Multi-Year On-Farm Trial Data on the Performance of Long- and Short-Duration Wheat Varieties against Sowing Dates in the Eastern Indo-Gangetic Plain of India
Abstract
:1. Summary
2. Data Description
2.1. Trial Location
2.2. Trial Coverage and Data Size
2.3. Grain and Biomass Yields
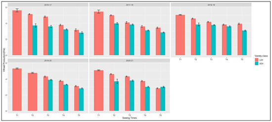
2.4. Grain Yield Comparison among Treatments
2.5. Comparison of Yields in Treatments for Each Year
3. Methods
Author Contributions
Funding
Institutional Review Board Statement
Informed Consent Statement
Data Availability Statement
Acknowledgments
Conflicts of Interest
References
- Pal, D.K.; Bhattacharyya, T.; Srivastava, P.; Chandran, P.; Ray, S.K. Soils of the Indo-Gangetic Plains: Their historical perspective and management. Curr. Sci. 2009, 96, 1193–1202. [Google Scholar]
- Dubey, R.; Pathak, H.; Chakrabarti, B.; Singh, S.; Gupta, D.K.; Harit, R.C. Impact of terminal heat stress on wheat yield in India and options for adaptation. Agric. Syst. 2020, 181, 102826. [Google Scholar] [CrossRef]
- McDonald, A.J.; Keil, A.; Srivastava, A.; Craufurd, P.; Kishore, A.; Kumar, V.; Paudel, G.; Singh, S.; Singh, A.K.; Sohane, R.K.; et al. Time management governs climate resilience and productivity in the coupled rice–wheat cropping systems of eastern India. Nat. Food 2022, 3, 542–551. [Google Scholar] [CrossRef]
- Alam, M.P.; Kumar, S.; Ali, N.; Manjhi, R.P.; Kumari, N.; Lakra, R.K.; Izhar, T. Performance of wheat varieties under different sowing dates in Jharkhand. J. Wheat Res. 2013, 5, 61–64. [Google Scholar]
- Urfels, A.; McDonald, A.J.; van Halsema, G.; Struik, P.C.; Kumar, P.; Malik, R.K.; Poonia, S.P.; Singh, B.; Singh, D.K.; Singh, M.; et al. Social-ecological analysis of timely rice planting in Eastern India. Agron. Sustain. Dev. 2021, 41, 1–15. [Google Scholar] [CrossRef] [PubMed]
- Newport, D.; Lobell, D.B.; Srivastava, A.K.; Rao, P.; Umashaanker, M.; Malik, R.K.; McDonald, A.; Jain, M. Factors constraining timely sowing of wheat as an adaptation to climate change in Eastern India. Weather. Clim. Soc. 2020, 12, 515–528. [Google Scholar] [CrossRef]
- Singh, U.P.; Singh, Y.; Kumar, V.; Ladha, J.K. Evaluation and Promotion of Resource Conserving Tillage and Crop Establishment Techniques in Rice-Wheat System in Eastern India. In Integrated Crop and Resource Management in the Rice-Wheat System of South Asia; International Rice Research Institute (IRRI): Manila, Philippines, 2009; pp. 151–176. [Google Scholar]
- Dhillon, S.S.; Fischer, R.A. Date of sowing effects on grain yield and yield components of irrigated spring wheat cultivars and relationships with radiation and temperature in Ludhiana, India. Field Crops Res. 1944, 37, 169–184. [Google Scholar] [CrossRef]
- Lobell, D.B.; Ortiz-Monasterio, J.I.; Sibley, A.M.; Sohu, V.S. Satellite detection of earlier wheat sowing in India and implications for yield trends. Agric. Syst. 2013, 115, 137–143. [Google Scholar] [CrossRef]
- Singh, P.K.; Singh, K.K.; Singh, P.; Balasubramanian, R.; Baxla, A.K.; Kumar, B.; Gupta, A.; Rathore, L.S.; Kalra, N. Forecasting of wheat yield in various agro-climatic regions of Bihar by using CERES-Wheat model. J. Agrometeorol. 2017, 19, 346–349. [Google Scholar] [CrossRef]
- Altman, N.; Krzywinski, M. Split plot design: When some factors are harder to vary than others, a split plot design can be efficient. Nat. Methods 2015, 12, 165. [Google Scholar] [CrossRef] [PubMed]





| State | District | Variety Class | T1 | T2 | T3 | T4 | T5 | Grand Total |
|---|---|---|---|---|---|---|---|---|
| Bihar | Bhojpur | LDV | 42 | 67 | 42 | 40 | 39 | 230 |
| SDV | 10 | 33 | 34 | 26 | 103 | |||
| Begusarai | LDV | 31 | 54 | 37 | 30 | 21 | 173 | |
| SDV | 2 | 26 | 26 | 21 | 75 | |||
| Buxar | LDV | 47 | 65 | 71 | 50 | 51 | 284 | |
| SDV | 1 | 32 | 53 | 46 | 132 | |||
| East Champaran | LDV | 53 | 103 | 79 | 78 | 67 | 380 | |
| SDV | 4 | 54 | 65 | 91 | 214 | |||
| Lakhisarai | LDV | 29 | 50 | 35 | 41 | 36 | 191 | |
| SDV | 3 | 35 | 34 | 35 | 107 | |||
| Madhepura | LDV | 56 | 85 | 104 | 91 | 79 | 415 | |
| SDV | 1 | 15 | 13 | 31 | 60 | |||
| Muzaffarpur | LDV | 53 | 79 | 64 | 48 | 10 | 254 | |
| SDV | 1 | 24 | 12 | 10 | 47 | |||
| Rohtas | LDV | 16 | 89 | 39 | 27 | 31 | 202 | |
| SDV | 1 | 30 | 31 | 29 | 91 | |||
| Total | 327 | 615 | 720 | 673 | 623 | 2958 | ||
| UP | Deoria | LDV | 43 | 108 | 20 | 40 | 21 | 232 |
| SDV | 16 | 27 | 86 | 41 | 170 | |||
| Kushinagar | LDV | 41 | 110 | 41 | 58 | 18 | 268 | |
| SDV | 14 | 27 | 51 | 15 | 107 | |||
| Total | 84 | 248 | 115 | 235 | 95 | 777 | ||
| Grand Total | 411 | 863 | 835 | 908 | 718 | 3735 | ||
Disclaimer/Publisher’s Note: The statements, opinions and data contained in all publications are solely those of the individual author(s) and contributor(s) and not of MDPI and/or the editor(s). MDPI and/or the editor(s) disclaim responsibility for any injury to people or property resulting from any ideas, methods, instructions or products referred to in the content. |
© 2023 by the authors. Licensee MDPI, Basel, Switzerland. This article is an open access article distributed under the terms and conditions of the Creative Commons Attribution (CC BY) license (https://creativecommons.org/licenses/by/4.0/).
Share and Cite
Ajay, A.; Singh, M.; Patra, S.; Ranjan, H.; Pundir, A.; Poonia, S.; Kumar, A.; Singh, D.K.; Kumar, P.; Ignatius, M.; et al. Multi-Year On-Farm Trial Data on the Performance of Long- and Short-Duration Wheat Varieties against Sowing Dates in the Eastern Indo-Gangetic Plain of India. Data 2023, 8, 39. https://doi.org/10.3390/data8020039
Ajay A, Singh M, Patra S, Ranjan H, Pundir A, Poonia S, Kumar A, Singh DK, Kumar P, Ignatius M, et al. Multi-Year On-Farm Trial Data on the Performance of Long- and Short-Duration Wheat Varieties against Sowing Dates in the Eastern Indo-Gangetic Plain of India. Data. 2023; 8(2):39. https://doi.org/10.3390/data8020039
Chicago/Turabian StyleAjay, Anurag, Madhulika Singh, Subhajit Patra, Harshit Ranjan, Ajay Pundir, Shishpal Poonia, Anurag Kumar, Deepak K. Singh, Pankaj Kumar, Moben Ignatius, and et al. 2023. "Multi-Year On-Farm Trial Data on the Performance of Long- and Short-Duration Wheat Varieties against Sowing Dates in the Eastern Indo-Gangetic Plain of India" Data 8, no. 2: 39. https://doi.org/10.3390/data8020039
APA StyleAjay, A., Singh, M., Patra, S., Ranjan, H., Pundir, A., Poonia, S., Kumar, A., Singh, D. K., Kumar, P., Ignatius, M., Kumar, P., Sherpa, S. R., Malik, R. K., Kumar, V., Singh, S., Craufurd, P., & McDonald, A. J. (2023). Multi-Year On-Farm Trial Data on the Performance of Long- and Short-Duration Wheat Varieties against Sowing Dates in the Eastern Indo-Gangetic Plain of India. Data, 8(2), 39. https://doi.org/10.3390/data8020039

