Utilizing Hydrolyzed Whey Proteins in a Flavored Dairy Beverage for Carrier Antihypertensive Peptides
Abstract
1. Introduction
2. Materials and Methods
2.1. Enzymatic Hydrolysis
2.2. Determination of Proteolysis Measured by the Trinitrobenzenesulfonic Acid (TNBS) Method
2.3. Analysis of Low Molecular Weight Peptides by SDS-Polyacrylamide Gel Electrophoresis (SDS-PAGE)
2.4. Determination of Antihypertensive Activity
2.5. Application of Hydrolyzed Whey in a Flavored Beverage
Process Description of the Flavored Beverage
2.6. Statistical Analysis
3. Results and Discussion
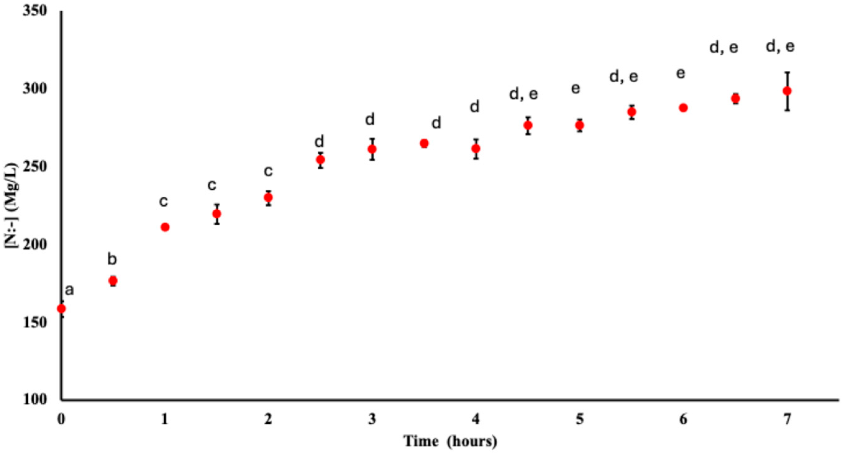
3.1. Hydrolysis
3.2. Separation of Hydrolysates by SDS-PAGE
3.3. Determination of the Antihypertensive Activity of Hydrolyzed Whey
3.4. Application of Hydrolyzed Whey in a Dairy Beverage and Antihypertensive Capacity
4. Limitations
5. Conclusions
Author Contributions
Funding
Institutional Review Board Statement
Informed Consent Statement
Data Availability Statement
Conflicts of Interest
References
- Yiğit, A.; Bielska, P.; Cais-Sokolińska, D.; Samur, G. Whey proteins as a functional food: Health effects, functional properties, and applications in food. J. Am. Nutr. Assoc. 2023, 42, 758–768. [Google Scholar] [CrossRef]
- Olsen, W. Immunomodulatory Actions of Bovine Whey Protein Isolates, Glycomacropeptide, and Their Digests: Insights from Macrophage and Human Studies. 2023. Available online: https://ir.library.oregonstate.edu/concern/graduate_thesis_or_dissertations/2v23w323t (accessed on 17 November 2025).
- Olvera-Rosales, L.B.; Cruz-Guerrero, A.E.; García-Garibay, J.M.; Gómez-Ruíz, L.C.; Contreras-López, E.; Guzmán-Rodríguez, F.; González-Olivares, L.G. Bioactive peptides of whey: Obtaining, activity, mechanism of action, and further applications. Crit. Rev. Food Sci. Nutr. 2023, 63, 10351–10381. [Google Scholar] [CrossRef] [PubMed]
- Saadi, S.; Makhlouf, C.; Nacer, N.E.; Halima, B.; Faiza, A.; Kahina, H.; Saoudi, Z. Whey proteins as multifunctional food materials: Recent advancements in hydrolysis, separation, and peptidomimetic approaches. Compr. Rev. Food Sci. Food Saf. 2024, 23, e13288. [Google Scholar] [CrossRef] [PubMed]
- González-Olivares, L.G.; Jiménez-Guzmán, J.; Cruz-Guerrero, A.; Rodríguez-Serrano, G.; Gómez-Ruiz, L.; García-Garibay, M. Liberación de péptidos bioactivos por bacterias lácticas en leches fermentadas comerciales. Rev. Mex. Ing. Quím. 2011, 10, 179–188. [Google Scholar]
- Reyes-Méndez, A.I.; Figueroa-Hernández, C.; Melgar-Lalanne, G.; Hernández-Sánchez, H.; Dávila-Ortiz, G.; Jiménez-Martínez, C. Producción de péptidos fijadores de calcio y hierro por cepas probióticas de Bacillus subtilis, B. clausii y B. coagulans GBI-30. Rev. Mex. Ing. Quím. 2017, 16, 11–18. [Google Scholar]
- Lim, J.J.; Sequeira, I.R.; Yip, W.C.; Lu, L.W.; Barnett, D.; Cameron-Smith, D.; Poppitt, S.D. Postprandial glycine as a biomarker of satiety: A dose-rising randomised control trial of whey protein in overweight women. Appetite 2022, 169, 105871. [Google Scholar] [CrossRef]
- Imoto, I.; Yasuma, T.; D’Alessandro-Gabazza, C.N.; Oka, S.; Misaki, M.; Horiki, N.; Gabazza, E.C. Antimicrobial effects of lactoferrin against Helicobacter pylori infection. Pathogens 2023, 12, 599. [Google Scholar] [CrossRef]
- Olvera-Rosales, L.B.; Cruz-Guerrero, A.E.; Jaimez-Ordaz, J.; Pérez-Escalante, E.; Quintero-Lira, A.; Ramírez-Moreno, E.; Contreras-López, E.; González-Olivares, L.G. Differences in the proteolytic system of lactic acid bacteria affect the release of DPP-IV inhibitory peptides from whey proteins. Dairy 2023, 4, 515–526. [Google Scholar] [CrossRef]
- Saubenova, M.; Oleinikova, Y.; Rapoport, A.; Maksimovich, S.; Yermekbay, Z.; Khamedova, E. Bioactive peptides derived from whey proteins for health and functional beverages. Fermentation 2024, 10, 359. [Google Scholar] [CrossRef]
- Minj, S.; Anand, S. Whey proteins and its derivatives: Bioactivity, functionality, and current applications. Dairy 2020, 1, 233–258. [Google Scholar] [CrossRef]
- Shukla, P.; Chopada, K.; Sakure, A.; Hati, S. Current trends and applications of food-derived antihypertensive peptides for the management of cardiovascular disease. Protein Pept. Lett. 2022, 29, 408–428. [Google Scholar] [CrossRef]
- Mandal, R.; Karmakar, P. Whey protein derived bioactive peptides: Isolation, characterization, and functional aspects. In Functional Dairy Ingredients and Nutraceuticals; Apple Academic Press: Oakville, ON, Canada, 2022; pp. 123–145. [Google Scholar]
- Das, S.; Hati, S. Food derived ACE inhibitory peptides: Science to application. In Nutrition and Functional Foods in Boosting Digestion, Metabolism and Immune Health; Academic Press: Cambridge, MA, USA, 2022; pp. 39–54. [Google Scholar]
- Chopada, K.; Basaiawmoit, B.; Sakure, A.A.; Maurya, R.; Bishnoi, M.; Kondepudi, K.K.; Hati, S. Purification and characterization of novel antihypertensive and antioxidative peptides from whey protein fermentate: In vitro, in silico, and molecular interactions studies. J. Am. Nutr. Assoc. 2023, 42, 598–617. [Google Scholar] [CrossRef]
- Ballatore, M.B.; del Rosario Bettiol, M.; Braber, N.L.V.; Aminahuel, C.A.; Rossi, Y.E.; Petroselli, G.; Montenegro, M.A. Antioxidant and cytoprotective effect of peptides produced by hydrolysis of whey protein concentrate with trypsin. Food Chem. 2020, 319, 126472. [Google Scholar] [CrossRef]
- Spellman, D.; McEvoy, E.; O’Cuinn, G.; FitzGerald, R.J. Proteinase and exopeptidase hydrolysis of whey protein: Comparison of the TNBS, OPA and pH stat methods for quantification of degree of hydrolysis. Int. Dairy J. 2003, 13, 447–453. [Google Scholar] [CrossRef]
- Laemmli, U.K. Cleavage of structural proteins during the assembly of the head of bacteriophage T4. Nature 1970, 227, 680–685. [Google Scholar] [CrossRef]
- Cushman, D.W.; Cheung, H.S. Spectrophotometric assay and properties of the angiotensin-converting enzyme of rabbit lung. Biochem. Pharmacol. 1971, 20, 1637–1648. [Google Scholar] [CrossRef]
- Tolentino-Barroso, D.A.; González-Olivares, L.G.; Pérez-Flores, J.G.; Contreras-López, E.; Olvera-Rosales, L.B.; Escobar-Ramírez, M.C.; Pérez-Escalante, E. Bovine whey hydrolysis with pancreatin produces a functional ingredient for developing antihypertensive beverages. Biol. Life Sci. Forum 2023, 26, 63. [Google Scholar] [CrossRef]
- Silvestre, M.P.; Afonso, W.O.; Lopes Junior, C.O.; Silva, V.D.; Souza, M.W.; Silva, M.R. Effect of some hydrolytic parameters in the action of subtilisin and pancreatin on whey protein concentrate. Int. J. Food Eng. 2013, 9, 55–66. [Google Scholar] [CrossRef]
- Aiello, G.; Lammi, C.; Boschin, G.; Zanoni, C.; Arnoldi, A. Exploration of potentially bioactive peptides generated from the enzymatic hydrolysis of hempseed proteins. J. Agric. Food Chem. 2017, 65, 10174–10184. [Google Scholar] [CrossRef] [PubMed]
- Daliri, H.; Ahmadi, R.; Pezeshki, A.; Hamishehkar, H.; Mohammadi, M.; Beyrami, H.; Ghorbani, M. Quinoa bioactive protein hydrolysate produced by pancreatin enzyme—Functional and antioxidant properties. LWT 2021, 150, 111853. [Google Scholar] [CrossRef]
- Jung, H.; Jung, D.; Lee, J.; Ki, W.; Lee, J.M.; Kim, E.M.; Kim, K.K. Bioactive peptides in the pancreatin-hydrolysates of whey protein support cell proliferation and scavenge reactive oxygen species. Anim. Cells Syst. 2022, 26, 232–242. [Google Scholar] [CrossRef]
- Mansinhbhai, C.H.; Sakure, A.; Liu, Z.; Maurya, R.; Das, S.; Basaiawmoit, B.; Hati, S. Anti-inflammatory, ACE inhibitory, antioxidative activities and release of novel antihypertensive and antioxidative peptides from whey protein hydrolysate with molecular interactions. J. Am. Nutr. Assoc. 2023, 42, 371–385. [Google Scholar] [CrossRef] [PubMed]
- Alcaide-Hidalgo, J.M.; Romero, M.; Duarte, J.; López-Huertas, E. Antihypertensive effects of virgin olive oil (unfiltered) low molecular weight peptides with ACE inhibitory activity in spontaneously hypertensive rats. Nutrients 2020, 12, 271. [Google Scholar] [CrossRef] [PubMed]
- Daliri, E.B.M.; Lee, B.H.; Park, B.J.; Kim, S.H.; Oh, D.H. Antihypertensive peptides from whey proteins fermented by lactic acid bacteria. Food Sci. Biotechnol. 2018, 27, 1781–1789. [Google Scholar] [CrossRef]
- Li, X.; Feng, C.; Hong, H.; Zhang, Y.; Luo, Z.; Wang, Q.; Tan, Y. Novel ACE inhibitory peptides derived from whey protein hydrolysates: Identification and molecular docking analysis. Food Biosci. 2022, 48, 101737. [Google Scholar] [CrossRef]
- Xia, Y.; Yu, J.; Xu, W.; Shuang, Q. Purification and characterization of angiotensin-I-converting enzyme inhibitory peptides isolated from whey proteins of milk fermented with Lactobacillus plantarum QS670. J. Dairy Sci. 2020, 103, 4919–4928. [Google Scholar] [CrossRef]
- Ortiz Chao, P.; Gomez Ruiz, J.A.; Rastall, R.A.; Mills, D.; Cramer, R.; Pihlanto, A.; Korhonen, H.; Jauregi, P. Production of novel ACE inhibitory peptides from β-lactoglobulin using Protease N Amano. Int. Dairy J. 2009, 19, 69–76. [Google Scholar] [CrossRef]
- Chamata, Y.; Watson, K.A.; Jauregi, P. Whey derived peptides interactions with ACE by molecular docking as a potential predictive tool of natural ACE inhibitors. Int. J. Mol. Sci. 2020, 21, 864. [Google Scholar] [CrossRef]
- Mann, B.; Athira, S.; Sharma, R.; Kumar, R.; Sarkar, P. Bioactive peptides from whey proteins. In Whey Proteins; Deeth, H.C., Bansal, N., Eds.; Academic Press: London, UK, 2019; pp. 519–547. [Google Scholar] [CrossRef]
- Ayala-Niño, A.; Sánchez-Franco, J.A.; González-Olivares, L.G.; Rodríguez-Serrano, G.M.; Alvarez-Cisneros, Y.M.; Mondragón-Pontocarrero, A.C.; Sinisterra-Loaiza, L.I. Whey-Derived Antihypertensive Peptides Produced by Proteinase K Hydrolysis and Fermentation. In Waste and Biomass Valorization; Springer Nature: Berlin/Heidelberg, Germany, 2025; pp. 1–10. [Google Scholar] [CrossRef]
- Mansinhbhai, C.H.; Sakure, A.; Maurya, R.; Bishnoi, M.; Kondepudi, K.K.; Das, S.; Hati, S. Significance of whey protein hydrolysate on anti-oxidative, ACE-inhibitory and anti-inflammatory activities and release of peptides with biofunctionality: An in vitro and in silico approach. J. Food Sci. Technol. 2022, 59, 2629–2642. [Google Scholar] [CrossRef]
- Ashaolu, T.J.; Lee, C.C.; Ashaolu, J.O.; Tarhan, O.; Pourjafar, H.; Jafari, S.M. Pepsin: An excellent proteolytic enzyme for the production of bioactive peptides. Food Rev. Int. 2024, 40, 1875–1912. [Google Scholar] [CrossRef]
- Bouzerzour, K.; Morgan, F.; Cuinet, I.; Bonhomme, C.; Jardin, J.; Le Huërou-Luron, I.; Dupont, D. In vivo digestion of infant formula in piglets: Protein digestion kinetics and release of bioactive peptides. Br. J. Nutr. 2012, 108, 2105–2114. [Google Scholar] [CrossRef]
- Kleekayai, T.; Cermeño, M.; FitzGerald, R.J. The production of bioactive peptides from skim milk powder (as per Table 1) proteins. In Agents of Change: Enzymes in Milk and Dairy Products; Academic Press: London, UK, 2021; pp. 447–497. [Google Scholar]
- Sarabandi, K.; Tamjidi, F.; Akbarbaglu, Z.; Samborska, K.; Gharehbeglou, P.; Kharazmi, M.S.; Jafari, S.M. Modification of whey proteins by sonication and hydrolysis for the emulsification and spray drying encapsulation of grape seed oil. Pharmaceutics 2022, 14, 2434. [Google Scholar] [CrossRef]
- Meng, Y.; Liang, Z.; Zhang, C.; Hao, S.; Han, H.; Du, P.; Li, A.; Shao, H.; Li, C.; Liu, L. Ultrasonic modification of whey protein isolate: Implications for the structural and functional properties. LWT 2021, 152, 112272. [Google Scholar] [CrossRef]
- Fluegel, S.M.; Shultz, T.D.; Powers, J.R.; Clark, S.; Barbosa-Leiker, C.; Wright, B.R.; Freson, T.S.; Fluegel, H.A.; Minch, J.D.; Schwarzkopf, L.K.; et al. Whey beverages decrease blood pressure in prehypertensive and hypertensive young men and women. Int. Dairy J. 2010, 20, 753–760. [Google Scholar] [CrossRef]
- Lim, S.M.; Lee, N.K.; Park, K.K.; Yoon, Y.C.; Paik, H.D. ACE-inhibitory effect and physicochemical characteristics of yogurt beverage fortified with whey protein hydrolysates. Food Sci. Anim. Resour. 2011, 31, 886–892. [Google Scholar] [CrossRef]
- Xue, L.; Yin, R.; Howell, K.; Zhang, P. Activity and bioavailability of food protein-derived angiotensin-I-converting enzyme–inhibitory peptides. Compr. Rev. Food Sci. Food Saf. 2021, 20, 1150–1187. [Google Scholar] [CrossRef] [PubMed]
- Sinha, R.; Radha, C.; Prakash, J.; Kaul, P. Whey protein hydrolysate: Functional properties, nutritional quality and utilization in beverage formulation. Food Chem. 2007, 101, 1484–1491. [Google Scholar] [CrossRef]



| Ingredient | Formula (% w/w) | Base (500 g) | Technological Function |
|---|---|---|---|
| Water | 77.628 | 388.14 | Continuous phase and solvent for ingredient dispersion |
| Hydrolyzed whey | 4.0 | 20.0 | Source of bioactive peptides and milk proteins |
| Skimmed milk powder (high heat) | 2.0 | 10.0 | Protein enrichment, body and mouthfeel improvement |
| Anhydrous milk fat | 3.0 | 15.0 | Fat source; contributes to creaminess and flavor |
| Brown sugar | 10.0 | 50.0 | Sweetener; flavor and solids contribution |
| Fructose syrup (70%) | 3.0 | 15.0 | Sweetener; enhances sweetness and viscosity |
| Glyceryl monostearate (emulsifier) | 0.2 | 1.0 | Emulsification and fat phase stabilization |
| Disodium phosphate | 0.09 | 0.45 | Buffering agent; protein stabilization |
| Sodium citrate | 0.05 | 0.25 | Chelating and buffering agent |
| Sodium hexametaphosphate | 0.03 | 0.15 | Sequestrant; improves mineral balance and stability |
| Pineapple–coconut flavor | 0.002 | 0.01 | Flavoring agent |
| Total | 100 | 500 | - |
| Hydrolysis Time (Hours) | Antihypertensive Activity (% ACE Inhibition) |
|---|---|
| 0 | 19.53 ± 3.31 a |
| 3.5 | 19.53 ± 5.52 a |
| 7 | 42.97 ± 3.38 b |
Disclaimer/Publisher’s Note: The statements, opinions and data contained in all publications are solely those of the individual author(s) and contributor(s) and not of MDPI and/or the editor(s). MDPI and/or the editor(s) disclaim responsibility for any injury to people or property resulting from any ideas, methods, instructions or products referred to in the content. |
© 2026 by the authors. Licensee MDPI, Basel, Switzerland. This article is an open access article distributed under the terms and conditions of the Creative Commons Attribution (CC BY) license.
Share and Cite
Olivares, L.G.G.; Contreras López, E.; Vélez Rivera, N.; Monroy Rodríguez, I.; Ramírez Godínez, J. Utilizing Hydrolyzed Whey Proteins in a Flavored Dairy Beverage for Carrier Antihypertensive Peptides. Beverages 2026, 12, 35. https://doi.org/10.3390/beverages12030035
Olivares LGG, Contreras López E, Vélez Rivera N, Monroy Rodríguez I, Ramírez Godínez J. Utilizing Hydrolyzed Whey Proteins in a Flavored Dairy Beverage for Carrier Antihypertensive Peptides. Beverages. 2026; 12(3):35. https://doi.org/10.3390/beverages12030035
Chicago/Turabian StyleOlivares, Luis Guillermo González, Elizabeth Contreras López, Nayeli Vélez Rivera, Ilse Monroy Rodríguez, and Juan Ramírez Godínez. 2026. "Utilizing Hydrolyzed Whey Proteins in a Flavored Dairy Beverage for Carrier Antihypertensive Peptides" Beverages 12, no. 3: 35. https://doi.org/10.3390/beverages12030035
APA StyleOlivares, L. G. G., Contreras López, E., Vélez Rivera, N., Monroy Rodríguez, I., & Ramírez Godínez, J. (2026). Utilizing Hydrolyzed Whey Proteins in a Flavored Dairy Beverage for Carrier Antihypertensive Peptides. Beverages, 12(3), 35. https://doi.org/10.3390/beverages12030035

