Next Article in Journal
A Combined HF Radar and Drifter Dataset for Analysis of Highly Variable Surface Currents
Previous Article in Journal
Multi-Resolution Remote Sensing Dataset for the Detection of Anthropogenic Litter: A Multi-Platform and Multi-Sensor Approach
 
 
Font Type:
Arial Georgia Verdana
Font Size:
Aa Aa Aa
Line Spacing:
Column Width:
Background:
Data Descriptor

Data on Brazilian Powdered Milk Formulations for Infants of Various Age Groups: 0–6 Months, 6–12 Months, and 12–36 Months

by
Francisco José Mendes dos Reis
1,2,
Antonio Marcos Jacques Barbosa
3,
Elaine Silva de Pádua Melo
1,
Marta Aratuza Pereira Ancel
1,
Rita de Cássia Avellaneda Guimarães
1,
Priscila Aiko Hiane
1,
Flavio Santana Michels
4,
Daniele Bogo
1,
Karine de Cássia Freitas Gielow
1,
Diego Azevedo Zoccal Garcia
1,
Geovanna Vilalva Freire
5,
João Batista Gomes de Souza
5 and
Valter Aragão do Nascimento
1,*
1
Group of Spectroscopy and Bioinformatics Applied Biodiversity and Health (GEBABS), Postgraduation Program in Health and Development in the Midwest Region, School of Medicine, Faculty of Medicine, Federal University of Mato Grosso do Sul (UFMS), Campo Grande 79070-900, Brazil
2
Toxicology Integrated Surveillance Center, Health Department of Mato Grosso do Sul State, Campo Grande 79002-060, Brazil
3
Central Laboratory of Public Health of Mato Grosso do Sul State, Health Department of Mato Grosso do Sul State, Campo Grande 79074-460, Brazil
4
Instituto de Fisica/UFMS, Universidade Federal de Mato Grosso do Sul (UFMS), Campo Grande 79070-900, Brazil
5
Instituto de Química/UFMS, Universidade Federal de Mato Grosso do Sul (UFMS), Campo Grande 79074-460, Brazil
*
Author to whom correspondence should be addressed.
Data 2025, 10(7), 114; https://doi.org/10.3390/data10070114
Submission received: 29 May 2025 / Revised: 5 July 2025 / Accepted: 7 July 2025 / Published: 9 July 2025

Abstract

Milk powder is a key nutritional alternative to breastfeeding, but its thermal properties, which vary with temperature, can affect its quality and shelf life. However, there is little information about the physical and chemical properties of powdered milk in several countries. This dataset contains the result of an analysis of the aflatoxins, macroelement and microelement concentrations, oxidative stability, and fatty acid profile of infant formula milk powder. The concentrations of Al, As, Ba, Cd, Co, Cr, Cu, Fe, Mg, Mn, Mo, Ni, Pb, Se, V, and Zn in digested powdered milk samples were quantified through inductively coupled plasma optical emission spectrometry (ICP OES). Thermogravimetry (TG) and differential scanning calorimetry (DSC) were used to estimate the oxidative stability of infant formula milk powder, while the methyl esters of the fatty acids were analyzed by gas chromatography. Most milk samples showed significant concentrations of As (0.5583–1.3101 mg/kg) and Pb (0.2588–0.0847 mg/kg). The concentrations of aflatoxins G2 and B2 are below the limits established by Brazilian regulatory agencies. The thermal degradation behavior of the samples is not the same due to their fatty acid compositions. The data presented may be useful in identifying compounds present in infant milk powder used as a substitute for breast milk and understanding the mechanism of thermal stability and degradation, ensuring food safety for those who consume them.
Dataset License: CC-BY-4.0

1. Summary

According to the World Health Organization (WHO) [1], the greatest health concerns are related to naturally occurring toxins. Aflatoxins are naturally produced mycotoxins generated by Aspergillus flavus and Aspergillus parasiticus. There are several types of aflatoxins, including aflatoxins B1 (AFB1), B2 (AFB2), G1 (AFG1), and G2 (AFG2) [2]. Among them, aflatoxin B1 is the most commonly found in food and is recognized as one of the most potent genotoxic and carcinogenic compounds [3]. In several countries, some studies have reported the occurrence of mycotoxins in powdered milk [4,5,6].
In addition to aflatoxins, there are many other agents in food that exhibit toxic and carcinogenic effects. Studies carried out in Turkey analyzed the presence of elements such as aluminum (Al), lead (Pb), manganese (Mn), chromium (Cr), and cadmium (Cd) in 63 infant formulas for children aged 0 to 12 months [7]. In the same country, lead, cadmium (Cd), arsenic (As), and mercury (Hg) levels were quantified in 36 samples of infant formula for babies within the age range of 0–24 months [8]. According to the authors, some levels of elements in infant formulas are above the values established by daily intake recommendations and risk calculations. In other studies, Spanish infant formulas from 15 different brands for children aged 6 to 12 months contained various chemical elements (sodium Na, potassium K, calcium Ca, magnesium Mg, iron Fe, copper Cu, zinc Zn, chromium Cr, boron B, barium Ba, nickel Ni, lithium Li, vanadium V, strontium Sr, molybdenum Mo, manganese Mn, aluminum Al, cadmium Cd, and lead Pb); among all the heavy metals, Pb exceeded the maximum limit established in European legislation [9].
Several nutritional properties and the quality of powdered milk can be affected by the presence of metals in its composition [10]. Factors such as ambient temperature, adulteration, variation in the composition of saturated and unsaturated fatty acids, proteins, and the lactose concentration can influence deterioration, decomposition, or shelf life. According to research, thermoanalytical methods of analysis can lead to a better comprehension of the physical properties of milk powders that are fundamental to their functional and commercial quality [11,12].
There are different formulas available for infants younger than 12 months who are not receiving breast milk, just as there are formulas for children older than 12 months. Although several researchers have carried out studies on formulas used as food for children in the 0–12-month age range, there is still little information in the literature on various powdered milk formulations with and without probiotics used for various other age ranges, as well as their thermal properties and concentrations of macroelements and microelements.
In view of the above, this study aimed to identify aflatoxins (B1, G1, B2, and G2) in samples of powdered milk for children aged 0 to 6 months, 6 to 12 months, and 1 year to 3 years; to quantify Al, As, Ba, Cd, Co, Cr, Cu, Fe, Mg, Mn, Mo, Ni, Pb, Se, V, and Zn in ten powdered milk formulations, these being Brazilian infant formulations, as well as evaluate the thermal properties of the samples through thermogravimetric analysis (TG) and differential scanning calorimetry (DSC); and finally, to determine the composition of fatty acids in the infant formulations. Macroelements and microelements in different matrices of powdered milk samples were quantified by inductively coupled plasma optical emission spectrometry (ICP OES). Thermogravimetry (TG) and differential scanning calorimetry (DSC) curves were generated using TGA Q-50 and DSC-Q20 instruments, coupled to an RCS90 refrigeration system. The methyl esters of the fatty acids were analyzed by gas chromatography to obtain their peaks.

2. Data Description

This paper is structured as follows: Section 2.1 includes Figure 1, which contains the results of a chromatogram obtained for aflatoxins G2 and B2, while Section 2.2 (Table 1) shows the experimental data on the concentrations of Al, As, Ba, Cd, Co, Cr, Cu, Fe, Mg, Mn, Mo, Ni, Pb, Se, V, and Zn in ten powdered milk formulations. In Section 2.3, graphs of the thermal stability of the ten milk powder formulations obtained by thermogravimetry (TG) and differential scanning calorimetry (DSC) are presented (Figure 2 and Figure 3), while Table 2 contains the initial (Ti) and final (Tf) decomposition temperatures of powdered milk, respectively. In addition, the subsequent section (Section 2.4) provides data on the fatty acid composition of ten powdered milk formulations (Table 3).

2.1. Aflatoxins in Infant Formula

The chromatograms in Figure 1 show the retention times of aflatoxins G2 and B2 quantified in a powdered milk sample, specifically 5.04 min for G2 and 5.27 min for B2. According to the results, nine samples showed detectable levels of aflatoxins, five samples of type B2 and four samples of type G2. Samples in which aflatoxins B2 and G2 were detected were designated as infant formula for infants and young children (0 to 6 months). This suggests that G2 elutes slightly before B2 in the chromatographic system used. In addition, the area of each peak in Figure 1 is proportional to the concentration of the substance. Here, the chromatography data management software (Xcalibur™ Data Acquisition and Processing Software, version 4.3 (Thermo Fisher Scientific, Waltham, MA, USA)) calculated the concentration of the sample by integration; considering Figure 1, in this case, the concentrations of aflatoxins G2 and B2 range from 0.020 to 0.50 µg/kg and 0.030 to 0.20 µg/kg, respectively. The values do not exceed the maximum tolerated limit of 1.0 μg/kg established for infant formulas in Brazil. Aflatoxins B1 and G1 were not quantified in the samples studied.
Figure 1. (a) Chromatogram obtained for aflatoxin G2 (retention time, t = 5.04 min); (b) chromatogram obtained for aflatoxin B2 (retention time, t = 5.27 min).
Figure 1. (a) Chromatogram obtained for aflatoxin G2 (retention time, t = 5.04 min); (b) chromatogram obtained for aflatoxin B2 (retention time, t = 5.27 min).
Data 10 00114 g001

2.2. Macro- and Microelements Data

The data on elemental content present in the S1–S10 sample group of infant formulas marketed in Brazil detected by ICP OES (in units of mg/kg ± standard deviation of triplicate) are presented in Table 1. The element Al was quantified only in sample S8, while Ba was quantified in samples S9 and S10. Toxic elements such as As and Pb were quantified in almost all powdered milk samples. In addition, chemical elements such as Cd, Cr, Co, and Ni are below the detection limit (LOD) in all samples of infant formula analyzed.
Table 1. Concentrations of metals and metalloids quantified (mg/kg) in powder milk from a market in Brazil.
Table 1. Concentrations of metals and metalloids quantified (mg/kg) in powder milk from a market in Brazil.
Elements
SamplesAlAsBaCdCoCrCuFeMg
S1<LOD0.7619 ± 0.0542<LOD<LOD<LOD<LOD3.191 ± 0.128442.82 ± 0.9205333.9 ± 9.651
S2<LOD0.5583 ± 0.0691<LOD<LOD<LOD<LOD2.233 ± 0.051033.36 ± 0.5109355.4 ± 2.887
S3<LOD0.8385 ± 0.0341<LOD<LOD<LOD<LOD3.061 ± 0.072535.99 ± 0.2886433.0 ± 8.773
S4<LOD0.8457 ± 0.0460<LOD<LOD<LOD<LOD2.690 ± 0.072939.30 ± 0.4568281.3 ± 4.485
S5<LOD0.8534 ± 0.0638<LOD<LOD<LOD<LOD2.694 ± 0.033858.08 ± 0.5283220.2 ± 1.415
S6<LOD1.150 ± 0.0954<LOD<LOD<LOD<LOD2.708 ± 0.063664.45 ± 0.9266249.6 ± 3.804
S7<LOD0.9528 ± 0.0977<LOD<LOD<LOD<LOD2.907 ± 0.066352.18 ± 0.3669424.8 ± 6.227
S81.358 ±0.10300.9497 ± 0.0734<LOD<LOD<LOD<LOD2.897 ± 0.060952.87 ± 0.2481468.1 ± 3.2037
S9<LOD1.310 ± 0.04331.048 ± 0.0297<LOD<LOD<LOD3.251 ± 0.072772.58 ± 1.0187450.6 ± 11.16
S10<LOD1.188 ± 0.05650.4421 ± 0.0262<LOD<LOD<LOD2.753 ± 0.100155.89 ± 1.265338.0 ± 7.679
SamplesMnMoNiPbSeVZn
S10.3548 ± 0.0140<LOD<LOD<LOD0.9004 ± 0.12610.4026 ± 0.040837.93 ± 0.5665
S20.3193 ± 0.0109<LOD<LOD0.1437 ± 0.12760.6862 ± 0.10610.1192 ± 0.020329.10 ± 0.4753
S30.2824 ± 0.0085<LOD<LOD0.2141 ± 0.06751.045 ± 0.05240.4165 ± 0.021036.06 ± 0.0897
S40.3569 ± 0.0089<LOD<LOD0.0847 ± 0.05060.9536 ± 0.09220.0888 ± 0.023627.14 ± 0.0981
S5<LOD0.0108 ± 0.0113<LOD0.1118 ± 0.08490.9330 ± 0.06250.0149 ± 0.009536.79 ± 0.3511
S6<LOD0.0724 ± 0.0306<LOD0.2270 ± 0.13871.185 ± 0.14210.0966 ± 0.025247.64 ± 0.2695
S7<LOD0.0108 ± 0.0011<LOD0.2402 ± 0.14781.166 ± 0.12450.4497 ± 0.023536.10 ± 0.7126
S80.2786 ± 0.0095<LOD<LOD0.1785 ± 0.09570.9733 ± 0.09000.4854 ± 0.031433.41 ± 0.1785
S94.506 ± 0.07040.0247 ± 0.0191<LOD0.2588 ± 0.09581.368 ± 0.07730.6727 ± 0.030742.53 ± 0.3046
S101.554 ± 0.05760.0990 ± 0.0235<LOD0.2586 ± 0.09731.261 ± 0.10340.2940 ± 0.033938.12 ± 0.9929
Age range: S1–S4 = 0–6 months; S5–S7 = 6–12 months; S8–S10 = 12–36 months. <LOD—Analyte concentrations were below the limits of detection.

2.3. Thermogravimetry (TG) and Differential Scanning Calorimetry (DSC) Data

Thermogravimetric analysis (TG) and differential scanning calorimetry (DSC) are complementary thermal analysis techniques that provide different types of information about the infant formula samples. TG measures changes in mass as a function of temperature or time, allowing the detection of moisture loss, thermal decomposition steps, and residual content such as ash or inorganic matter. In contrast, DSC measures the heat flow associated with physical and chemical transitions, such as melting, crystallization, or phase changes, providing insights into the thermal stability, composition, and energy required for these transitions. Together, these techniques offer a comprehensive understanding of the thermal behavior and compositional characteristics of powdered milk samples.
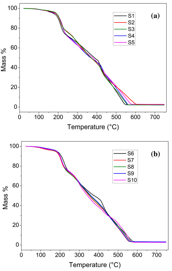
The thermal behavior data for the infant formula samples S1–S10 sold in Brazil are shown in Figure 2 and Figure 3. Figure 2 presents the thermogravimetric (TG) decomposition curves, where Figure 2a shows the curves for samples S1–S5, and Figure 2b shows the curves for samples S6–S10.
Figure 2. Thermogravimetric curves of thermal decomposition of infant formulas. (a) Decomposition curves of powdered milk samples S1 (0–6 months), S2 (0–6 months), S3 (0–6 months), S4 (0–6 months), and S5 (6–12 months); (b) decomposition curves of powdered milk samples S6 (6–12 months), S7 (6–12 months), S8 (12–36 months), S9 (12–36 months), and S10 (12–36 months).
Figure 2. Thermogravimetric curves of thermal decomposition of infant formulas. (a) Decomposition curves of powdered milk samples S1 (0–6 months), S2 (0–6 months), S3 (0–6 months), S4 (0–6 months), and S5 (6–12 months); (b) decomposition curves of powdered milk samples S6 (6–12 months), S7 (6–12 months), S8 (12–36 months), S9 (12–36 months), and S10 (12–36 months).
Data 10 00114 g002
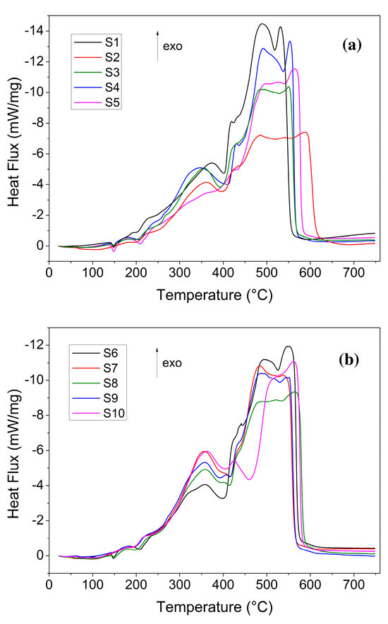
Figure 3. Differential scanning calorimetry (DSC) curves of milk powder samples (S1–S10) under synthetic air atmosphere at 50 mL/min. (a) Decomposition curves of samples S1 (0–6 months), S2 (0–6 months), S3 (0–6 months), S4 (0–6 months), and S5 (6–12 months); (b) decomposition curves of samples S6 (6–12 months), S7 (6–12 months), S8 (12–36 months), S9 (12–36 months), and S10 (12–36 months). Comparison of heat flux curves between (a) samples 1–5 and (b) samples 6–10.
Figure 3. Differential scanning calorimetry (DSC) curves of milk powder samples (S1–S10) under synthetic air atmosphere at 50 mL/min. (a) Decomposition curves of samples S1 (0–6 months), S2 (0–6 months), S3 (0–6 months), S4 (0–6 months), and S5 (6–12 months); (b) decomposition curves of samples S6 (6–12 months), S7 (6–12 months), S8 (12–36 months), S9 (12–36 months), and S10 (12–36 months). Comparison of heat flux curves between (a) samples 1–5 and (b) samples 6–10.
Data 10 00114 g003
Figure 3 displays the differential scanning calorimetry (DSC) curves for the same samples, specifically infant formulas sold in Campo Grande, Brazil. Figure 3a contains the DSC curves for samples S1, S2, S3, S4, and S5, while Figure 3b presents the DSC curves for samples S6, S7, S8, S9, and S10. In addition, the temperature intervals, onset, and endset temperatures for the thermal events are summarized in Table 2.
Table 2. Initial (Ti—onset) and final (Tf—endset) decomposition temperatures and reaction interval (ΔT) of milk powder samples.
Table 2. Initial (Ti—onset) and final (Tf—endset) decomposition temperatures and reaction interval (ΔT) of milk powder samples.
Brazilian CompaniesTi—Onset
Initial Temperature (°C)
Tf—Endset
Final Temperature (°C)
ΔT = Tf − Ti
Temperature Interval (°C)
S1150.00546.443396.443
S2125.00606.918481.918
S3150.00559.275409.275
S4120.00558.661438.661
S5155.00576.203421.203
S6150.00576.089426.089
S7125.00557.775432.775
S8150.00565.678415.678
S9150.00557.775407.775
S10100.00569.937469.937
In thermogravimetric analysis, Ti and Tf represent the initial and final decomposition temperatures of a material, respectively. For milk powder samples, Ti—onset marks the onset of significant mass loss due to heating, while Tf—endset indicates the end of the decomposition process. The temperature interval (ΔT = Tf − Ti) reflects the thermal degradation range. These values, obtained from the thermal profiles (Figure 2 and Figure 3), are summarized in Table 2 and are essential for evaluating the thermal stability and decomposition behavior of milk powder, which influence its quality, processing, and shelf life.

2.4. Fatty Acid Methyl Esters (FAMEs) Data

Table 3 shows the data on saturated (SFAs), monounsaturated (MUFAs), and polyunsaturated fatty acids (PUFAs). Palmitic acid (16:0) is a major component, often accounting for a significant portion of the total fatty acid (SFA). Palmitoleic acid (C16:1), a monounsaturated fatty acid, is present in infant formulas S3–S5. Oleic acid (C18:1n9) and erucic acid (C22:1n9) were found to be the least abundant MUFAs. The information provided implies that linoleic acid is unique to sample S2, and eicosadienoic acid is unique to sample S3.
Table 3. Fatty acid composition of oil from infant formula.
Table 3. Fatty acid composition of oil from infant formula.
Fatty Acids (%)S1S2S3S4S5S6S7S8S9S10
C15:0 (pentadecanoic acid)<LOD<LOD<LOD<LOD<LOD<LOD<LOD<LOD0.04 ± 0.01<LOD
C16:0 (palmitic acid)34.24 ± 0.0593.06 ± 0.0278.39 ± 0.0471.21 ± 0.0280.74 ± 0.0273.22 ± 0.0362.27 ± 0.0581.17 ± 0.0384.75 ± 0.0285.28 ± 0.06
C17:0 (margaric acid)<LOD<LOD<LOD<LOD<LOD<LOD<LOD<LOD<LOD<LOD
C20:0 (araquidic acid)<LOD0.05<LOD<LOD<LOD<LOD<LOD<LOD<LOD<LOD
C21:0 (heneicosanoic acid)<LOD<LOD0.06 ± 0.01<LOD<LOD<LOD<LOD<LOD0.05 ± 0.01<LOD
∑ SATURATED (SFA)35.2493.1178.4571.2180.7473.5262.2781.1784.7985.28
C16:1 (palmitoleic acid)<LOD<LOD0.06 ± 0.020.36 ± 0.010.40 ± 0.02<LOD<LOD<LOD<LOD<LOD
C17:1 (10-heptadecanoic acid)0.65<LOD<LOD<LOD<LOD<LOD<LOD0.02<LOD<LOD
C18:1n9c (oleic acid)<LOD<LOD<LOD<LOD<LOD<LOD63.11 ± 0.04<LOD<LOD<LOD
C22:1n9 (erucic acid)<LOD<LOD<LOD<LOD<LOD<LOD<LOD<LOD0.98 ± 0.02<LOD
∑ MONOUNSATURATED (MUFA)0.65<LOD0.060.360.40<LOD63.110.020.98<LOD
C18:2n6c (linoleic acid)<LOD33.00 ± 0.05<LOD<LOD<LOD<LOD<LOD<LOD<LOD<LOD
C20:2 (eicosadienoic acid)<LOD<LOD0.03 ± 0.01<LOD<LOD<LOD<LOD<LOD<LOD<LOD
∑ POLYUNSATURATED (PUFA)<LOD33.000.03<LOD<LOD<LOD<LOD<LOD<LOD<LOD
<LOD—Concentrations were below the analytical limit of detection.

3. Methods

3.1. Sample Collection

A total of 100 infant formula samples were acquired in commercial establishments in Mato Grosso do Sul (supermarkets and pharmacies) from April 2021 to May 2022, in the State of Mato Grosso do Sul, Brazil. In this study, 87 samples were donated by the Health Surveillance of the State of Mato Grosso do Sul, Brazil, and 13 samples were purchased by the authors. For each company, 10 different batches of powdered milk were purchased and then mixed to obtain a single representative sample. All infant formulas were packaged in cans labeled as powder forms and for the ages 0 to 6 months, 6 to 12 months, and 12 to 36 months (Table 4). These same samples were classified by company and age group. For other analyses, such as those of macro- and microelements, thermal behavior, and the composition of fatty acids, a pool of samples of the same brand and for the same age group was considered to form a sample group, in which they are denominated from S1 to S10.

3.2. Quantification of Aflatoxins in Infant Formula

Primary solutions of the standards were prepared by completely dissolving 0.005 g of the reference materials in HPLC-grade acetonitrile at a concentration of 500 µg/mL. Stock solutions (SE) of aflatoxins B1 (99.3% purity), B2 (99.3% purity), G1 (98% purity), and G2 (99.2% purity) (Supelco—Sigma-Aldrich, St. Louis, MA, USA) were individually prepared at different concentrations. Next, a stock solution was prepared at a concentration of 10 µg/mL in acetonitrile. Concentrations of stock solutions were determined by UV/Vis spectroscopy (UV-2600i, Shimadzu, Kyoto, Japan) using the AOAC International Standard (2005). Subsequently, dilutions of the standardized solutions were made to obtain an intermediate concentration of 200 ng/mL.
All stock solutions were stored at −20 °C. Aliquots of these solutions (200 ng/mL) were diluted and adjusted to 20 ng/mL. Therefore, dilutions of these solutions were used to prepare the calibration curves for each aflatoxin. The determination of aflatoxins in infant formulas was performed using the multiresidual analytical method based on the QuEChERS (Quick, Easy, Cheap, Effective, Rugged, and Safe) method for extracting mycotoxins. The entire procedure was performed according to the QuEChERS extraction steps used by Sartori et al. (2015) [13]. Figure 4 shows the chromatograms obtained from aflatoxin standards B1, B2, G1, and G2 at retention times of 5.37 min, 5.27 min, 5.16 min, and 5.04 min, respectively.
Aflatoxin B1, aflatoxin B2, aflatoxin G1, and aflatoxin G2 were determined using Ultra Performance Liquid Chromatography (UPLC) (Thermo Fisher Scientific, Bremen, Germany, model Ultimate 3000) and Q Exactive Orbitrap Mass Spectrometers (MS) (Thermo-Fisher, Waltham, MA, USA). The UltiMate 3000 operates at flow rates from 20 nL/min to 10 mL/min and has a Heated Electrospray Ionization Source (HESI) operating in positive mode. The maximum pressure is 1000 bar with flows of up to 8 mL/min; binary, quaternary, and dual-gradient pumps are available. It is the largest line of detectors on the market, with a signal acquisition rate of up to 200 Hz; dual systems are used for increased productivity. Since the UltiMate 3000 XRS is a quaternary UHPLC-MS system designed to optimize the performance of small-particle columns because it is capable of working with pressures of up to 1250 bar, a C18 column was used in the chromatographic separation process of aflatoxins (150 mm X 4.6 mm X 80 A) and particles with a size of 5 µm (11% carbon). The column temperature was maintained at 35 °C throughout the chromatographic run. The mobile phase used was composed of an aqueous solution of 5 mM ammonium formate/1% acetic acid (phase A) and methanol (phase B). The elution gradient started with 25% mobile phase B, increasing to 100% in 4 min, and held at 100% for 1.5 min. The system was re-equilibrated for 2 min in 25% mobile phase B. The flow rate was maintained at 0.3 mL min−1. The injection volume was 100 µL using the loop in full mode.
Figure 4. Chromatograms obtained from aflatoxin standards B1, B2, G1, and G2 at retention times of 5.37 min, 5.27 min, 5.16 min, and 5.04 min.
Figure 4. Chromatograms obtained from aflatoxin standards B1, B2, G1, and G2 at retention times of 5.37 min, 5.27 min, 5.16 min, and 5.04 min.
Data 10 00114 g004

3.3. Macro- and Microelements

3.3.1. Acid Digestion of Powdered Milk Samples for Quantification of Macro- and Microelements

An amount of 300 mg of each milk powder sample was weighed directly into tubes, and then 2 mL of nitric acid (65%, Merck—Darmstadt, Germany), 1 mL of hydrogen peroxide (30%, Merck—Darmstadt, Germany), and 1 mL of ultrapure H2O were added. The tubes were shaken in a vortex shaker for homogenization (Biomixer QL-901, Eikonal do Brasil, São Paulo, Brazil), capped with a 50 mm borosilicate funnel (cold finger), and inserted into a hot block digester (Tecnal, Piracicaba, Brazil). This method enables the acid digestion of powdered milk samples using a hot block digester for metal determination by spectroscopic methods.
The operating conditions of the digester block, including time and temperature, are shown in Table 5. Digestion was performed in triplicate for milk samples, as well as analyses considering the blank and addition and recovery tests (spike). After digestion, the samples were transferred to a polyethylene tube and reconstituted to a final volume of 10 mL with ultrapure water.

3.3.2. Quantification of Macro- and Microelements by Inductively Coupled Plasma Optical Emission Spectroscopy (ICP OES)

In this study, the quantification of Al, As, Ba, Cd, Co, Cr, Cu, Fe, Mn, Mo, Ni, Pb, Se, V, and Zn in powdered milk samples was performed by optical emission spectroscopy with inductively coupled plasma—ICP OES (model iCAP 6300, Thermo Scientific)—using an axial view and 99.999% pure argon gas. The following emission lines were used: Al 167.079, As 189.042, Ba 455.403, Cd 228.802, Co 228.616, Cr 283.563, Cu 324.754, Fe 259.940, Mg 279.553, Mn 257.610, Mo 202.030, Ni 221.647, Pb 220.353, Se 196.090, V 309.311, and Zn 213.856 nm. The operating conditions of ICP OES are summarized in Table 6.

3.3.3. Analytical Performance

A calibration curve with different concentrations (0.05, 0.10, 0.25, 0.5, and 1.0 mg/L) was prepared from the dilution of a standard stock solution (SpecSol, Quimlab, São Paulo, Brazil) containing 100 mg/L of each element. The accuracy of the mineral quantification method by ICP OES was validated by addition and recovery tests, in which 0.5 mg/kg of each of the analyzed elements was added to a sample and the recovery was calculated after quantification (Table 7).
The detection limit (LOD) was calculated, according to the International Union of Pure and Applied Chemistry (IUPAC), as three times the standard deviation of the blank, expressed as concentration and divided by the slope of the calibration curve, and the limit of quantification (LOQ) was calculated as ten times the standard deviation of the blank divided by the slope of the calibration curve [14]. The external calibration equations and their respective correlation coefficients (R2) are presented in Table 8. The values of LOD were in the range of 0.0006–0.0109 (mg/kg), and the values of LOQ were 0.0019–0.0364 (mg/kg), as shown in Table 8.

3.3.4. Thermogravimetry (TG) and Differential Scanning Calorimetry (DSC)

Approximately 10 mg of each sample was heated from 25 to 750 °C under synthetic air flow (50 mL/min) at a heating rate of 10 °C/min. In addition, graphs were obtained using Universal Thermal Analysis software, version 6.0. Thermogravimetric analysis (TG) and differential scanning calorimetry (DSC) curves were obtained simultaneously in a thermal analyzer STA 449 F3 Jupter, Netzsch, Selb Alemanha.

3.3.5. Fatty Acid Methyl Esters (FAMEs)

Oil Extraction
The oil fractions of the samples were extracted with a solvent mixture containing a 2:1:0.8 ratio of methanol–chloroform–distilled water [15].
Fatty Acid Profile
The fatty acids were esterified according to a method adapted from Maya and Rodriguez-Amaya (1993) [16]. The methyl esters of the fatty acids were analyzed by gas chromatography (GC 2010, Shimadzu, Kyoto, Japan) to obtain their peaks. We utilized a flame ionization detector (FID) and a capillary column (BPX-70, internal diameter of 0.25 mm, 30 m long, and 0.25 mm thick film). The temperature of the injector and the detector was 250 °C. The initial temperature of the column was kept at 80 °C for 3 min and then increased by 10 °C/min until reaching 140 °C, followed by an increase to 240 °C/min for 5 min.
The individual peaks of the FAMEs (fatty acid methyl esters) were identified by comparing their relative retention times with the standard of 37 FAMEs (Supelco C22, 99% pure).

4. Conclusions, Limitations, and Future Work

This dataset presents the quantification of aflatoxins (B1, G1, B2 and G2), Al, As, Ba, Cd, Co, Cr, Cu, Fe, Mg, Mn, Mo, Ni, Pb, Se, V, and Zn concentrations, oxidative stability, and fatty acid profile of Brazilian infant formula milk powder. Aflatoxin B1 and aflatoxin G1 were not quantified in powdered milk samples used as food for various age groups, while the concentrations of aflatoxin G2 and B2 in some samples were below the established limits set by Brazil (1 μg/kg). The quantified values of As, Cu, Fe, Mg, Pb, Se, V, and Zn in the infant formulas showed varying concentrations.
The heat flow calorimetry technique was used to study the thermal behavior of different infant formulas (powdered milk) above 30 °C. The calorimetric curves of these reactions correspond to the crystallization of amorphous lactose, the Maillard reaction between milk proteins and lactose, the oxidation of milk fat, and the decomposition of lactose. In addition, the initial and final temperatures, as well as the temperature reaction interval of the milk powder samples, are different from each other.
Palmitic acid (C16:0) was the predominant saturated fatty acid in all samples. Palmitoleic acid (C16:1) was detected in formulas S3–S5. Among the monounsaturated fatty acids, oleic acid (C18:1n9) and erucic acid (C22:1n9) were the least abundant. Linoleic acid (C18:2n6c) was exclusively found in sample S2, while eicosadienoic acid (C20:2) was unique to sample S3.
This data has some limitations related to sampling, analytical procedures, and experimental conditions. Sample representativeness may be limited due to variations between brands, production batches, and geographical origins. Additionally, seasonal factors and production processes can influence the chemical composition of powdered milk. Analytical challenges include matrix interferences caused by the complex composition of milk (proteins, fats, minerals), which may affect the accuracy and precision of aflatoxin and heavy metal quantification. For aflatoxins, factors such as sample degradation during storage and variability in fungal contamination can impact the results. In the case of heavy metals, contamination may arise from environmental sources or industrial processes. In addition, thermal property analyses are influenced by moisture content and variability in the nutritional composition of the samples.
The data regarding aflatoxin concentrations serve as important comparative benchmarks for food safety assessments, helping to monitor compliance with regulatory standards and understand potential risks associated with mycotoxin exposure. In addition, the macro- and microelement data obtained in this study can serve as a valuable reference for future health risk assessments related to the daily or long-term consumption of milk powder as a dietary supplement across different age groups. The results regarding thermal and oxidative stability, along with the detailed fatty acid composition, provide essential information that can guide both consumers and regulatory authorities.
Future studies could be performed to expand the comparison of metal and metalloid concentrations with other international datasets, further investigating the factors affecting the variability in elemental composition. Moreover, advanced research should focus on evaluating the health risks associated with prolonged exposure to trace elements, alongside exploring how the thermal and oxidative stability of milk powder influences its nutritional quality and safety over time. Regulatory agencies should strengthen monitoring programs and establish stricter limits for heavy metals in infants’ and children’s foods to ensure consumer safety.

Author Contributions

Conceptualization, F.J.M.d.R. and A.M.J.B.; methodology, F.J.M.d.R., E.S.d.P.M. and F.S.M.; software, A.M.J.B.; validation, F.J.M.d.R., E.S.d.P.M. and V.A.d.N.; formal analysis, D.A.Z.G.; investigation, G.V.F. and J.B.G.d.S.; resources, F.J.M.d.R.; data curation, F.J.M.d.R. and A.M.J.B.; writing—original draft preparation, V.A.d.N.; writing—review and editing, F.S.M. and V.A.d.N.; visualization, R.d.C.A.G., D.B., P.A.H., K.d.C.F.G. and M.A.P.A.; supervision, V.A.d.N.; project administration, V.A.d.N.; funding acquisition, V.A.d.N. All authors have read and agreed to the published version of the manuscript.

Funding

This research was funded by the National Council for Scientific and Technological Development (CNPq), Brazil (CNPq: Process N° 314551/2023-9) and Coordenação de Aperfeiçoamento de Pessoal de Nível Superior—Brasil (CAPES)—Finance Code 001.

Institutional Review Board Statement

Not applicable.

Informed Consent Statement

Not applicable.

Data Availability Statement

The data presented in this study are openly available in Mendeley: https://doi.org/10.17632/fvptpshpbz.1.

Acknowledgments

The authors thank the Federal University of Mato Grosso do Sul, Faculty of Medicine, for their scientific support.

Conflicts of Interest

The authors declare no conflicts of interest.

References

  1. World Health Organization. Mycotoxins [Internet]; World Health Organization: Geneva, Switzerland, 2023; Available online: https://www.who.int/news-room/fact-sheets/detail/mycotoxins (accessed on 23 May 2025).
  2. Alameri, M.M.; Kong, A.S.; Aljaafari, M.N.; Ali, H.A.; Eid, K.; Sallagi, M.A.; Cheng, W.H.; Abushelaibi, A.; Lim, S.E.; Loh, J.Y.; et al. Aflatoxin Contamination: An Overview on Health Issues, Detection and Management Strategies. Toxins 2023, 15, 246. [Google Scholar] [CrossRef] [PubMed]
  3. IARC Working Group on the Evaluation of Carcinogenic Risks to Humans. Chemical Agents and Related Occupations; IARC Monographs on the Evaluation of Carcinogenic Risks to Humans, No. 100F. AFLATOXINS; International Agency for Research on Cancer: Lyon, France, 2012. Available online: https://www.ncbi.nlm.nih.gov/books/NBK304413/ (accessed on 28 May 2025).
  4. Movassaghghazani, M.; Shabansalmani, N. Assessment of Aflatoxin M1 in human breast and powdered milk in Tehran, Iran. Toxicon 2024, 237, 107530. [Google Scholar] [CrossRef] [PubMed]
  5. Nasser, R.; Alomar, H. Investigation of aflatoxin M1 in infant formula and raw milk in northwestern Syria. Heliyon 2025, 11, e42374. [Google Scholar] [CrossRef] [PubMed]
  6. Redouane-Salah, S.; Morgavi, D.P.; Arhab, R.; Messaï, A.; Boudra, H. Presence of aflatoxin M1 in raw, reconstituted, and powdered milk samples collected in Algeria. Environ. Monit. Assess 2015, 187, 375. [Google Scholar] [CrossRef]
  7. Sipahi, H.; Eken, A.; Aydin, A.; Şahin, G.; Baydar, T. Safety assessment of essential and toxic metals in infant formulas. Turk. J. Pediatr. 2014, 56, 385–391. Available online: https://turkjpediatr.org/article/view/1387/1380 (accessed on 19 May 2025).
  8. Başaran, B. An assessment of heavy metal level in infant formula on the market in Turkey and the hazard index. J. Food Compos. Anal. 2022, 105, 104258. [Google Scholar] [CrossRef]
  9. Domínguez, A.; Paz, S.; Rubio, C.; Gutiérrez, A.; González-Weller, D.; Revert, C.; Hardisson, A. Essential and Toxic Metals in Infant Formula from the European Community. Open Access J. Toxicol. 2017, 2, 555585. [Google Scholar] [CrossRef]
  10. Elafify, M.; EL-Toukhy, M.; Sallam, K.I.; Sadoma, N.M.; Abd-Elghany, S.M.; Abdelkhalek, A.; El-Baz, A.H. Heavy metal residues in milk and some dairy products with insight into their health risk assessment and the role of Lactobacillus rhamnosus in reducing the lead and cadmium load in cheese. Food Chem. Adv. 2023, 2, 100261. [Google Scholar] [CrossRef]
  11. Pugliese, A.; Paciulli, M.; Chiavaro, E.; Mucchetti, G. Characterization of commercial dried milk and some of its derivatives by differential scanning calorimetry. J. Therm. Anal. Calorim. 2016, 123, 2583–2590. [Google Scholar] [CrossRef]
  12. Ryabova, A.E.; Semipyatny, V.K.; Galstyan, A.G. Effects of storage conditions on milk powder properties. J. Dairy Sci. 2023, 106, 6741–6758. [Google Scholar] [CrossRef]
  13. Sartori, A.V.; Mattos, J.S.; Moraes, M.H.P. Determination of aflatoxins M1, M2, B1, B2, G1, and G2 and ochratoxin A in UHT and powdered milk by modified QuEChERS method and ultra-high-performance liquid chromatography tandem mass spectrometry. Food Anal. Methods 2015, 8, 2321–2330. [Google Scholar] [CrossRef]
  14. Shrivastava, A.; Gupta, V.G. Methods for the determination of limit of detection and limit of quantitation of the analytical methods. Chron. Young Sci. 2011, 2, 21–25. [Google Scholar] [CrossRef]
  15. Bligh, E.G.; Dyer, W.J. A rapid method of total lipid extraction and purification. Can. J. Biochem. Physiol. 1959, 37, 911–917. [Google Scholar] [CrossRef] [PubMed]
  16. Maya, E.L.; Rodriguez-Amaya, D.B. Avaliação de um método simples e econômico para a metilação de ácidos graxos com lipídeos de diversas espécies de peixes. Rev. Inst. Adolfo Lutz 1993, 53, 27–35. [Google Scholar] [CrossRef]
Table 4. Brazilian companies labeled S1 to S10 with age groups.
Table 4. Brazilian companies labeled S1 to S10 with age groups.
Brazilian CompaniesAge Group
S10–6 months
S20–6 months
S30–6 months
S40–6 months
S56–12 months
S66–12 months
S76–12 months
S812–36 months
S912–36 months
S1012–36 months
Table 5. Digestion program of block for powdered milk formulas: digestion steps including temperature and time (plateau).
Table 5. Digestion program of block for powdered milk formulas: digestion steps including temperature and time (plateau).
StepTemperature (°C)Time (min)
18030
210030
315060
420030
Table 6. The operating conditions for ICP OES analysis.
Table 6. The operating conditions for ICP OES analysis.
ParametersSpecifications
Radio frequency power1150 W
Plasma flow12 L/min
Sample flow rate0.30 L/min
Auxiliary flow0.5 L/min
Nebulization pressure20 psi
Integration time15 (s)
Stabilization20 (s)
Replicates3
Table 7. Spike and recovery (%) of elements in samples.
Table 7. Spike and recovery (%) of elements in samples.
ElementsRecovery (%)
Al94
As90
Ba92
Cd91
Co84
Cr86
Cu90
Fe92
Mg99
Mn85
Mo94
Ni84
Pb88
Se89
V90
Zn89
Table 8. Analytical characteristics of ICP OES method: elements, limit of detection (LODs), limit of quantification (LOQs), and correlation coefficient (R2).
Table 8. Analytical characteristics of ICP OES method: elements, limit of detection (LODs), limit of quantification (LOQs), and correlation coefficient (R2).
ElementLOD (mg/kg)LOQ (mg/kg)(R2)
Al0.00750.02490.9970
As0.00550.01840.9996
Ba0.00230.00770.9997
Cd0.00060.00190.9990
Co0.00090.00290.9996
Cr0.00340.01130.9994
Cu0.00560.01870.9995
Fe0.01090.03640.9997
Mg0.00100.00340.9995
Mn0.00080.00250.9997
Mo0.00110.00370.9996
Ni0.00100.00330.9996
Pb0.00450.01510.9991
Se0.00330.01080.9997
V0.00290.00950.9997
Zn0.00310.01020.9996
Disclaimer/Publisher’s Note: The statements, opinions and data contained in all publications are solely those of the individual author(s) and contributor(s) and not of MDPI and/or the editor(s). MDPI and/or the editor(s) disclaim responsibility for any injury to people or property resulting from any ideas, methods, instructions or products referred to in the content.

Share and Cite

MDPI and ACS Style

Reis, F.J.M.d.; Barbosa, A.M.J.; de Pádua Melo, E.S.; Ancel, M.A.P.; de Cássia Avellaneda Guimarães, R.; Hiane, P.A.; Michels, F.S.; Bogo, D.; de Cássia Freitas Gielow, K.; Garcia, D.A.Z.; et al. Data on Brazilian Powdered Milk Formulations for Infants of Various Age Groups: 0–6 Months, 6–12 Months, and 12–36 Months. Data 2025, 10, 114. https://doi.org/10.3390/data10070114

AMA Style

Reis FJMd, Barbosa AMJ, de Pádua Melo ES, Ancel MAP, de Cássia Avellaneda Guimarães R, Hiane PA, Michels FS, Bogo D, de Cássia Freitas Gielow K, Garcia DAZ, et al. Data on Brazilian Powdered Milk Formulations for Infants of Various Age Groups: 0–6 Months, 6–12 Months, and 12–36 Months. Data. 2025; 10(7):114. https://doi.org/10.3390/data10070114

Chicago/Turabian Style

Reis, Francisco José Mendes dos, Antonio Marcos Jacques Barbosa, Elaine Silva de Pádua Melo, Marta Aratuza Pereira Ancel, Rita de Cássia Avellaneda Guimarães, Priscila Aiko Hiane, Flavio Santana Michels, Daniele Bogo, Karine de Cássia Freitas Gielow, Diego Azevedo Zoccal Garcia, and et al. 2025. "Data on Brazilian Powdered Milk Formulations for Infants of Various Age Groups: 0–6 Months, 6–12 Months, and 12–36 Months" Data 10, no. 7: 114. https://doi.org/10.3390/data10070114

APA Style

Reis, F. J. M. d., Barbosa, A. M. J., de Pádua Melo, E. S., Ancel, M. A. P., de Cássia Avellaneda Guimarães, R., Hiane, P. A., Michels, F. S., Bogo, D., de Cássia Freitas Gielow, K., Garcia, D. A. Z., Freire, G. V., de Souza, J. B. G., & Nascimento, V. A. d. (2025). Data on Brazilian Powdered Milk Formulations for Infants of Various Age Groups: 0–6 Months, 6–12 Months, and 12–36 Months. Data, 10(7), 114. https://doi.org/10.3390/data10070114

Article Metrics

Back to TopTop