Abstract
In this paper we consider courses of a Computer Science degree in an Italian university from the year 2011 up to 2020. For each course, we know the number of exams taken by students during a given calendar year and the corresponding average grade; we also know the average normalized value of the result obtained in the entrance test and the distribution of students according to the gender. By using classification and clustering techniques, we analyze different data sets obtained by pre-processing the original data with information about students and their exams, and highlight which courses show a significant deviation from the typical progression of the courses of the same teaching year, as time changes. Finally, we give heat maps showing the order in which exams were taken by graduated students. The paper shows a reproducible methodology that can be applied to any degree course with a similar organization, to identify courses that present critical issues over time. A strength of the work is to consider courses over time as variables of interest, instead of the more frequently used personal and academic data concerning students.
1. Introduction
Several data mining models have been proposed in the literature to extract knowledge and identify critical issues from both data usually stored in the schools’ and universities’ databases for administrative purposes, and large amounts of information about teaching–learning interaction generated in e-learning or web-based educational contexts. The state of the art on this topic can be found in several surveys, such as [1,2,3,4], where many applications and tasks can be found. This research area, known as Educational Data Mining, has seen tremendous growth in conferences and publications over the past two decades, as described in depth in the recent paper [5].
Among the most studied applications described in previous surveys we find the modeling of students through the analysis of their performance or behavior, for example, predicting student performance and dropout, detecting undesirable student behaviors or profiling and grouping students (see, e.g., [6,7,8,9]). As illustrated in [10], e-learning systems and Massive Open Online Courses (MOOCs) produce a large amount of very valuable information for analyzing student behavior and represent a goldmine of educational data that necessitates the use of data mining techniques to process and analyze them. Another major group of applications concerns decision support systems. Applications dedicated to this category aim to improve the learning process by helping stakeholders to make decisions. Examples in this category are: providing reports and feedback, creating alerts, planning and scheduling, generating recommendations and improving learning material (see, e.g., [4,11,12,13,14]). A detailed taxonomy of the main applications of the Educational Data Mining studies can be found in [2] (Figure 1). Previous applications are mainly concerned with techniques such as clustering, classification, regression, association rules mining and sequential pattern analysis. Recently, deep learning has also gained increasing attention in the educational domain, as described in [15]. An important aspect of any work in the Educational Data Mining context is the type of data on which the analysis is carried out and, in particular, the phase of understanding and pre-processing of the data is crucial. Pre-processing allows transforming the available raw educational data into a suitable format ready to be used by a data mining algorithm for solving a specific educational problem. However, this step is rarely described into details. A specific reference about this topic can be found in [16].
Figure 1.
Average number of exams and grades over time for the teaching years I, II and III.
Data mining techniques in the context of computer science degrees have been used in several papers, mainly to study the careers of students (see, e.g., [17,18]) and to predict the performance of university students [19]. The study of the order in which the exams are taken by the students has been studied sporadically in the literature, for example in [6] an analysis of the students’ careers is made by making a comparison with the ideal career of the student who follows exactly the path of study suggested. Since in that paper the target variables were the students, sequential pattern analysis was also used to identify patterns in the way students take exams. Other works in the same direction are described in [20], where a general methodology for assessing the impact of course sequencing on student performance is presented, and in [21], where a sequence based course recommender is developed. In [22], a framework that models a curriculum as a Bayesian Network is presented and used to quantify the effort to restructure curricular patterns.
1.1. Objectives of the Paper
In this paper we consider courses of a Computer Science degree in an Italian university; the study concerns the exams taken by students from the year 2011 up to 2020. The degree course is structured into three teaching years: in the first year, I, there are five annual courses; in the second year, II, there are eight courses distributed across two semesters; finally, in the third year, III, there are four courses and others free choice courses. In this study, the term calendar year will indicate any of the years 2011–2020, while teaching year will refer to values I, II and III.
There are some prerequisites between the courses, and students are invited to take the exams following the division into teaching years and semesters, but in many cases, the exams corresponding to a given year can be taken before those of the previous ones: for example, II year exams before those of the I year, and III year exams before those of the II year. However, generally, when a student decides to postpone an exam rather than go in order, it often means that the exam has particular characteristics or sometimes presents critical issues. We wish to point out, however, that among courses of the same teaching year, no prerequisites exist in our organization.
A problem of the degree course in Computer Science in question, but common to many degree programs in the same area, is that many students drop out during or after the first year because they often have a wrong view of the concept of computer science, associating the term with the use of information technologies rather than the fundamental aspects of the matter (see, e.g., [23]). Many students are not aware that the Computer Science branch is one of the fields that is mathematically heavy, especially in the first year. These students often have great difficulties with math exams or in general with those courses where the theoretical aspects predominate over the applications. In these cases, the role of the teacher is fundamental to be able to retain students, make them interested in the subject, and make them learn it. Unfortunately, not all teachers’ efforts are successful, and the number of exams taken in the first year is generally higher than that of the second because of this dispersion between one year and another. Moreover, the number of students enrolled is not consistent over time.
The study is based on the total number of exams taken for each course, without keeping track of the behavior of individual students. We are not interested in comparing courses based on the students who took them but based on the number of exams and the grades that the students have obtained, thus considering each time groups of students that may be different, even for courses of the same year of teaching.
The aim of this work is to compare the courses of the same teaching year over time, based on the total number of exams that have been taken by students, the total number of credits acquired and the average marks in the corresponding exams. In addition to these attributes, we also considered some input characteristics of the students, such as gender and the results obtained in the admission test: in particular, we think that this last information can summarize the students’ initial level of preparation.
We do not have the claim to explain why a certain course presents some critical issues during the period under examination, and instead highlight which courses show a significant deviation from the typical progression of the courses of the same teaching year over time. Once these criticalities have been identified, it will be the responsibility of the course manager to understand the reasons. However, we believe that a problem such as dropouts can also be sought in those courses that show behavior that negatively differs from that of the courses of the same teaching year and that our methodology aims to identify.
1.2. Organization of the Paper
In Section 2, we describe the collection and pre-processing of data and present the results of a descriptive analysis on the transformed data.
In Section 3, we try to understand which courses have caused students the most difficulties over the years. In particular, in Section 3.1 we present an analysis based on supervised classification techniques by grouping together the exams corresponding to each course, year by year during 2011–2020. We built a classification model for the class attribute teaching year, with possible values I, II and III, and then we look for the instances that are incorrectly classified to detect outlier courses. Various classification algorithms can be used for this purpose but in the paper we point out the results obtained with J48 algorithm, since the model, in this case, is represented by a decision tree that is easily understandable. In Section 3.2, we perform an unsupervised classification by presenting an analysis based on hierarchical clustering. Once again, the goal is to verify if the three natural groups of I, II and III teaching year exams are identified by the algorithm on the basis of the attributes of our data set and if there are any anomalous instances. This technique can be applied to the same data set used in the previous section, but to make the resulting dendrogram more readable, in the work we show the result obtained by grouping the exams of each course, regardless of the year in which the exam was held. For both studies, we highlight the importance of the coding adopted for the courses, as described in Section 2: by using a similar approach, it is possible to reproduce a similar analysis for other degree courses, even those other than Computer Science.
Finally, since students have a certain flexibility in choosing the order in which they take exams—in fact most courses either have no prerequisites or a small number of prerequisites—in Section 4 we highlight with heat maps the sequence in which the exams are taken by students. To this purpose, we restricted our data set, studying the exams of students of the 2010–2017 cohorts who graduated within December 2020.
A precise description of the data mining algorithms used for the analysis can be found in [24]; we used in particular their implementation in WEKA, https://www.cs.waikato.ac.nz/ml/weka/ (accessed January 2022). The pre-processing phase and the data sets elaboration have been carried out by using MySQL, https://www.mysql.com/ (accessed January 2022).
1.3. Novelty of the Paper
Following the taxonomy in [2] (Figure 1), which categorizes some of the applications in Educational Data Mining, the present paper can be placed in the categories providing reports and planning and scheduling. The purpose of the former category, which includes data analysis and visualization, is to find and highlight the information related to course activities that may be of use to educators and administrators and provide them with feedback. The objective of the latter category is to help stakeholders with the task of planning and scheduling and can help educators and administrators with planning future courses or recourse allocation. To the first category belongs, for example, the paper [25], where association rule mining is used to provide feedback to instructors from the multiple-choice quiz data. Studies concerning planning and scheduling can be found, for example, in [26], which enhances course planning by establishing the probability of enrollees completing their courses based on the student’s preferences and profession, in [27], which discovers explicit knowledge that can be useful for decision-making processes as well as proposing analytical guidelines for higher education institutions, and in [28], which uses cluster analysis, decision tree algorithm and neural networks for planning courses.
In this paper, we consider the courses over time as variables of interest. The novelty of the work consists precisely in the fact of using as variables the compulsory courses that students have to take during their university career. Generally, the target variables concern personal and academic data of the students, or the tracking of their activities, and external data about the context where they study and live, but comparing courses of the same teaching year based on the exams taken by the students seems rather original. In none of the surveys [1,2,3,4,5], and in the included bibliography, are studies of this type reported. Furthermore, in the recent review [29], many papers where data mining contribute to preventing students’ dropout in higher education are examined; in particular, Ref. [29] (Figure 5) highlights the hierarchy categories and subcategories of the features considered in the analyzed studies and does not report any paper in which the target variable is the course. We study courses over time through classification and clustering, using the teaching year as a class attribute and identifying those courses that have characteristics that differ from those of the same teaching year courses, which in an ideal situation should be very similar. The use of classification algorithms such as decision trees and of hierarchical clustering have the advantage of returning models that are easy to understand and to interpret for interested parties, helping to make decisions. Similarly, the construction of heat maps to highlight patterns in the order in which students take exams is original and allows us to identify which courses students tend to anticipate or postpone. This type of report is easy to read for those who have to decide on the organization of the study course. Furthermore, the formal approach used can be adapted to any degree course that includes a certain number of compulsory courses organized in different teaching years and with a similar exam mechanisms. Last but not least, we would like to highlight the accurate analysis in the understanding and pre-processing phases, which is fundamental in any work in which data are the leading actors. The pre-processing phase is fundamental for choosing the most appropriate data mining techniques for the analysis while the understanding phase, thanks to the intervention of context experts, allows to identify the main critical issues to be investigated in the subsequent analysis. This is especially important when we have temporal data, as is the case of our analysis.
2. Data Collection, Pre-Processing and Understanding
The data set was collected from the Computer Science degree in the School of Mathematics, Physics and Natural Sciences of the University of Florence (Italy), and corresponds to the intersection between exams of students and their personal information. In particular, we considered 6361 instances of exams that students of cohorts 2010–2019 took in the calendar years 2011–2020. Each instance contains data of a single exam: the student and the course identifiers, the credits associated with the course, the date of the exam and the corresponding grade. Moreover, we had instances about personal information of 637 students such as the year of enrollment, the result of the admission test, the gender and the final grade in the case of graduated students. Concerning the admission test, each student, before enrolling in the degree course, had to take a test to self-evaluate their background in mathematics. This test consists of 25 multiple choice questions (one correct answer out of four possible options) on mathematics arguments usually studied in high school: arithmetic, elementary algebra, equations, inequalities, elementary logic, combinatorics, functions, geometry, probability. Each correct answer counts as 1 point while a wrong or no given answer counts as 0 points: the test is passed with 12 points.
After a pre-processing phase to correct any missing information and remove the exams not included in the analysis, we obtained a data set containing 6062 records corresponding to 18 different courses. In particular, all the exams corresponding to a judgment but not a grade were eliminated. In Table 1, we give the description of each course and a coding that highlight the teaching year of the course: the numbering takes into account the alphabetical order of the Italian names. Concerning year III, for organizational reasons, course was replaced by course in 2015 and for this reason, five courses appear in the table in correspondence of the third year.
Table 1.
A coding for First, Second and Third teaching year courses: the numbering takes into account the alphabetical order of the Italian names. Course was replaced by in the year 2015.
We wish to point out that among the 6062 exams, only 864 were taken by female students, which are generally a small percentage of the total number of enrollments.
As already observed, the data set contains exams of students of cohorts 2010–2019 and therefore in the calendar year 2011, our first year of analysis, we have exams corresponding to I teaching year only; in the calendar year 2012 we have those of I and II teaching years; and, finally, starting from calendar year 2013 we have exams from I, II and III teaching years.
These considerations are confirmed by Figure 1 that illustrates the average number of exams of I, II and III year, as time varies and the corresponding average grades. The figure shows that in the passage from the first to the second year and from the second to the third year, the average number of exams decreases and therefore highlights the problem of dropouts in the degree course. The grades, on the other hand, are fairly uniform both over the three years of teaching and over time.
From the previous observations, it is clear that it is not possible to compare courses from different teaching years: an accurate analysis of the exams taken over time can instead allow us to compare the courses of the same teaching year, highlighting those that had more problems, with delayed exams and low grades. Figure 2, Figure 3 and Figure 4 show the total number of exams for courses of the same teaching year over time and the corresponding average grades. Concerning the courses of the first year, Figure 2 shows that has lower values both in terms of number of exams per year and as average grades, compared to the other courses of the first year. The and courses, on the other hand, have similar and above-average trends.
Figure 2.
Total number of exams and average grades over time for the first year courses in Table 1.
Figure 3.
Total number of exams and average grades over time for the second year courses in Table 1.
Figure 4.
Total number of exams and average grades over time for the third year courses in Table 1.
Second year courses show, in Figure 3, greater fluctuations over time and, therefore, it is more difficult to identify specific anomalous behaviors for a single course. It can be noted that, especially in the firsts years under examination, the average number of exams of the course is lower than that of the other courses.
Concerning the third year courses in Figure 4, we note in particular the increase in the number of exams of in the last years of investigation, which corresponds to a change of teacher. With regard to the average grades, it can be observed that the same course has average high grades while always has average low grades.
Finally, we report in Figure 5, only for the first year exams, the average grades obtained in the entrance test by the students who took the exams of the various courses. It is interesting to note that the students who took the course obtained above average grades in the entrance test. Since the test is about mathematics topics, this result highlights what difficulties students have with this exam.
Figure 5.
Normalized graded of tests for exams of I teaching year.
3. Courses Analysis by Classification and Clustering
As we discussed in the Introduction, the goal of this section is to compare the courses of the same teaching year over time by using classification and clustering techniques: in an ideal situation, where students are able to take all their exams on time and do not accumulate delays, the courses of the same teaching year should correspond to the same number of exams. Furthermore, if students had the same difficulties in the courses of the same teaching year, one might expect not to have large differences in the corresponding average grades. Unfortunately, this does not happen in reality and the number of exams and the grades can vary significantly from one course to another in the same teaching year. In order to analyze courses, we performed several data aggregations to apply different data mining algorithms and study the courses over time.
3.1. Descriptive Classification
In our first study, we processed the original data set containing the 6062 records corresponding to the exams taken by students during the years 2011–2020 and performed an aggregation according to teaching and calendar years; the resulting data set contains 154 instances and the following attributes:
- : the description of a course in a given year, of the type and with and for courses of first, second and third year, respectively, and denoting the year of the course;
- : I, II and III;
- : total number of exams in a calendar year for a given course;
- : total number of credits acquired by students in a calendar year for a given course;
- : average grade of the exams taken in a calendar year for a given course;
- : normalized average grade of the entrance test taken by students who took the exam in given calendar year.
In this first study, we also took into account the normalized average grade that students obtained in the entrance test because we think this value can be a good indicator of their initial preparation. We then used this data set as a training set for building a classification model with as the class attribute.
We tried several classification algorithms that are available in the WEKA system, applying them both to the original data set and to the data set in which some of the attributes have been discretized. The best transformation in terms of accuracy for our analysis was the one in which the and attributes were discretized in 3 and 5 ranges, respectively, by using WEKA filters, as reported in Table 2. The pre-processing phase is fundamental in any data mining analysis and in particular the discretization of continuous variables is very important. The intervals chosen are the result of various tests carried out with WEKA in which we tried to take into account the distribution of the values. Obviously we are not saying that this is always the choice to make, and with different data other discretizations could be more effective.
Table 2.
Discretization ranges for and attributes obtained with WEKA filters.
We compared the various algorithms by using evaluation on the training set since we are interested to understand how the model fits our data set and which records are wrongly classified; in particular, we compared the algorithms J48, NaiveBayes, and IBk with k = 2 and 3. In Table 3 we give the results achieved by each of these algorithms, according to some of the most common evaluation metrics, such as the percentage of correctly classified records, precision, recall, Fmeasure and area under the ROC. In Table 4 we give the evaluation metrics with the hold-out technique (with for training and for testing).
Table 3.
Results achieved by various classification algorithms with evaluation on the training set.
Table 4.
Results achieved by various classification algorithms with hold-out evaluation.
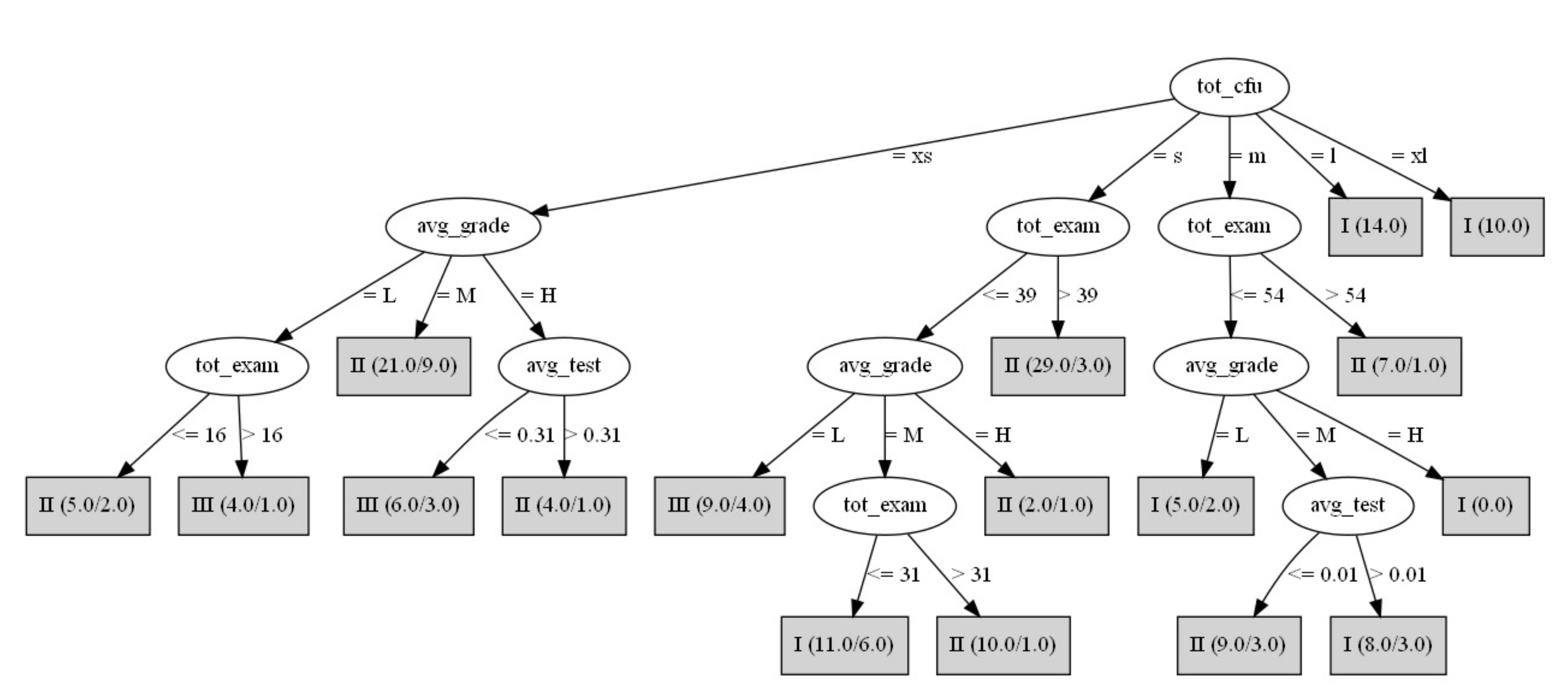
Since J48 performs quite well compared to the other algorithms and the model is represented by an easy-to-interpret decision tree, we decided to investigate this model in more depth. For the purposes of our work, we need to know the training error on the entire data set and to understand which records are wrongly classified. The decision tree is illustrated in Figure 6 and classifies correctly ≈ of the 154 instances; the corresponding confusion matrix can be found in Table 5.
Figure 6.
Classification with J48 algorithm: correctly classified instances .
Table 5.
Confusion matrix corresponding to the decision tree in Figure 6.
The model incorrectly classifies ≈ of the instances. In particular, seven instances of class I are classified in class II, and six instances of class I are classified in class III. Moreover, four instances of the class II are classified in class I, and two instances of the class II are classified in class III. Seven instances of class III are classified in class I, and, finally, fourteen in class II; all these are illustrated in Table 6.
Table 6.
Wrong classifications corresponding to Figure 6: For each course the actual and predicted teaching years are given.
From Table 6, we see that the courses and are the worst classified over the years. The result relative to and is not surprising since they are courses having a small number of exams and low grades, as illustrated in Figure 2. It is interesting to note also that the students who took those exams are characterized by test results over the average value, as indicated in Figure 5. This fact shows evidence that these exams constitute an obstacle for students and are taken by a small number of them and with low grades, despite having a fairly good initial level preparation. Vice versa, concerning exams and we note that they are taken by many students and with good grades, characteristics more similar to II teaching years. The course is classified several times as a course of a previous year and in almost all cases it has associated a rather high number of exams, comparable to courses of the I and II years, probably due to the particular method of carrying out the corresponding exam.
Looking at the decision tree carefully, we see that there are two splits in the tree involving the average grade on the entry test, which give rise to some training errors. We, therefore, decided to investigate the corresponding records in more detail. The three badly classified records with avg_test ≤ 0.31 correspond to the courses , and , characterized by a small number of credits, a quite high average grade and with an avg_test value which is very close to split value the badly classified record with avg_test is In the set of the three badly classified records that correspond to the split avg_test we find , and , all with a test grade lower than the average value. Finally, in the leaf corresponding to avg_test we find , and In general, we believe that the value of the entrance test can give us indications regarding the productivity of the I year, so the previous errors identified on the splits that use the value of the test do not give us relevant information since they almost exclusively involve III year exams that are classified as exams of previous years. The only I year courses involved in these leaves are Calculus, , with an above-average test grade, and the Computer Architecture course, which appears with both above and below-average test grades. As far as is concerned, the same considerations already made for the course can be made, i.e., in the year 2011 that exam was taken by a few students who started from a rather high test grade and reached a high grade. Regarding the II year courses, the classification does not highlight particular problems, since only and are sporadically classified as III year exams.
The number of girls who enroll in Computer Science is very low, and for this reason we decided to make a separate analysis for them. In particular, we built a new classification tree by examining only the 864 exams taken by girls; however, this analysis did not reveal substantial differences.
We think that the results of the proposed classifications are interesting from a descriptive point of view because they highlight which courses over the years have created more difficulties for students: courses of I and II year erroneously classified as courses of subsequent years point out critical issues; vice versa, II and III year courses erroneously classified as courses of previous years indicate that students have no particular difficulty in taking the corresponding exams.
3.2. Descriptive Hierarchical Clustering
In our second study, data were aggregated with respect to the course and clustered with hierarchical clustering according to attributes average number of exams, average grade and the number of credits assigned to a given course; the attribute was used for labeling the tree leaves while the class attribute has been used to test the model on classes to clusters evaluation mode. The data set contains 17 instances, one for each course (courses and have been merged). Courses are studied on the basis of the average number of exams taken each year, therefore taking into account the number of years of activation of the course (10, 9 and 8 for I, II and III teaching years, respectively). Remember, however, that the number of students over the years changes, due to the dispersion already highlighted in the introduction, so the most correct comparison is always the one at the level of courses of the same year. Although the number of records is small, we think that from a descriptive point of view the hierarchical clustering can provide evidence of interesting similarities among courses.
More precisely, in this second study we consider a data set with attributes:
- : I, II and III;
- : the description of a course given in Table 1;
- : average number of exams in a calendar year for a given course;
- : average grade of the exams taken in a calendar year for a given course;
- : number of credits assigned to a given course.
In Figure 7, the dendrograms corresponding to hierarchical clustering algorithms with single link and group average strategies are illustrated, while Table 7 and Table 8 show the confusion matrices corresponding to classes to clusters evaluation mode. Looking at these figures, the following comments come to mind: in both analyses, the , and exams are indicated as similar and in fact they are first year exams that are often taken together, for first and with similar results. Somehow they constitute the first choices of exams that are faced. The exam belongs to the same group but in both dendrograms (a) and (b) it is added last, as seen from the height of the corresponding branch, denoting a lower similarity with the other members of the cluster. Exam , on the other hand, is aggregated to the second year exams and but added last to the group. Since the number of students decreases from the first to the second year and from the second to the third year, the exams that are assimilated with exams of subsequent years are usually made by fewer students. Therefore, this analysis also presents evidence of some critical issues for the course when compared to the other courses of I teaching year. The remaining second year courses, and are grouped with third year courses: three of them are math courses, somehow more advanced than, for example, . According to the link strategy, they are all classified as III (a) or II (b) years courses; however, in the dendrogram (b) the III cluster contains only the course which, therefore, shows different behavior from all the other courses of the same teaching year.
Figure 7.
Single link (a) and group average (b) clustering with respect to attributes and
Table 7.
Confusion matrix corresponding to the dendrogram in Figure 7a.
Table 8.
Confusion matrix corresponding to the dendrogram in Figure 7b.
The same analysis has been repeated considering only the exams taken by female students without highlighting different characteristics.
4. Heat Maps for Courses Taken by Graduated Students
This section examines the careers of students who have finished their studies and graduated by December 2020. Students were grouped by year of enrollment, and the order in which they took exams throughout their career was examined.
As a result, 17 exams shared by all students were taken into consideration and a matrix was constructed for each cohort, such that the element represents the percentage of students who took the exam i as j-th exam in their career. The matrices were then represented as heat maps in order to highlight the percentage values. We also built a matrix summarizing these data for all cohorts, as illustrated in Figure 8. The virtuous path of a student who takes the exams of the first year before those of the second and the latter before those of the third year has been highlighted with rectangles. The values outside these rectangles represent exams taken in a different order from those planned by the course of study. High values of the percentages outside the rectangles may indicate critical issues because a student delays an exam of a certain teaching year or anticipates it to the detriment of other exams from previous years. Within each rectangle are enclosed exams of the same year, which can be taken in any order and it is possible to see how the students decide to distribute the exams of the same year. Concerning Figure 8, and looking at the I year courses, we can observe that and are exams taken first and exactly in this order—yet another confirmation of the fact that these courses do not seem to create difficulties for students. With regard to the second year courses, the figure shows a propensity of students to delay the exam; since it corresponds to the Physics course, this result is also not surprising, as these are basic topics in which students are often less interested than the most characteristic topics of the study path. Finally, among the courses of the third year stands , Theoretical Computer Science, which is very frequently taken as the last exam; also in this case it is a course considered difficult by the students because it is very theoretical.
Figure 8.
Heat map for graduated students of all cohorts.
By analyzing the maps of the individual cohorts, we find results that in some cases differ from the considerations we have made in general, although highlighting the same criticalities more or less clearly. For example, the map for cohort 2010 in Figure 9 shows that the exam was often taken as the last exam, while Figure 10 shows that most of the students of cohort 2013 took as their last exam.
Figure 9.
Heat map for graduated students of cohort 2010.
Figure 10.
Heat map for graduated students of cohort 2013.
Figure 11 represents the students of the 2017 cohort who graduated within the time allowed for the course of study and highlights rather virtuous behaviors since, outside the rectangles, there are a few non-zero values, confirming the fact that the students who graduated earlier took the exams following the order suggested by the degree course.
Figure 11.
Heat map for graduated students of cohort 2017.
5. Conclusions
In this work, we proposed a reproducible methodology to analyze exams data of a Computer Science degree, to identify courses that highlight exceptions, which can be translated as critical points, in the progression of the students’ careers. For the years under analysis, from 2011 to 2020, we aggregated the data of the exams of the first, second and third year, in terms of the average grade, credits acquired and average mark at the entrance test, calculated on the students who have passed the corresponding exams. We started our study with a pre-processing and data understanding phase, by visualizing the courses characteristics as times series. Then we conduced a descriptive analysis with data mining algorithms to reinforce and confirm the previous results. In particular, the analysis was initially performed with classification techniques—such as decision trees, Naive Bayes and IBk algorithms—on the data obtained aggregating year by year and course by course; the second analysis, carried out on the data aggregated with respect to the course, was realized using hierarchical clustering. By a post-processing phase of classification results, we analyzed data concerning misclassifications and identified anomalous behaviors in some courses compared to those of the same year: this happens, for example, for the first year courses and With clustering we identified courses groups with similar characteristics. Among these, the three courses , and are well classified in the same group of first year courses while is more similar to courses in subsequent years. The analysis revealed no differences based on the gender of the students who took the exams. The last part of our study focuses on the sequence in which the exams were taken by graduate students, highlighting the courses that students tend to postpone or take first. The exams that are taken last correspond to courses that are more difficult and/or less interesting for the students.
During our study we also tried to perform an associative analysis using the Apriori algorithm. We used in particular the version of the algorithm available in WEKA that allows to mine class association rules and applied it to a data set with the attributes and discretized as in Table 2 and in binary form, by specifying as class attribute once again. The rules obtained are not particularly interesting, for example one with greatest support is
verified by 24 first year courses over time. We think this type of analysis is best suited when the target variables are students instead of courses.
Beyond the specific results of our analysis, we believe that the proposed methodology is easily reproducible and can also be applied in contexts other than Computer Science, thanks to the simplicity of the proposed coding (see Table 1), provided that the organization is similar to that presented in this paper. The identification of the courses that present critical issues allow to analyze them and implement policies to improve the training process. For example, by intercepting courses that students tend to postpone, actions could be taken to prevent a student from becoming discouraged and dropping out.
Author Contributions
Conceptualization, D.M. and M.C.V.; methodology, D.M. and M.C.V.; data curation, R.C. and D.M.; writing—review and editing, R.C., D.M. and M.C.V.; supervision, D.M. and M.C.V. All authors have read and agreed to the published version of the manuscript.
Funding
This work was not supported by any funding, but is the result of ordinary research by the authors supported by their institution.
Institutional Review Board Statement
Not applicable.
Informed Consent Statement
Not applicable.
Data Availability Statement
Data are described in the article.
Acknowledgments
The authors of this paper would like to thank the editor and the reviewers for their helpful comments.
Conflicts of Interest
The authors declare no conflict of interest.
References
- Baker, R.S.J.D. Educational data mining: An advance for intelligent systems in education. IEEE Intell. Syst. 2014, 29, 78–82. [Google Scholar] [CrossRef]
- Bakhshinategh, B.; Zaiane, O.R.; ElAtia, S.; Donald, I. Educational data mining applications and tasks: A survey of the last 10 years. Educ. Inf. Technol. 2018, 23, 537–553. [Google Scholar] [CrossRef]
- Pena-Ayala, A. Educational data mining: A survey and a data mining-based analysis. Expert Syst. Appl. 2014, 41, 1431–1462. [Google Scholar] [CrossRef]
- Romero, C.; Ventura, S. Data mining in education. In WIREs Data Mining and Knowledge Discovery; John Wiley & Sons: Hoboken, NJ, USA, 2013; Volume 3, pp. 12–37. [Google Scholar]
- Romero, C.; Ventura, S. Educational data mining and learning analytics: An updated survey. In WIREs Data Mining and Knowledge Discovery; John Wiley & Sons: Hoboken, NJ, USA, 2020; Volume 10. [Google Scholar]
- Campagni, R.; Merlini, D.; Sprugnoli, R.; Verri, M.C. Data Mining models for student careers. Expert Syst. Appl. 2015, 42, 5508–5521. [Google Scholar] [CrossRef]
- Kinnebrew, J.S.; Loretz, K.M.; Biswas, G. A contextualized, differential sequence mining method to derive students’ learning behavior patterns. JEDM-J. Educ. Data Min. 2013, 5, 190–210. [Google Scholar]
- Lykourentzou, I.; Giannoukos, I.; Nikolopoulos, V.; Mpardis, G.; Loumos, V. Dropout prediction in e-learning courses through the combination of machine learning techniques. Comput. Educ. 2009, 53, 950–965. [Google Scholar] [CrossRef]
- Miller, L.D.; Soh, L.K.; Samal, A.; Kupzyk, K.; Nugent, G. A comparison of educational statistics and data mining approaches to identify characteristics that impact online learning. JEDM-J. Educ. Data Min. 2015, 7, 117–150. [Google Scholar]
- Romero, C.; Ventura, S.; Salcines, E. Data mining in course management systems: Moodle case study and tutorial. Comput. Educ. 2008, 51, 368–384. [Google Scholar] [CrossRef]
- Agrawal, R.; Gollapudi, S.; Kannan, A.; Kenthapadi, K. Study navigator: An algorithmically generated aid for learning from electronic textbooks. JEDM-J. Educ. Data Min. 2014, 6, 53–75. [Google Scholar]
- Knowles, J.E. Of needles and haystacks: Building an accurate statewide dropout early warning system in Wisconsin. JEDM-J. Educ. Data Min. 2015, 7, 18–67. [Google Scholar]
- Morsy, S.; Karypis, G. Will this Course Increase or Decrease Your GPA? Towards Grade-aware Course Recommendation. J. Educ. Data Min. 2019, 11, 20–46. [Google Scholar]
- Romero, C.; Ventura, S. Educational Data Mining: A Review of the State of the Art. IEEE Trans. Syst. Man, Cybern. Appl. Rev. 2010, 40, 601–618. [Google Scholar] [CrossRef]
- Hernández-Blanco, A.; Herrera-Flores, B.; Tomás, D.; Navarro-Colorado, B. A Systematic Review of Deep Learning Approaches to Educational Data Mining. Complexity 2019, 2019, 1–22. [Google Scholar] [CrossRef]
- Romero, C.; Romero, J.R.; Ventura, S. A Survey on Pre-Processing Educational Data. Stud. Comput. Intell. 2014, 524, 29–64. [Google Scholar]
- Campagni, R.; Merlini, D.; Verri, M.C. An Analysis of Courses Evaluation Through Clustering. In Communications in Computer and Information Science; Springer International Publishing: Berlin/Heidelberg, Germany, 2015; Volume 510, pp. 211–224. [Google Scholar]
- Campagni, R.; Merlini, D.; Verri, M.C. The influence of first year behaviour in the progressions of university students. In Communications in Computer and Information Science; Springer International Publishing: Berlin/Heidelberg, Germany, 2018; pp. 343–362. [Google Scholar]
- Bhutto, E.S.; Siddiqui, I.F.; Arain, Q.A.; Anwar, M. Predicting Students’ Academic Performance Through Supervised Machine Learning. In Proceedings of the 2020 International Conference on Information Science and Communication Technology (ICISCT), Karachi, Pakistan, 8–9 February 2020; pp. 1–6. [Google Scholar]
- Gutenbrunner, T.; Leeds, D.D.; Ross, S.; Riad-Zaky, M.; Weiss, G.M. Measuring the Academic Impact of Course Sequencing using Student Grade Data. In Proceedings of the Educational Data Mining 2021, Paris, France, 29 June–2 July 2021. [Google Scholar]
- Wong, C. Sequence Based Course Recommender for Personalized Curriculum Planning. In Artificial Intelligence in Education; Springer International Publishing: Berlin/Heidelberg, Germany, 2018; pp. 531–534. [Google Scholar]
- Heileman, G.L.; Abdallah, C.T.; Slim, A.; Sirhan, N. Restructuring Curricular Patterns Using Bayesian Networks. Educ. Data Min. 2021, 2021, 1–4. [Google Scholar]
- Beaubouef, T.; Mason, J. Why the high attrition rate for computer science students: Some thoughts and observations. ACM SIGCSE Bull. 2005, 37, 103–106. [Google Scholar] [CrossRef]
- Tan, P.N.; Steinbach, M.; Kumar, V. Introduction to Data Mining; Addison-Wesley: Boston, MA, USA, 2006. [Google Scholar]
- Romero, C.; Zafra, A.; Luna, J.M.; Ventura, S. Association rule mining using genetic programming to provide feedback to instructors from multiple-choice quiz data. Expert Syst. 2013, 30, 162–172. [Google Scholar] [CrossRef]
- Hsia, T.C.; Shie, A.J.; Chen, L.C. Course planning of extension education to meet market demand by using data mining techniques-an example of Chinkuo technology university in Taiwan. Expert Syst. Appl. 2008, 34, 596–602. [Google Scholar] [CrossRef]
- Delavari, N.; Phon-Amnuaisuk, S.; Beikzadeh, M.R. Data Mining Application in Higher Learning Institutions. Inform. Educ. 2008, 7, 31–54. [Google Scholar] [CrossRef]
- Huang, C.T.; Lin, W.T.; Wang, S.T.; Wang, W.S. Planning of educational training courses by data mining: Using China Motor Corporation as an example. Expert Syst. Appl. 2009, 36, 7199–7209. [Google Scholar] [CrossRef]
- De Oliveira, C.F.; Sobral, S.R.; Ferreira, M.J.; Moreira, F. How Does Learning Analytics Contribute to Prevent Students’ Dropout in Higher Education: A Systematic Literature Review. Big Data Cogn. Comput. 2021, 5, 64. [Google Scholar] [CrossRef]
Publisher’s Note: MDPI stays neutral with regard to jurisdictional claims in published maps and institutional affiliations. |
© 2022 by the authors. Licensee MDPI, Basel, Switzerland. This article is an open access article distributed under the terms and conditions of the Creative Commons Attribution (CC BY) license (https://creativecommons.org/licenses/by/4.0/).










