Long-Term Temporal Variability of Flowering Day of Red Spider Lily (Lycoris radiata)
Abstract
1. Introduction
2. Materials and Methods
2.1. Red Spider Lilies
2.2. Observation Data
2.3. Relationship Between Autumnal Equinox Day and FD
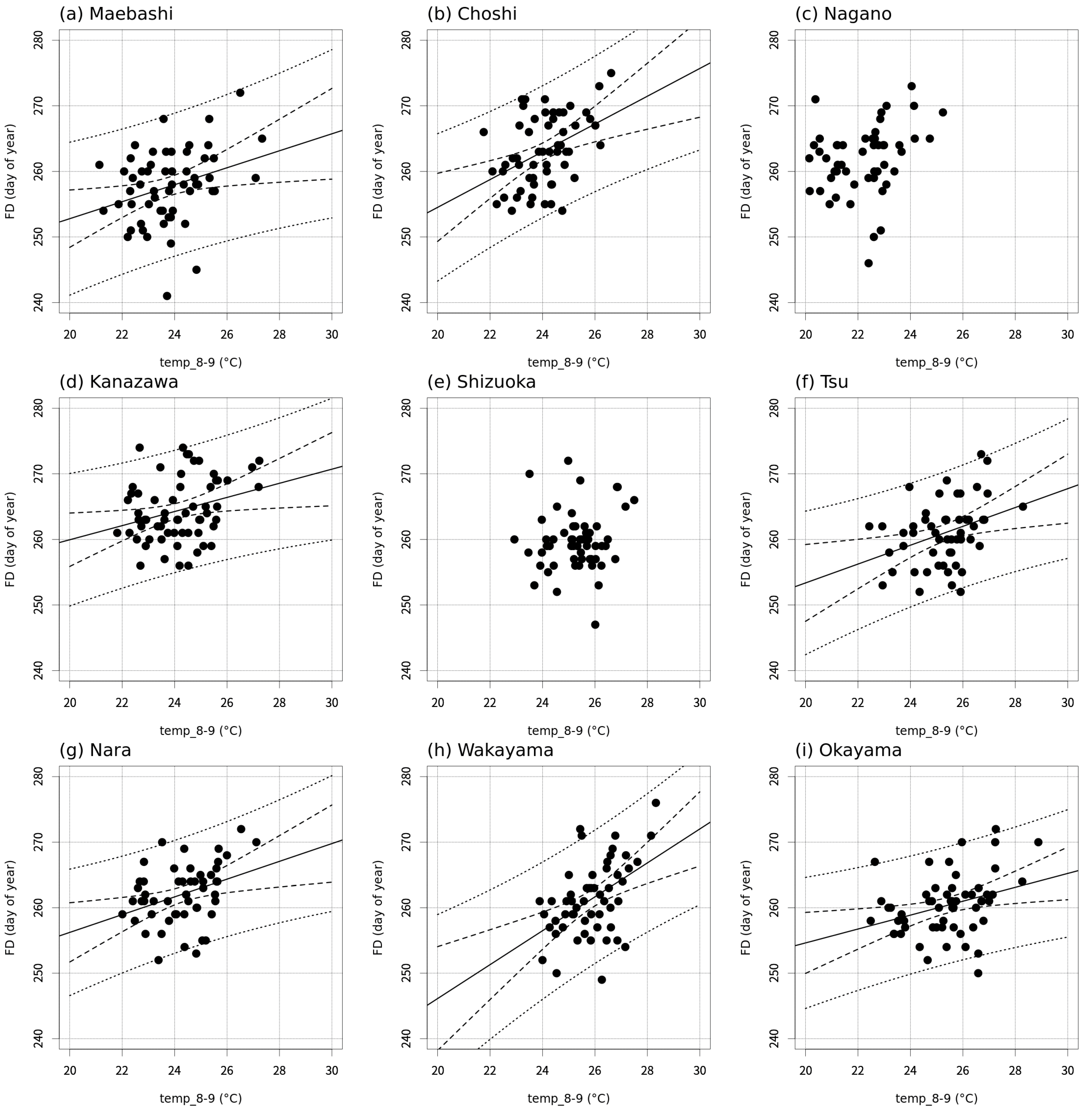
2.4. Relationship Between FD and temp_8–9
2.5. Statistical Analysis
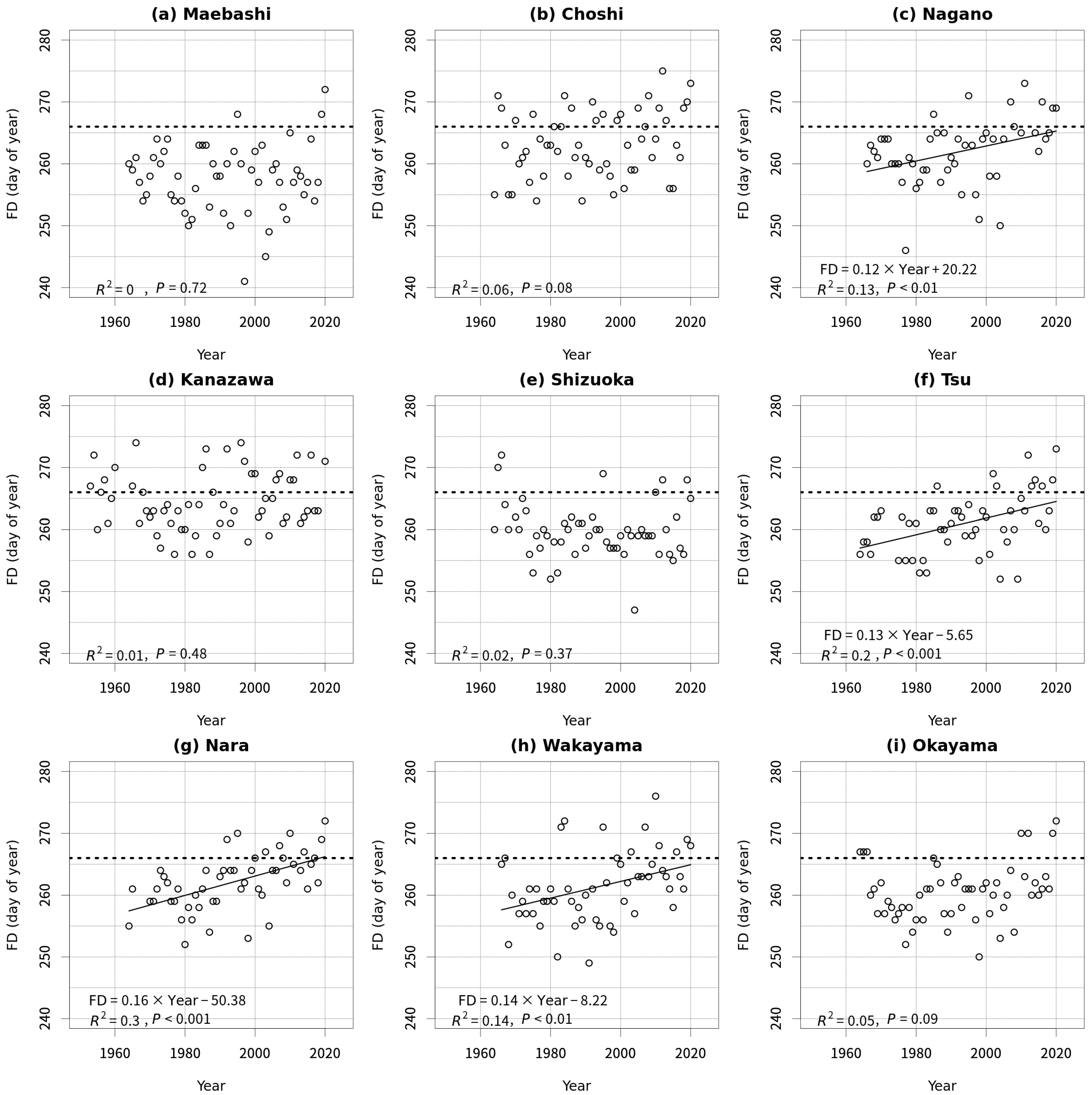
3. Results
4. Discussion
5. Conclusions
Author Contributions
Funding
Data Availability Statement
Acknowledgments
Conflicts of Interest
References
- Hayashi, A.; Saito, T.; Mukai, Y.; Kurita, S.; Hori, T. Genetic variations in Lycoris radiata var. radiata in Japan. Genes Genet. Syst. 2005, 80, 199–212. [Google Scholar] [CrossRef] [PubMed]
- Matsue, Y. Mysterious plant. In Lycoris radiata Herb: Higan Bana in Japan–Variety and Growth of Lycoris Herb; Bunka Publishing Bureau: Tokyo, Japan, 1990; pp. 8–14. (In Japanese) [Google Scholar]
- Arizona, S. Path That Red Spider Lilies Took to Japan; Kaiseisha Press: Otsu, Japan, 1998; pp. 13–18. (In Japanese) [Google Scholar]
- Arizono, S. Résumé of Red Spider Lilies; Arumu: Nagoya, Japan, 2001; pp. 7–22. (In Japanese) [Google Scholar]
- Arizono, S. Exploration of Red Spider Lilies; Arumu: Nagoya, Japan, 2017; pp. 3–19. (In Japanese) [Google Scholar]
- Kurita, S. Natural History of Red Spider Lilies; Kenseisha: Tokyo, Japan, 1998; pp. 93–95, 130–131. (In Japanese) [Google Scholar]
- Tarumoto, I. Red Spider Lilies (Manjyushage) and Japanese—Cultural Exchange Between Japanese and Manjyushage; Design Egg Inc.: Osaka, Japan, 2018; pp. 77–80. (In Japanese) [Google Scholar]
- Fumoto, J. Flower Dictionary of the Four Seasons; Yasaka Shobo Inc.: Tokyo, Japan, 1999; pp. 248–253. (In Japanese) [Google Scholar]
- Kawana, M. Lifestyle and perception transformation as seen from the change of resources: The case of Lycoris radiata. Jomin Bunka 2022, 45, 31–60. Available online: https://seijo.repo.nii.ac.jp/records/6229 (accessed on 3 December 2025). (In Japanese with English summary).
- Kawana, M. Lifeworld seen in Lycoris radiata: From the viewpoints of naming and distribution of names. Jomin Bunka 2018, 41, 11–25. Available online: https://seijo.repo.nii.ac.jp/records/5323 (accessed on 3 December 2025). (In Japanese with English summary).
- Hasegawa, A.; Konishi, K. The effect of temperature on the flower bud differentiation and development of Lycoris radiata Herb. Tech. Bull. Fac. Agric. Kagawa Univ. 1973, 24, 157–162, (In Japanese with English summary). [Google Scholar]
- Mori, G.; Imanishi, H.; Sakanishi, Y. Effect of temperature on flowering on Lycoris squamigera Maxim. and L. radiata Herb. J. Jpn. Soc. Hort. Sci. 1990, 59, 377–382, (In Japanese with English summary). [Google Scholar] [CrossRef]
- Shinbun, C. Delayed by Heat. Autumn Scenery Has Finally Arrived. Peak Flowering of Red Spider Lilies. 2024. Available online: https://www.chunichi.co.jp/article/966162 (accessed on 3 December 2025). (In Japanese).
- Shinbun, S. 5 Million Red Spider Lilies Blooming in Kinchakuda Manjyushage Park, Hidaka. A Spectacular Red Carpet. Due to the Intense Heat, Flowering was Delayed About 10 Days. 2024. Available online: https://www.saitama-np.co.jp/articles/103157 (accessed on 3 December 2025). (In Japanese).
- Wakamiya City Office. Flowering Status of Red Spider Lilies in Inunari River Park. 2025. Available online: https://www.city.miyawaka.lg.jp/kiji003449049/index.html (accessed on 3 December 2025). (In Japanese).
- Musashi Kyuryo National Government Park. Red Spider Lily. 2025. Available online: https://www.shinrinkoen.jp/?p=we-page-entrylist&spotlist=26248&type=blog (accessed on 3 December 2025). (In Japanese).
- JMA. Monthly Mean Air Temperature in Japan. 2025. Available online: https://www.data.jma.go.jp/cpdinfo/temp/oct_jpn.html (accessed on 3 December 2025). (In Japanese).
- Inoue, T.; Nagai, S. Influence of temperature change on plant tourism in Japan: A case study of the flowering of Lycoris radiata (red spider lily). Jpn. J. Biometeorol. 2015, 52, 175–184. [Google Scholar] [CrossRef]
- JMA. Phenological Observation Information. 2025. Available online: https://www.data.jma.go.jp/sakura/data/index.html (accessed on 3 December 2025). (In Japanese).
- Doi, H.; Higuchi, H.; Kobori, H.; Lee, S.; Primack, R.B. Declining phenology observations by the Japan Meteorological Agency. Nat. Ecol. Evol. 2021, 5, 886–887. [Google Scholar] [CrossRef] [PubMed]
- Gallinat, A.S.; Primack, R.B.; Wagner, D.L. Autumn, the neglected season in climate change research. Trends Ecol. Evolut. 2015, 30, 169–176. [Google Scholar] [CrossRef] [PubMed]
- Xie, Y.; Wang, X.; Wilson, A.M.; Silander, J.A., Jr. Predicting autumn phenology: How deciduous tree species respond to weather stressors. Agricult. For. Meteorol. 2018, 250–251, 127–137. [Google Scholar] [CrossRef]
- Board of Trustees of the Royal Botanic Gardens, Kew. Plants of the World Online—Lycoris radiata (L’Hér.) Herb. 2025. Available online: https://powo.science.kew.org/taxon/urn:lsid:ipni.org:names:60455959-2 (accessed on 3 December 2025).
- WFO. The World Flora Online−Lycoris radiata (L’Hér.) Herb. 2025. Available online: http://www.worldfloraonline.org/taxon/wfo-0000683573 (accessed on 3 December 2025).
- Mori, G.; Sakanishi, Y. Studies on the growth and flowering of bulbous plants of Amaryllidaceae. 1. Growth and flowering of Lycoris plants grown in the field. J. Jpn. Soc. Hort. Sci. 1977, 45, 389–396, (In Japanese with English summary). [Google Scholar] [CrossRef]
- JMA. Chronological Table of Phenological Observation—Flowering of Red Spider Lilies. 2025. Available online: https://www.data.jma.go.jp/sakura/data/pdf/073.pdf (accessed on 3 December 2025). (In Japanese).
- JMA. Phenological Observation Guidelines. 2021. Available online: https://www.data.jma.go.jp/sakura/data/kyu_shishin.pdf (accessed on 3 December 2025). (In Japanese).
- JMA. Download Past Weather Data. 2025. Available online: https://www.data.jma.go.jp/risk/obsdl/index.php (accessed on 3 December 2025). (In Japanese).
- Fujita, K. Exploring the Invisible: That’s Bayes; Practical Bayesian Statistics Using Tools; Ohmusha Ltd.: Tokyo, Japan, 2016; pp. 128–150. (In Japanese) [Google Scholar]
- The R Foundation. The R Project for Statistical Computing. 2025. Available online: https://www.r-project.org/ (accessed on 3 December 2025).
- Shigetou, D.; Nakashima, A.; Yamamoto, M. The effect of an increase of temperature in the summer on flowering of Lycoris radiata Herb. J. Jpn. Soc. Reveget. Tech. 2006, 32, 118–121, (In Japanese with English summary). [Google Scholar] [CrossRef]
- Northwest Pacific Region Environmental Cooperation Center. Biological Seasonal Survey—NEAR Environmental Project. 2014. Available online: https://www.npec.or.jp/bioseason/en/index.html (accessed on 3 December 2025).
- National Institute for Environmental Studies. National Institute for Environmental Studies: Phenological Monitoring in Collaboration with Citizen Researchers. 2025. Available online: https://adaptation-platform.nies.go.jp/ccca/monitoring/phenology/index.html (accessed on 3 December 2025). (In Japanese)
- Tanaka, Y.; Mizuno, Y.; Uesawa, M.; Kodama, Y. Surveys of flowering dates of Lycoris radiata (Liliales: Amaryllidaceae) by citizen in Itami City. Bull. Itami City Mus. Insects 2014, 2, 1–5. (In Japanese) [Google Scholar]
- Asuka Tourism Association. Flowering Information in Red Spider Lilies. 2025. Available online: https://www.asukakyo.jp/%E3%81%8A%E7%9F%A5%E3%82%89%E3%81%9B-%E3%83%96%E3%83%AD%E3%82%B0/%E5%BD%BC%E5%B2%B8%E8%8A%B1%E6%83%85%E5%A0%B12025/ (accessed on 3 December 2025). (In Japanese).
- Kinchakuda Administration Office, Hidaka City in Saitama Prefecture. Hidaka Kinchakuda. 2025. Available online: https://kinchakuda.com/ (accessed on 3 December 2025). (In Japanese).
- Shin, N.; Maruya, Y.; Saitoh, T.M.; Tsutsumida, N. Usefulness of social sensing using text mining of tweets for detection of autumn phenology. Front. For. Glob. Change 2021, 4, 659910. [Google Scholar] [CrossRef]
- Shin, N.; Saitoh, T.M.; Tsutsumida, N. Retrieval of cherry flowering phenology on Flickr and YouTube: A case study along the Tarumi railway, Gifu, Japan. Front. Sustain. Tour. 2024, 3, 1280685. [Google Scholar] [CrossRef]
- Daux, V.; García de Cortázar-Atauri, I.; Yiou, P.; Chuine, I.; Garnier, E.; Le Roy Ladurie, E.; Mestre, O.; Tardaguila, J. NOAA/WDS Paleoclimatology—Western Europe 650 Year Grape Harvest Date Database. NOAA National Centers for Environmental Information. 2012. Available online: https://www.ncei.noaa.gov/metadata/geoportal/rest/metadata/item/noaa-historical-13194/html (accessed on 3 December 2025).
- Aono, Y.; Saito, S.; Kazui, K. NOAA/WDS Paleoclimatology—Kyoto, Japan 1,200 Year Cherry Tree Flowering Dates and March Temperature Reconstructions. NOAA National Centers for Environmental Information. 2019. Available online: https://www.ncei.noaa.gov/metadata/geoportal/rest/metadata/item/noaa-historical-26430/html (accessed on 3 December 2025).





| Site | Period | Posterior Distribution | Mean | Variance | Site | Period | Posterior Distribution | Mean | Variance |
|---|---|---|---|---|---|---|---|---|---|
| Maebashi | 1964–1970 | Be(1, 8) | 0.111 | 0.01 | Tsu | 1964–1970 | Be(1, 8) | 0.111 | 0.01 |
| 1964–1980 | Be(1, 18) | 0.053 | 0.002 | 1964–1980 | Be(1, 14) | 0.067 | 0.004 | ||
| 1964–1990 | Be(1, 28) | 0.034 | 0.001 | 1964–1990 | Be(2, 23) | 0.08 | 0.003 | ||
| 1964–2000 | Be(2, 37) | 0.051 | 0.001 | 1964–2000 | Be(2, 33) | 0.057 | 0.001 | ||
| 1964–2010 | Be(2, 47) | 0.041 | 0.001 | 1964–2010 | Be(4, 41) | 0.089 | 0.002 | ||
| 1964–2020 | Be(4, 55) | 0.068 | 0.001 | 1964–2020 | Be(10, 45) | 0.182 | 0.003 | ||
| Choshi | 1964–1970 | Be(4, 5) | 0.444 | 0.025 | Nara | 1964–1970 | Be(1, 4) | 0.2 | 0.027 |
| 1964–1980 | Be(5, 14) | 0.263 | 0.01 | 1964–1980 | Be(1, 14) | 0.067 | 0.004 | ||
| 1964–1990 | Be(7, 22) | 0.241 | 0.006 | 1964–1990 | Be(1, 24) | 0.04 | 0.001 | ||
| 1964–2000 | Be(12, 27) | 0.308 | 0.005 | 1964–2000 | Be(3, 32) | 0.086 | 0.002 | ||
| 1964–2010 | Be(14, 35) | 0.286 | 0.004 | 1964–2010 | Be(6, 39) | 0.133 | 0.003 | ||
| 1964–2020 | Be(20, 39) | 0.339 | 0.004 | 1964–2020 | Be(9, 45) | 0.167 | 0.003 | ||
| Nagano | 1964–1970 | Be(1, 6) | 0.143 | 0.015 | Wakayama | 1964–1970 | Be(1, 5) | 0.167 | 0.02 |
| 1964–1980 | Be(1, 16) | 0.059 | 0.003 | 1964–1980 | Be(1, 15) | 0.063 | 0.003 | ||
| 1964–1990 | Be(2, 25) | 0.074 | 0.002 | 1964–1990 | Be(3, 23) | 0.115 | 0.004 | ||
| 1964–2000 | Be(3, 34) | 0.081 | 0.002 | 1964–2000 | Be(4, 32) | 0.111 | 0.003 | ||
| 1964–2010 | Be(4, 41) | 0.089 | 0.002 | 1964–2010 | Be(7, 39) | 0.152 | 0.003 | ||
| 1964–2020 | Be(8, 45) | 0.151 | 0.002 | 1964–2020 | Be(11, 45) | 0.196 | 0.003 | ||
| Kanazawa | 1953–1960 | Be(5, 5) | 0.5 | 0.023 | Okayama | 1964–1970 | Be(4, 5) | 0.444 | 0.025 |
| 1953–1970 | Be(7, 9) | 0.438 | 0.014 | 1964–1980 | Be(4, 15) | 0.211 | 0.008 | ||
| 1953–1980 | Be(7, 19) | 0.269 | 0.007 | 1964–1990 | Be(4, 25) | 0.138 | 0.004 | ||
| 1953–1990 | Be(9, 27) | 0.25 | 0.005 | 1964–2000 | Be(4, 35) | 0.103 | 0.002 | ||
| 1953–2000 | Be(14, 31) | 0.311 | 0.005 | 1964–2010 | Be(5, 43) | 0.104 | 0.002 | ||
| 1953–2010 | Be(17, 38) | 0.309 | 0.004 | 1964–2020 | Be(8, 50) | 0.138 | 0.002 | ||
| 1953–2020 | Be(21, 43) | 0.328 | 0.003 | ||||||
| Shizuoka | 1964–1970 | Be(3, 5) | 0.375 | 0.026 | |||||
| 1964–1980 | Be(3, 15) | 0.167 | 0.007 | ||||||
| 1964–1990 | Be(3, 25) | 0.107 | 0.003 | ||||||
| 1964–2000 | Be(4, 34) | 0.105 | 0.002 | ||||||
| 1964–2010 | Be(4, 44) | 0.083 | 0.002 | ||||||
| 1964–2020 | Be(6, 52) | 0.103 | 0.002 |
| Figure | Site | Regression Function | R2 | Testing Significance of Regression * | |
|---|---|---|---|---|---|
| Intercept | Slope | ||||
| Figure 5a | Maebashi | y = 1.30x + 226.90 | 0.09 | t = 17.50, p < 0.001 | t = 2.38, p < 0.05 |
| Figure 5b | Choshi | y = 2.12x + 212.15 | 0.18 | t = 14.29, p < 0.001 | t = 3.44, p < 0.01 |
| Figure 5c | Nagano | y = 1.15x + 236.30 | 0.07 | t = 18.10, p < 0.001 | t = 1.96, p = 0.06 |
| Figure 5d | Kanazawa | y = 1.08x + 238.42 | 0.08 | t = 21.05, p < 0.001 | t = 2.30, p < 0.05 |
| Figure 5e | Shizuoka | y = 0.50x + 247.23 | 0.01 | t = 15.79, p < 0.001 | t = 0.80, p = 0.43 |
| Figure 5f | Tsu | y = 1.44x + 224.62 | 0.12 | t = 16.45, p < 0.001 | t = 2.67, p < 0.05 |
| Figure 5g | Nara | y = 1.36x + 229.11 | 0.13 | t = 18.65, p < 0.001 | t = 2.69, p < 0.01 |
| Figure 5h | Wakayama | y = 2.59x + 194.35 | 0.23 | t = 11.33, p < 0.001 | t = 3.91, p < 0.001 |
| Figure 5i | Okayama | y = 1.06x + 233.40 | 0.11 | t = 22.04, p < 0.001 | t = 2.55, p < 0.05 |
Disclaimer/Publisher’s Note: The statements, opinions and data contained in all publications are solely those of the individual author(s) and contributor(s) and not of MDPI and/or the editor(s). MDPI and/or the editor(s) disclaim responsibility for any injury to people or property resulting from any ideas, methods, instructions or products referred to in the content. |
© 2026 by the authors. Licensee MDPI, Basel, Switzerland. This article is an open access article distributed under the terms and conditions of the Creative Commons Attribution (CC BY) license.
Share and Cite
Shin, N.; Saitoh, T.M. Long-Term Temporal Variability of Flowering Day of Red Spider Lily (Lycoris radiata). Data 2026, 11, 9. https://doi.org/10.3390/data11010009
Shin N, Saitoh TM. Long-Term Temporal Variability of Flowering Day of Red Spider Lily (Lycoris radiata). Data. 2026; 11(1):9. https://doi.org/10.3390/data11010009
Chicago/Turabian StyleShin, Nagai, and Taku M. Saitoh. 2026. "Long-Term Temporal Variability of Flowering Day of Red Spider Lily (Lycoris radiata)" Data 11, no. 1: 9. https://doi.org/10.3390/data11010009
APA StyleShin, N., & Saitoh, T. M. (2026). Long-Term Temporal Variability of Flowering Day of Red Spider Lily (Lycoris radiata). Data, 11(1), 9. https://doi.org/10.3390/data11010009

