Ultra-High-Performance Liquid Chromatography–Orbitrap-MS-Based Untargeted Lipidomics Reveal Lipid Characteristics of a Clinical Strain of Mycoplasma bovis from Holstein Cow
Simple Summary
Abstract
1. Introduction
2. Materials and Methods
2.1. Bacterial Strains and Media
2.2. Transmission Electron Microscopy
2.3. Extraction of Lipids from M. bovis Strains
2.4. UHPLC–MS/MS Analysis
2.5. Multivariate Data Processing and Analysis
3. Results
3.1. Morphological Observations of M. bovis
3.2. Lipid Content and Composition of M. bovis
3.3. Multidimensional Statistical Analysis of Lipid Molecules of M. bovis
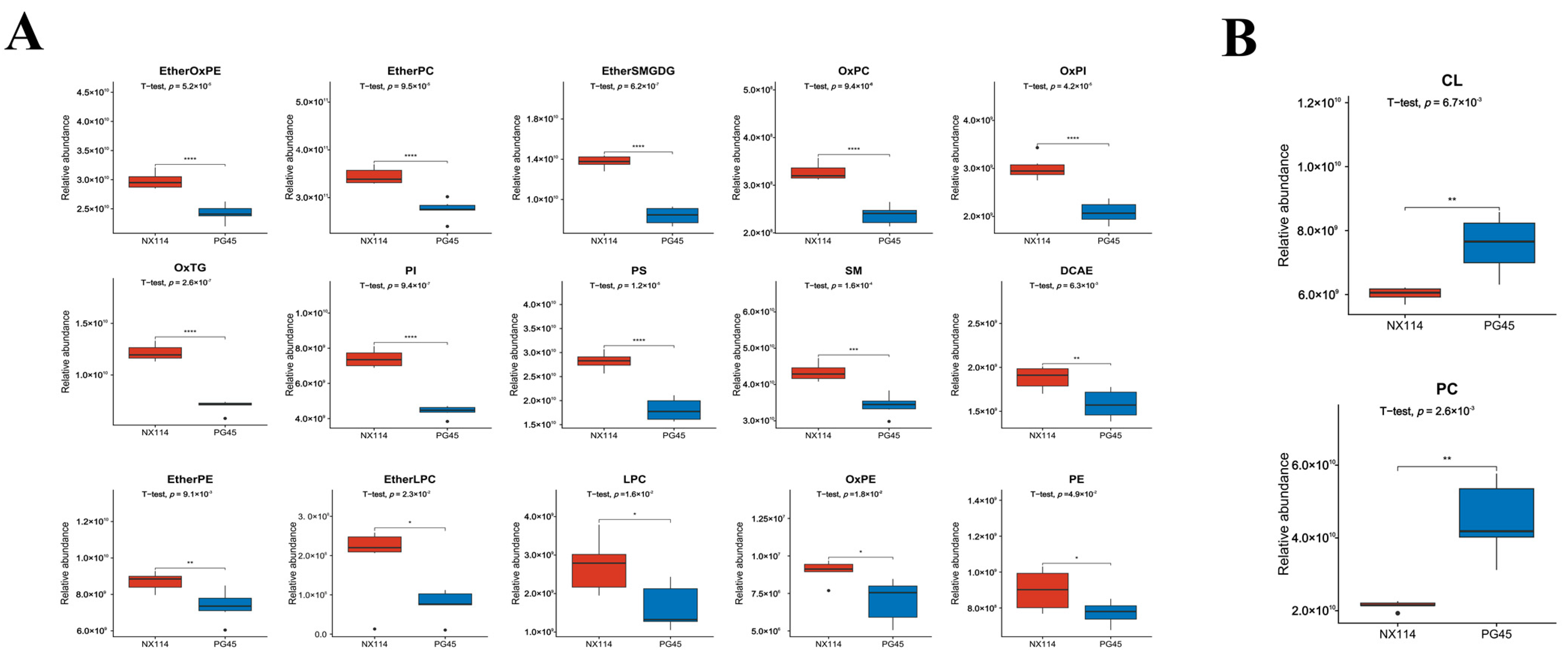
3.4. Analysis of Differentially Expressed Lipid Molecules in M. bovis
3.5. Differences in Metabolic Pathways
4. Discussion
5. Conclusions
Supplementary Materials
Author Contributions
Funding
Institutional Review Board Statement
Informed Consent Statement
Data Availability Statement
Acknowledgments
Conflicts of Interest
References
- Gelgie, A.E.; Desai, S.E.; Gelalcha, B.D.; Kerro Dego, O. Mycoplasma bovis mastitis in dairy cattle. Front. Vet. Sci. 2024, 11, 1322267. [Google Scholar] [CrossRef] [PubMed]
- Suwanruengsri, M.; Uemura, R.; Kanda, T.; Fuke, N.; Nueangphuet, P.; Pornthummawat, A.; Yasuda, M.; Hirai, T.; Yamaguchi, R. Production of granulomas in Mycoplasma bovis infection associated with meningitis-meningoencephalitis, endocarditis, and pneumonia in cattle. J. Vet. Diagn. Investig. 2022, 34, 68–76. [Google Scholar] [CrossRef] [PubMed]
- Ammar, A.M.; Abd El-Hamid, M.I.; Mohamed, Y.H.; Mohamed, H.M.; Al-Khalifah, D.H.M.; Hozzein, W.N.; Selim, S.; El-Neshwy, W.M.; El-Malt, R.M.S. Prevalence and Antimicrobial Susceptibility of Bovine Mycoplasma Species in Egypt. Biology 2022, 11, 1083. [Google Scholar] [CrossRef] [PubMed]
- Okella, H.; Tonooka, K.; Okello, E. A Systematic Review of the Recent Techniques Commonly Used in the Diagnosis of Mycoplasma bovis in Dairy Cattle. Pathogens 2023, 12, 1178. [Google Scholar] [CrossRef]
- Wu, Z.; Bagarolo, G.I.; Thoröe-Boveleth, S.; Jankowski, J. “Lipidomics”: Mass spectrometric and chemometric analyses of lipids. Adv. Drug. Deliv. Rev. 2020, 159, 294–307. [Google Scholar] [CrossRef]
- Lv, J.; Zhang, L.; Yan, F.; Wang, X. Clinical lipidomics: A new way to diagnose human diseases. Clin. Transl. Med. 2018, 7, 12. [Google Scholar] [CrossRef]
- Li, J.; Luu, L.D.W.; Wang, X.; Cui, X.; Huang, X.; Fu, J.; Zhu, X.; Li, Z.; Wang, Y.; Tai, J. Metabolomic analysis reveals potential biomarkers and the underlying pathogenesis involved in Mycoplasma pneumoniae pneumonia. Emerg. Microbes Infect. 2022, 11, 593–605. [Google Scholar] [CrossRef] [PubMed]
- Eum, J.Y.; Lee, G.B.; Yi, S.S.; Kim, I.Y.; Seong, J.K.; Moon, M.H. Lipid alterations in the skeletal muscle tissues of mice after weight regain by feeding a high-fat diet using nanoflow ultrahigh performance liquid chromatography-tandem mass spectrometry. J. Chromatogr. B Analyt. Technol. Biomed. Life Sci. 2020, 1141, 122022. [Google Scholar] [CrossRef]
- Zhou, J.; Yin, Y. Strategies for large-scale targeted metabolomics quantification by liquid chromatography-mass spectrometry. Analyst 2016, 141, 6362–6373. [Google Scholar] [CrossRef]
- Kyle, J.E. Extracting Biological Insight from Untargeted Lipidomics Data. Methods Mol. Biol. 2020, 2104, 121–137. [Google Scholar]
- Chitpin, J.G.; Surendra, A.; Nguyen, T.T.; Taylor, G.P.; Xu, H.; Alecu, I.; Ortega, R.; Tomlinson, J.J.; Crawley, A.M.; McGuinty, M.; et al. BATL: Bayesian annotations for targeted lipidomics. Bioinformatics 2022, 38, 1593–1599. [Google Scholar] [CrossRef] [PubMed]
- Murphy, R.C.; Axelsen, P.H. Mass spectrometric analysis of long-chain lipids. Mass. Spectrom. Rev. 2011, 30, 579–599. [Google Scholar] [CrossRef]
- Rainville, P.D.; Stumpf, C.L.; Shockcor, J.P.; Plumb, R.S.; Nicholson, J.K. Novel application of reversed-phase UPLC-oaTOF-MS for lipid analysis in complex biological mixtures: A new tool for lipidomics. J. Proteome Res. 2007, 6, 552–558. [Google Scholar] [CrossRef] [PubMed]
- Massey, K.A.; Nicolaou, A. Lipidomics of oxidized polyunsaturated fatty acids. Free. Radic. Biol. Med. 2013, 59, 45–55. [Google Scholar] [CrossRef] [PubMed]
- Layre, E. Targeted Lipidomics of Mycobacterial Lipids and Glycolipids. Methods Mol. Biol. 2021, 2314, 549–577. [Google Scholar]
- Yang, F.; Yang, M.; Si, D.; Sun, J.; Liu, F.; Qi, Y.; He, S.; Guo, Y. UHPLC/MS-Based Untargeted Metabolomics Reveals Metabolic Characteristics of Clinical Strain of Mycoplasma bovis. Microorganisms 2023, 11, 2602. [Google Scholar] [CrossRef]
- Yang, F.; Yang, M.; Liu, F.; Qi, Y.; Guo, Y.; He, S. Integrating the Transcriptome and Proteome to Postulate That TpiA and Pyk Are Key Enzymes Regulating the Growth of Mycoplasma Bovis. Microorganisms 2024, 12, 2012. [Google Scholar] [CrossRef]
- Rasheed, M.A.; Qi, J.; Zhu, X.; Chenfei, H.; Menghwar, H.; Khan, F.A.; Zhao, G.; Zubair, M.; Hu, C.; Chen, Y.; et al. Comparative Genomics of Mycoplasma bovis Strains Reveals That Decreased Virulence with Increasing Passages Might Correlate with Potential Virulence-Related Factors. Front. Cell Infect. Microbiol. 2017, 7, 177. [Google Scholar] [CrossRef]
- Züllig, T.; Trötzmüller, M.; Köfeler, H.C. Lipidomics from sample preparation to data analysis: A primer. Anal. Bioanal. Chem. 2020, 412, 2191–2209. [Google Scholar] [CrossRef]
- Citti, C.; Dordet-Frisoni, E.; Nouvel, L.X.; Kuo, C.H.; Baranowski, E. Horizontal Gene Transfers in Mycoplasmas (Mollicutes). Curr. Issues. Mol. Biol. 2018, 29, 3–22. [Google Scholar] [CrossRef]
- Zhang, S.Y.; Zhou, Z.R.; Qian, R.C. Recent Progress and Perspectives on Cell Surface Modification. Chem. Asian. J. 2021, 16, 3250–3258. [Google Scholar] [CrossRef] [PubMed]
- Morita, S.Y.; Ikeda, Y. Regulation of membrane phospholipid biosynthesis in mammalian cells. Biochem. Pharmacol. 2022, 206, 115296. [Google Scholar] [CrossRef] [PubMed]
- Zeng, C.; Wen, B.; Hou, G.; Lei, L.; Mei, Z.; Jia, X.; Chen, X.; Zhu, W.; Li, J.; Kuang, Y.; et al. Lipidomics profiling reveals the role of glycerophospholipid metabolism in psoriasis. Gigascience 2017, 6, 1–11. [Google Scholar] [CrossRef] [PubMed]
- Adnan, S.N.; Ibrahim, N.; Yaacob, W.A. Disruption of methicillin-resistant Staphylococcus aureus protein synthesis by tannins. Germs 2017, 7, 186–192. [Google Scholar] [CrossRef]
- Hu, K.; Zhang, Q.; Chen, Y.; Yang, J.; Xia, Y.; Rao, B.; Li, S.; Shen, Y.; Cao, M.; Lu, H.; et al. Cryo-EM structure of human sphingomyelin synthase and its mechanistic implications for sphingomyelin synthesis. Nat. Struct. Mol. Biol. 2024, 31, 884–895. [Google Scholar] [CrossRef]
- Fu, Y.; Pickford, R.; Galper, J.; Phan, K.; Wu, P.; Li, H.; Kim, Y.B.; Dzamko, N.; Halliday, G.M.; Kim, W.S. A protective role of ABCA5 in response to elevated sphingomyelin levels in Parkinson’s disease. NPJ Parkinsons. Dis. 2024, 10, 20. [Google Scholar] [CrossRef]
- Balla, T. Phosphoinositides: Tiny lipids with giant impact on cell regulation. Physiol. Rev. 2013, 93, 1019–1137. [Google Scholar] [CrossRef]
- Di Paolo, G.; De Camilli, P. Phosphoinositides in cell regulation and membrane dynamics. Nature 2006, 443, 651–657. [Google Scholar] [CrossRef]
- Schink, K.O.; Tan, K.W.; Stenmark, H. Phosphoinositides in Control of Membrane Dynamics. Annu. Rev. Cell Dev. Biol. 2016, 32, 143–171. [Google Scholar] [CrossRef]
- Liu, D.A.; Tao, K.; Wu, B.; Yu, Z.; Szczepaniak, M.; Rames, M.; Yang, C.; Svitkina, T.; Zhu, Y.; Xu, F.; et al. A phosphoinositide switch mediates exocyst recruitment to multivesicular endosomes for exosome secretion. Nat. Commun. 2023, 14, 6883. [Google Scholar] [CrossRef]
- Posor, Y.; Jang, W.; Haucke, V. Phosphoinositides as membrane organizers. Nat. Rev. Mol. Cell Biol. 2022, 23, 797–816. [Google Scholar] [CrossRef] [PubMed]
- Cheung, H.Y.F.; Coman, C.; Westhoff, P.; Manke, M.; Sickmann, A.; Borst, O.; Gawaz, M.; Watson, S.P.; Heemskerk, J.W.M.; Ahrends, R. Targeted Phosphoinositides Analysis Using High-Performance Ion Chromatography-Coupled Selected Reaction Monitoring Mass Spectrometry. J. Proteome Res. 2021, 20, 3114–3123. [Google Scholar] [CrossRef] [PubMed]
- Sarkar, C.; Lipinski, M.M. Glycerophospholipid dysregulation after traumatic brain injury. Neurochem. Int. 2024, 175, 105701. [Google Scholar] [CrossRef] [PubMed]
- Wang, B.; Tontonoz, P. Phospholipid Remodeling in Physiology and Disease. Annu. Rev. Physiol. 2019, 81, 165–188. [Google Scholar] [CrossRef] [PubMed]
- Pitarque, S.; Larrouy-Maumus, G.; Payré, B.; Jackson, M.; Puzo, G.; Nigou, J. The immunomodulatory lipoglycans, lipoarabinomannan and lipomannan, are exposed at the mycobacterial cell surface. Tuberculosis 2008, 88, 560–565. [Google Scholar] [CrossRef]
- Fischer, K.; Chatterjee, D.; Torrelles, J.; Brennan, P.J.; Kaufmann, S.H.; Schaible, U.E. Mycobacterial lysocardiolipin is exported from phagosomes upon cleavage of cardiolipin by a macrophage-derived lysosomal phospholipase A2. J. Immunol. 2001, 167, 2187–2192. [Google Scholar] [CrossRef]
- He, J.; Liu, M.; Ye, Z.; Tan, T.; Liu, X.; You, X.; Zeng, Y.; Wu, Y. [Corrigendum] Insights into the pathogenesis of Mycoplasma pneumoniae (Review). Mol. Med. Rep. 2018, 17, 4155. [Google Scholar] [CrossRef]







Disclaimer/Publisher’s Note: The statements, opinions and data contained in all publications are solely those of the individual author(s) and contributor(s) and not of MDPI and/or the editor(s). MDPI and/or the editor(s) disclaim responsibility for any injury to people or property resulting from any ideas, methods, instructions or products referred to in the content. |
© 2024 by the authors. Licensee MDPI, Basel, Switzerland. This article is an open access article distributed under the terms and conditions of the Creative Commons Attribution (CC BY) license (https://creativecommons.org/licenses/by/4.0/).
Share and Cite
Yang, F.; Yang, M.; Liu, F.; Qi, Y.; Guo, Y.; He, S. Ultra-High-Performance Liquid Chromatography–Orbitrap-MS-Based Untargeted Lipidomics Reveal Lipid Characteristics of a Clinical Strain of Mycoplasma bovis from Holstein Cow. Vet. Sci. 2024, 11, 577. https://doi.org/10.3390/vetsci11110577
Yang F, Yang M, Liu F, Qi Y, Guo Y, He S. Ultra-High-Performance Liquid Chromatography–Orbitrap-MS-Based Untargeted Lipidomics Reveal Lipid Characteristics of a Clinical Strain of Mycoplasma bovis from Holstein Cow. Veterinary Sciences. 2024; 11(11):577. https://doi.org/10.3390/vetsci11110577
Chicago/Turabian StyleYang, Fei, Mengmeng Yang, Fan Liu, Yanrong Qi, Yanan Guo, and Shenghu He. 2024. "Ultra-High-Performance Liquid Chromatography–Orbitrap-MS-Based Untargeted Lipidomics Reveal Lipid Characteristics of a Clinical Strain of Mycoplasma bovis from Holstein Cow" Veterinary Sciences 11, no. 11: 577. https://doi.org/10.3390/vetsci11110577
APA StyleYang, F., Yang, M., Liu, F., Qi, Y., Guo, Y., & He, S. (2024). Ultra-High-Performance Liquid Chromatography–Orbitrap-MS-Based Untargeted Lipidomics Reveal Lipid Characteristics of a Clinical Strain of Mycoplasma bovis from Holstein Cow. Veterinary Sciences, 11(11), 577. https://doi.org/10.3390/vetsci11110577
