Creating Blood Analogs to Mimic Steady-State Non-Newtonian Shear-Thinning Characteristics Under Various Thermal Conditions
Abstract
1. Introduction
2. Materials and Methods
2.1. Developing a Shear-Rate and Temperature-Dependent Non-Newtonian Blood Viscosity Model
2.2. Blood Analog Generation
2.2.1. Materials
2.2.2. Experimental Setup and Measurements
3. Results
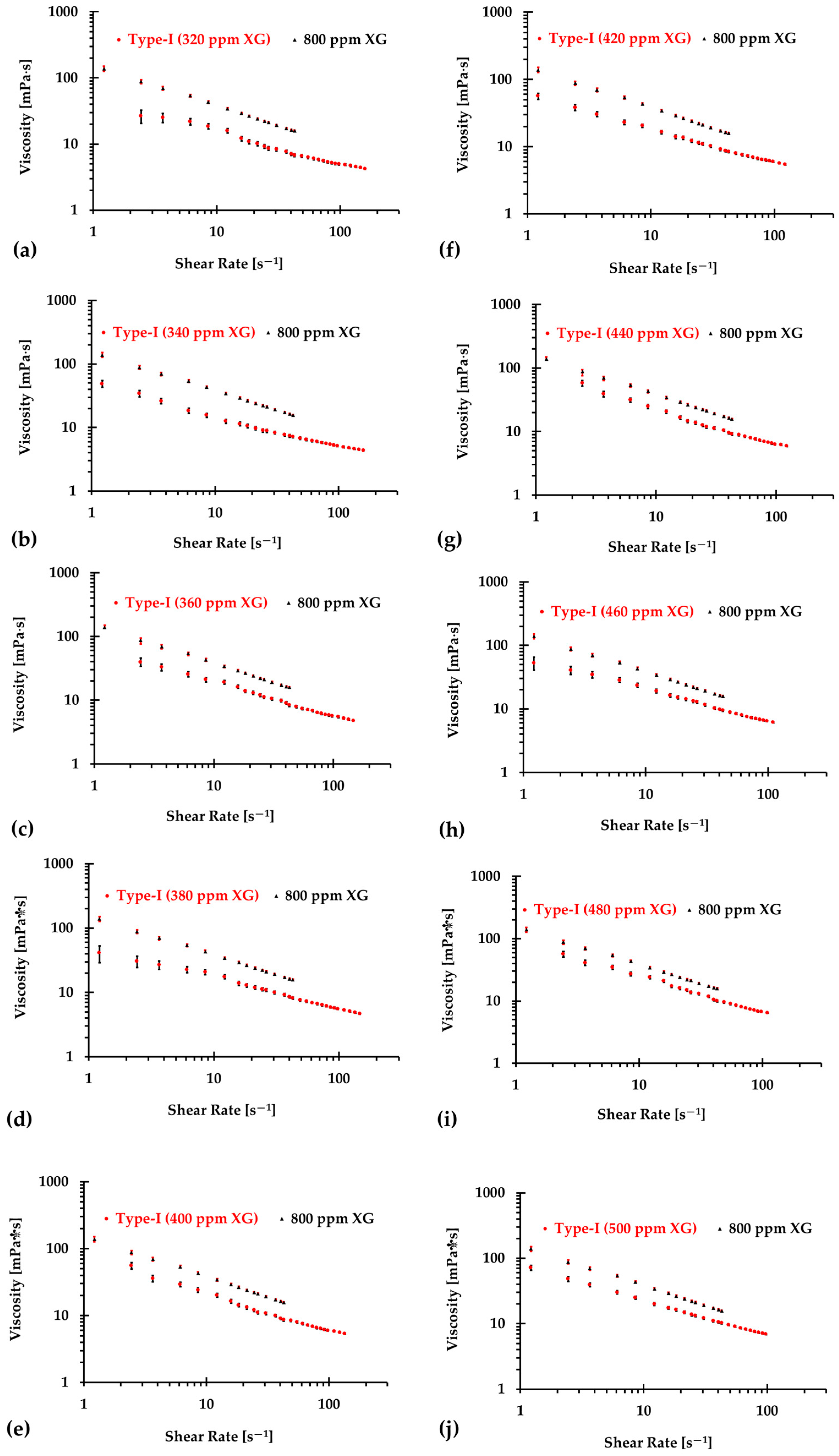
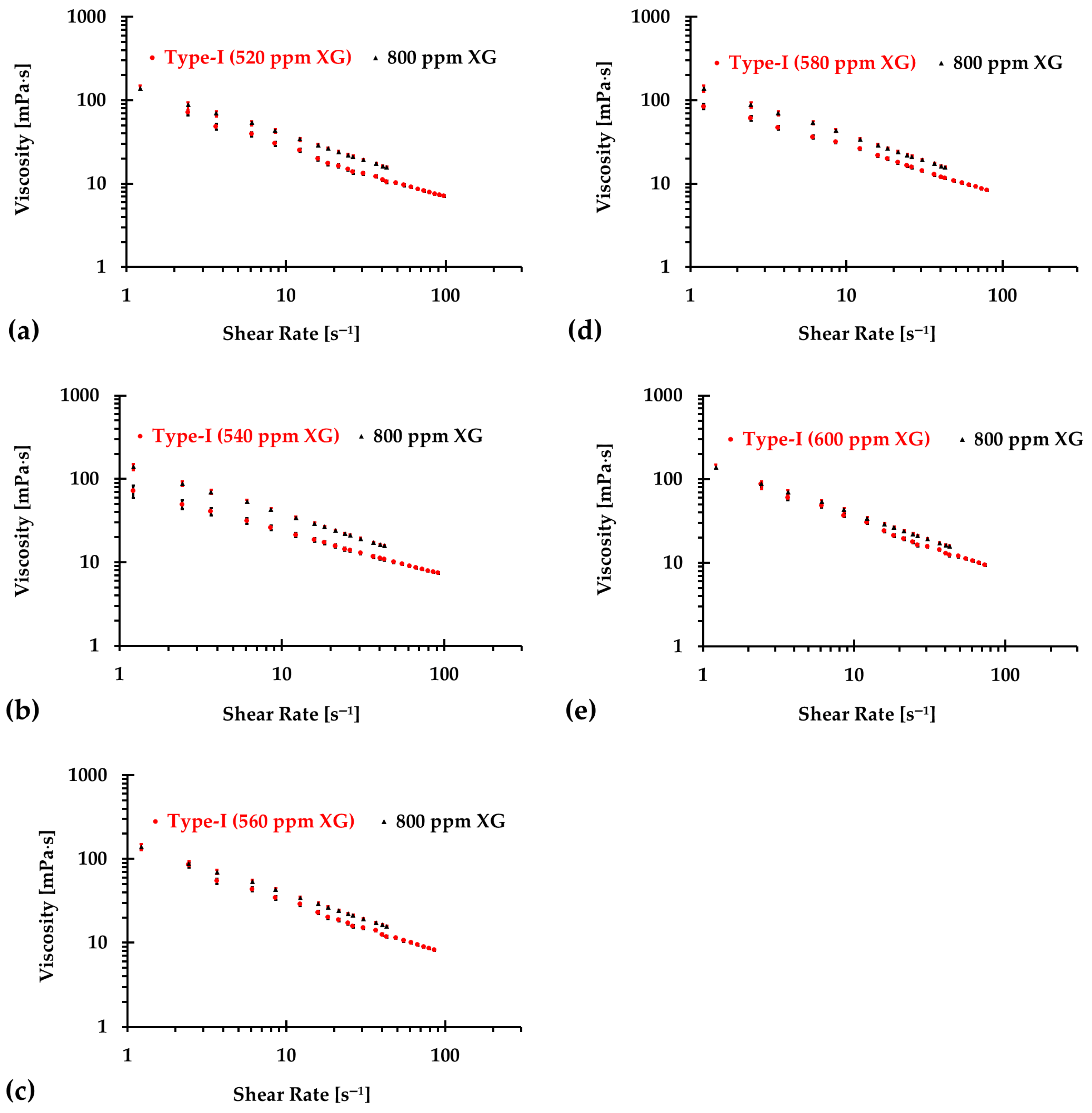
3.1. Type I Blood Analog
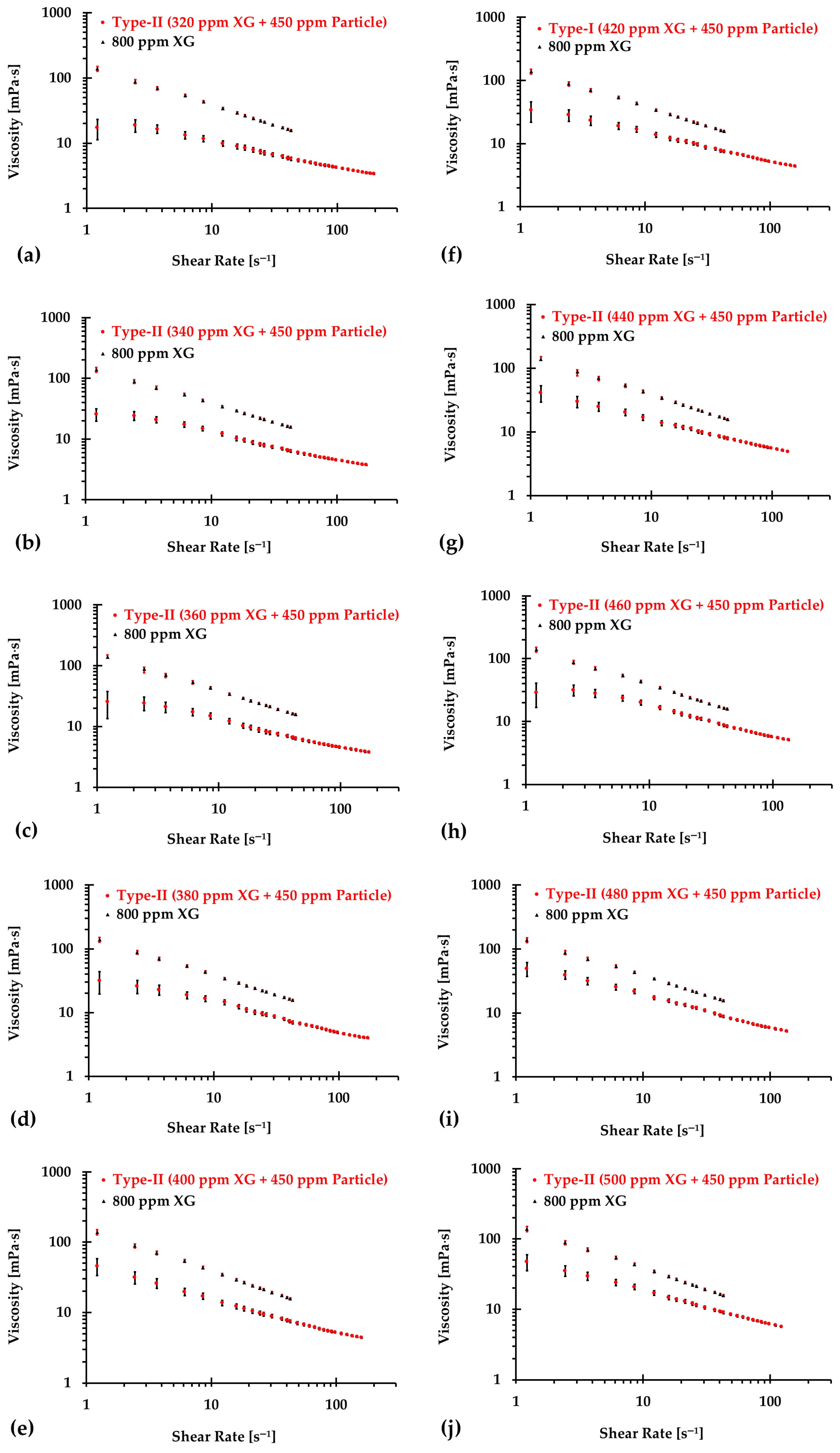
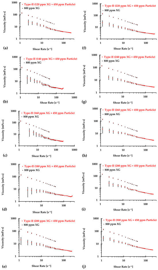
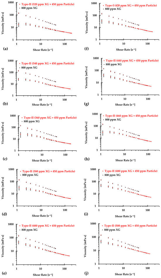
3.2. Type II Blood Analog
4. Discussion
5. Conclusions
6. Limitations and Future Work
Author Contributions
Funding
Institutional Review Board Statement
Informed Consent Statement
Data Availability Statement
Acknowledgments
Conflicts of Interest
Abbreviations
| DI | Deionized |
| FRPM | Fluorescent red polyethylene microspheres |
| PIV | Particle image velocimetry |
| RCB | Red blood cell |
| RMSD | Root mean square deviation |
| TEVP | Thixo-elasto-visco-plastic |
| XG | Xanthan gum |
References
- Armstrong, M.; Horner, J.; Clark, M.; Deegan, M.; Hill, T.; Keith, C.; Mooradian, L. Evaluating rheological models for human blood using steady state, transient, and oscillatory shear predictions. Rheol. Acta 2018, 57, 705–728. [Google Scholar] [CrossRef]
- Merrill, E.W.; Cokelet, G.C.; Britten, A.; Wells, R.E. Non-Newtonian Rheology of Human Blood: Effect of Fibrinogen Deduced by "Subtraction". Circ. Res. 1963, 13, 48–55. [Google Scholar] [CrossRef]
- Nader, E.; Skinner, S.; Romana, M.; Fort, R.; Lemonne, N.; Guillot, N.; Gauthier, A.; Antoine-Jonville, S.; Renoux, C.; Hardy-Dessources, M.-D.; et al. Blood Rheology: Key Parameters, Impact on Blood Flow, Role in Sickle Cell Disease and Effects of Exercise. Front. Physiol. 2019, 10, 1329. [Google Scholar] [CrossRef] [PubMed]
- Lynch, S.; Nama, N.; Figueroa, C.A. Effects of non-Newtonian viscosity on arterial and venous flow and transport. Sci. Rep. 2022, 12, 20568. [Google Scholar] [CrossRef]
- Yi, H.; Yang, Z.; Johnson, M.; Bramlage, L.; Ludwig, B. Hemodynamic characteristics in a cerebral aneurysm model using non-Newtonian blood analogues. Phys. Fluids 2022, 34, 103101, Erratum in Phys. Fluids 2023, 35, 019903. https://doi.org/10.1063/5.0133957. [Google Scholar] [CrossRef]
- Ekici, M.; Çakır Biçer, N.; Yirün, A.; Demirel, G.; Erkekoğlu, P. Evaluation of Exposure to Bisphenol Analogs Through Canned and Ready-to-Eat Meal Consumption and Their Possible Effects on Blood Pressure and Heart Rate. Nutrients 2024, 16, 2275. [Google Scholar] [CrossRef]
- Basson, N.; Peng, C.-H.S.; Geoghegan, P.; van der Lecq, T.; Steven, D.; Williams, S.; Lim, A.E.; Ho, W.H. A computational fluid dynamics investigation of endothelial cell damage from glaucoma drainage devices. Sci. Rep. 2024, 14, 3777. [Google Scholar] [CrossRef] [PubMed]
- Knüppel, F.; Thomas, I.; Wurm, F.-H.; Torner, B. Suitability of Different Blood-Analogous Fluids in Determining the Pump Characteristics of a Ventricular Assist Device. Fluids 2023, 8, 151. [Google Scholar] [CrossRef]
- Froese, V.; Gabel, G.; Parnell, J.; Prause, A.; Lommel, M.; Kertzscher, U. Flow study on a transparent two-phase blood model fluid based on alginate microspheres. Exp. Fluids 2022, 63, 188. [Google Scholar] [CrossRef]
- Walker, A.; Johnston, C.; Rival, D. On the Characterization of a Non-Newtonian Blood Analog and its Response to Pulsatile Flow Downstream of a Simplified Stenosis. Ann. Biomed. Eng. 2014, 42, 97–109. [Google Scholar] [CrossRef]
- Kalke, B.R.; Mantini, E.L.; Kaster, R.L.; Carlson, R.G.; Lillehei, C.W. Hemodynamic features of a double-leaflet prosthetic heart valve of new design. ASAIO J. 1967, 13, 105–110. [Google Scholar]
- Ling, S.C.; Atabek, H.B.; Fry, D.L.; Patel, D.J.; Janicki, J.S. Application of Heated-Film Velocity and Shear Probes to Hemodynamic Studies. Circ. Res. 1968, 23, 789–801. [Google Scholar] [CrossRef]
- Baldwin, J.T.; Deutsch, S.; Geselowitz, D.B.; Tarbell, J.M. LDA Measurements of Mean Velocity and Reynolds Stress Fields Within an Artificial Heart Ventricle. J. Biomech. Eng. 1994, 116, 190–200. [Google Scholar] [CrossRef]
- Kempainen, R.R.; Brunette, D.D. The evaluation and management of accidental hypothermia. Respir. Care 2004, 49, 192–205. [Google Scholar] [PubMed]
- Lell, B.; Brandts, C.H.; Graninger, W.; Kremsner, P.G. The circadian rhythm of body temperature is preserved during malarial fever. Wien Klin Wochenschr 2000, 112, 1014–1015. [Google Scholar] [PubMed]
- Bouchama, A.; Knochel, J.P. Heat Stroke. N. Engl. J. Med. 2002, 346, 1978–1988. [Google Scholar] [CrossRef]
- Sarkar, M.; Prabhu, V. Basics of cardiopulmonary bypass. Indian J Anaesth. 2017, 61, 760–767. [Google Scholar] [CrossRef] [PubMed]
- Jaiswal, A.N.; Vagga, A. Cryopreservation: A Review Article. Cureus 2022, 14, e31564. [Google Scholar] [CrossRef]
- Choi, Y.; Jung, S.L. Efficacy and Safety of Thermal Ablation Techniques for the Treatment of Primary Papillary Thyroid Microcarcinoma: A Systematic Review and Meta-Analysis. Thyroid 2020, 30, 720–731. [Google Scholar] [CrossRef]
- Najjari, M.R.; Hinke, J.A.; Bulusu, K.V.; Plesniak, M.W. On the rheology of refractive-index-matched, non-Newtonian blood-analog fluids for PIV experiments. Exp. Fluids 2016, 57, 96. [Google Scholar] [CrossRef]
- Yousif, M.Y.; Holdsworth, D.W.; Poepping, T.L. A blood-mimicking fluid for particle image velocimetry with silicone vascular models. Exp. Fluids 2011, 50, 769–774. [Google Scholar] [CrossRef]
- Bai, K.; Katz, J. On the refractive index of sodium iodide solutions for index matching in PIV. Exp. Fluids 2014, 55, 1704. [Google Scholar] [CrossRef]
- Brookshier, K.A.; Tarbell, J.M. Evaluation of a transparent blood analog fluid: Aqueous Xanthan gum/glycerin. Biorheology 1993, 30, 107–116. [Google Scholar] [CrossRef]
- Stephanova, D.I.; Kossev, A. Theoretical predication of temperature effects at 20–42 °C on adaptive processes in simulated amyotrophic lateral sclerosis. JIN 2018, 17, 355–363. [Google Scholar] [CrossRef]
- Mann, D.E.; Tarbell, J.M. Flow of non-Newtonian blood analog fluids in rigid curved and straight artery models. Biorheology 1990, 27, 711–733. [Google Scholar] [CrossRef]
- Naiki, T. Evaluation of High Polymer Solutions as Blood Analog Fluid-For the Model Study of Hemodynamics. J. Jpn. Soc. Biorheology 1995, 9, 84–89. [Google Scholar]
- Kaliviotis, E.; Yianneskis, M. Blood viscosity modelling: Influence of aggregate network dynamics under transient conditions. Biorheology 2011, 48, 127–147. [Google Scholar] [CrossRef]
- Kannojiya, V.; Das, A.K.; Das, P.K. Simulation of Blood as Fluid: A Review from Rheological Aspects. IEEE Rev. Biomed. Eng. 2021, 14, 327–341. [Google Scholar] [CrossRef]
- Gutmann, F.; Simmons, L.M. The Temperature Dependence of the Viscosity of Liquids. J. Appl. Phys. 1952, 23, 977–978. [Google Scholar] [CrossRef]
- Tajima, Y.A.; Crozier, D.G. Chemorheology of an amine-cured epoxy resin. Polym. Eng. Sci. 1986, 26, 427–431. [Google Scholar] [CrossRef]
- Roller, M.B. Rheology of curing thermosets: A review. Polym. Eng. Sci. 1986, 26, 432–440. [Google Scholar] [CrossRef]
- Tanner, R.I. Engineering Rheology; OUP: Oxford, UK, 2000; Volume 52. [Google Scholar]
- Chien, S.; Usami, S.; Taylor, H.M.; Lundberg, J.L.; Gregersen, M.I. Effects of hematocrit and plasma proteins on human blood rheology at low shear rates. J. Appl. Physiol. 1966, 21, 81–87. [Google Scholar] [CrossRef] [PubMed]
- Skalak, R.; Keller, S.R.; Secomb, T.W. ASME Centennial Historical Perspective Paper: Mechanics of Blood Flow. J. Biomech. Eng. 1981, 103, 102–115. [Google Scholar] [CrossRef] [PubMed]
- Suzuki, T.; Takao, H.; Suzuki, T.; Suzuki, T.; Masuda, S.; Dahmani, C.; Watanabe, M.; Mamori, H.; Ishibashi, T.; Yamamoto, H.; et al. Variability of hemodynamic parameters using the common viscosity assumption in a computational fluid dynamics analysis of intracranial aneurysms. Technol. Health Care 2017, 25, 37–47. [Google Scholar] [CrossRef]
- Pond, W.G.; Houpt, K.A. The Biology of the Pig; Comstock Publishing Associates: Ithaca, NY, USA, 1978. [Google Scholar]
- Jandl, J.H. Blood: Textbook of Hematology; Little Brown & Co.: New York, NY, USA, 1987. [Google Scholar]
- Sondeen, J.L.; de Guzman, R.; Amy Polykratis, I.; Dale Prince, M.; Hernandez, O.; Cap, A.P.; Dubick, M.A. Comparison between human and porcine thromboelastograph parameters in response to ex vivo changes to platelets, plasma, and red blood cells. Blood Coagul. Fibrinolysis 2013, 24, 818–829. [Google Scholar] [CrossRef]
- Laurent, A.; Durussel, J.J.; Dufaux, J.; Penhouët, L.; Bailly, A.L.; Bonneau, M.; Merland, J.J. Effects of contrast media on blood rheology: Comparison in humans, pigs, and sheep. Cardiovasc. Interv. Radiol. 1999, 22, 62–66. [Google Scholar] [CrossRef]
- Ecker, P.; Sparer, A.; Lukitsch, B.; Elenkov, M.; Seltenhammer, M.; Crevenna, R.; Gföhler, M.; Harasek, M.; Windberger, U. Animal blood in translational research: How to adjust animal blood viscosity to the human standard. Physiol. Rep. 2021, 9, e14880. [Google Scholar] [CrossRef]
- Kibble, J.D. The Big Picture Physiology: Medical Course & Step 1 Review, 2nd ed.; McGraw-Hill: New York, NY, USA, 2020. [Google Scholar]
- Yi, H.; Yang, Z.; Johnson, M.; Bramlage, L.; Ludwig, B. Developing an in vitro validated 3D in silico internal carotid artery sidewall aneurysm model. Front. Physiol. 2022, 13, 1024590. [Google Scholar] [CrossRef]















| 6.11 | 12.22 | 24.45 | 36.68 | 48.91 | 61.15 | 73.37 | |
| 5078.0695 | 5076.4238 | 5642.7484 | 5753.1148 | 5735.2348 | 5484.2840 | 4880.5709 | |
| 5075.0346 | 5001.5716 | 5275.4079 | 5372.0900 | 5392.6819 | 5288.4887 | 5083.2582 | |
| 4914.6750 | 4815.3147 | 4961.1219 | 5035.4353 | 5004.6332 | 4936.2186 | 4811.9285 | |
| 5072.6236 | 4942.1073 | 4983.5841 | 5069.3949 | 5120.5499 | 5132.9445 | 5244.2778 | |
| 4845.6259 | 4704.9722 | 4673.0723 | 4732.1500 | 4695.8871 | 4704.6106 | 4782.9208 | |
| 4587.6398 | 4435.4649 | 4320.1714 | 4348.8666 | 4213.2520 | 4217.8034 | 4258.5822 | |
| 6.11 | 12.22 | 24.45 | 36.68 | 48.91 | 61.15 | 73.37 | |
| 295.5 | 295.70.1 | 295.5 | 295.70.1 | 295.5 | 295.70.1 | 295.5 | 295.70.1 |
| 300.2 | 298.847 | 300.2 | 298.847 | 300.2 | 298.847 | 300.2 | 298.847 |
| 305.8 | 307.289 | 305.8 | 307.289 | 305.8 | 307.289 | 305.8 | 307.289 |
| 310.3 | 314.587 | 310.3 | 314.587 | 310.3 | 314.587 | 310.3 | 314.587 |
Disclaimer/Publisher’s Note: The statements, opinions and data contained in all publications are solely those of the individual author(s) and contributor(s) and not of MDPI and/or the editor(s). MDPI and/or the editor(s) disclaim responsibility for any injury to people or property resulting from any ideas, methods, instructions or products referred to in the content. |
© 2025 by the authors. Licensee MDPI, Basel, Switzerland. This article is an open access article distributed under the terms and conditions of the Creative Commons Attribution (CC BY) license (https://creativecommons.org/licenses/by/4.0/).
Share and Cite
Yi, H.; Wang, A.; Wang, C.; Chong, J.; Ma, C.; Bramlage, L.; Ludwig, B.; Yang, Z. Creating Blood Analogs to Mimic Steady-State Non-Newtonian Shear-Thinning Characteristics Under Various Thermal Conditions. Bioengineering 2025, 12, 758. https://doi.org/10.3390/bioengineering12070758
Yi H, Wang A, Wang C, Chong J, Ma C, Bramlage L, Ludwig B, Yang Z. Creating Blood Analogs to Mimic Steady-State Non-Newtonian Shear-Thinning Characteristics Under Various Thermal Conditions. Bioengineering. 2025; 12(7):758. https://doi.org/10.3390/bioengineering12070758
Chicago/Turabian StyleYi, Hang, Alexander Wang, Christopher Wang, Jared Chong, Chungyiu Ma, Luke Bramlage, Bryan Ludwig, and Zifeng Yang. 2025. "Creating Blood Analogs to Mimic Steady-State Non-Newtonian Shear-Thinning Characteristics Under Various Thermal Conditions" Bioengineering 12, no. 7: 758. https://doi.org/10.3390/bioengineering12070758
APA StyleYi, H., Wang, A., Wang, C., Chong, J., Ma, C., Bramlage, L., Ludwig, B., & Yang, Z. (2025). Creating Blood Analogs to Mimic Steady-State Non-Newtonian Shear-Thinning Characteristics Under Various Thermal Conditions. Bioengineering, 12(7), 758. https://doi.org/10.3390/bioengineering12070758

