max | p-Value | Distribution a | Method a | LRL of RI | URL of RI a | 90% CI of LRL | 90% CI of URL |
|---|---|---|---|---|---|---|---|---|---|---|---|---|---|---|
| Creatinine | µmol/L | 75 | 101 | 15 | 99 | 73 | 143 | 0.152 | G | P | 71 | 130 | 66–76 | 125–135 |
| AST | U/L | 33 | 92 | 33 | 81 | 60 | 221 | 0–0.324 * | GT | PT | 60 | 179 | 57–64 | 143–257 |
| CK | U/L | 32 | 134 | 52 | 121 | 71 | 314 | 0–0.107 * | GT | PT | 70 | 260 | 63–79 | 216–316 |
| Total protein | g/L | 62 | 75.0 | 5.6 | 74.0 | 66.0 | 86.0 | 0.012–ND * | GT | NP | 66.0 | 85.4 | 66.0–67.2 | 84.9 |
| Albumin | g/L | 62 | 38.5 | 2.8 | 38.9 | 29.3 | 43.0 | 0.162 | G | P | 32.8 | 44.1 | 31.8–33.8 | 43.1–45.0 |
| Globulin | g/L | 62 | 36.5 | 4.7 | 36.2 | 28.7 | 49.5 | 0.498 | G | P | 27.1 | 45.9 | 25.5–29.0 | 44.2–47.5 |
| A/G ratio | 62 | 1.1 | 0.1 | 1.1 | 0.7 | 1.4 | 0.529 | G | P | 0.8 | 1.4 | 0.7–0.8 | 1.3–1.4 | |
| Alpha-1 globulins | g/dL | 62 | 3.5 | 0.6 | 3.5 | 2.1 | 5.5 | 0.523 | G | P | 2.3 | 4.6 | 2.2–2.5 | 4.4–4.8 |
| Alpha-2 globulins | g/dL | 62 | 7.8 | 0.8 | 7.7 | 6.1 | 9.7 | 0.413 | G | P | 6.3 | 9.4 | 6.0–6.6 | 9.1–9.7 |
| Beta globulins | g/dL | 62 | 5.4 | 0.6 | 5.3 | 4.1 | 6.9 | 0.811 | G | P | 4.1 | 6.7 | 3.9–4.4 | 6.5–6.9 |
| Gamma globulins | g/dL | 62 | 19.8 | 3.7 | 19.6 | 13.9 | 31.2 | 0.111 | G | P | 12.2 | 27.3 | 10.9–13.6 | 25.9–28.7 |
Disclaimer/Publisher’s Note: The statements, opinions and data contained in all publications are solely those of the individual author(s) and contributor(s) and not of MDPI and/or the editor(s). MDPI and/or the editor(s) disclaim responsibility for any injury to people or property resulting from any ideas, methods, instructions or products referred to in the content. |
© 2024 by the authors. Licensee MDPI, Basel, Switzerland. This article is an open access article distributed under the terms and conditions of the Creative Commons Attribution (CC BY) license (https://creativecommons.org/licenses/by/4.0/).
Share and Cite
Guyot, H.; Legroux, D.; Eppe, J.; Bureau, F.; Cannon, L.; Ramery, E. Hematologic and Serum Biochemical Characteristics of Belgian Blue Cattle. Vet. Sci. 2024, 11, 222. https://doi.org/10.3390/vetsci11050222
Guyot H, Legroux D, Eppe J, Bureau F, Cannon L, Ramery E. Hematologic and Serum Biochemical Characteristics of Belgian Blue Cattle. Veterinary Sciences. 2024; 11(5):222. https://doi.org/10.3390/vetsci11050222
Chicago/Turabian StyleGuyot, Hugues, Damien Legroux, Justine Eppe, Fabrice Bureau, Leah Cannon, and Eve Ramery. 2024. "Hematologic and Serum Biochemical Characteristics of Belgian Blue Cattle" Veterinary Sciences 11, no. 5: 222. https://doi.org/10.3390/vetsci11050222
APA StyleGuyot, H., Legroux, D., Eppe, J., Bureau, F., Cannon, L., & Ramery, E. (2024). Hematologic and Serum Biochemical Characteristics of Belgian Blue Cattle. Veterinary Sciences, 11(5), 222. https://doi.org/10.3390/vetsci11050222

