Advanced Silicon Modeling of Native Mitral Valve Physiology: A New Standard for Device and Procedure Testing
Abstract
1. Introduction
2. Materials and Methods
2.1. Mitral Valve Mold
2.2. Silicon Mitral Valve
2.3. Material Properties
2.4. In Vitro Testing
2.5. Statistical Analysis
3. Results
3.1. Anatomical Properties
3.2. Hemodynamic Properties
3.3. Leaflet Thickness
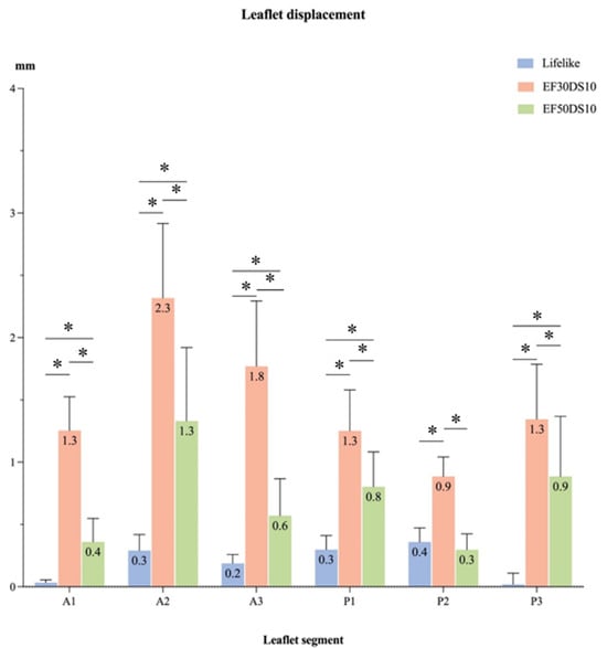
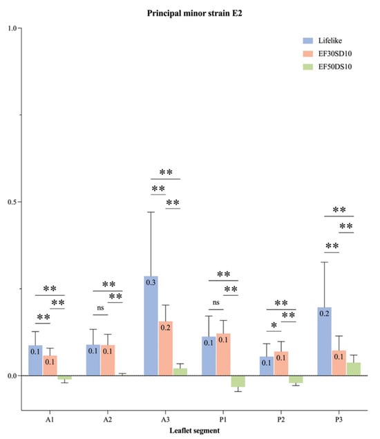
3.4. Biomechanical Properties
4. Discussion
5. Conclusions
Supplementary Materials
Author Contributions
Funding
Institutional Review Board Statement
Informed Consent Statement
Data Availability Statement
Acknowledgments
Conflicts of Interest
Abbreviations
| TEER | Transcatheter Edge-to-Edge-Repair |
| TMVR | Transcatheter Mitral Valve Replacement |
| EF30 | EcoFlex 00-30 |
| EF50 | EcoFlex 00-50 |
| DS10 | DragonSkin 10 |
| DS20 | DragonSkin 20 |
| MPG | Mean Pressure Gradient |
| DFP | Diastolic Filling Pressure |
| VTI | Velocity–Time Integral |
| Vmax | Maximal Velocity |
| DVI | Dimensionless Valve Index |
| MVA | Mitral Valve Area |
| CO | Cardiac Output |
| HR | Heart Rate |
| SV | Stroke Volume |
| DIC | Digital Image Correlation |
| GOA | Geometric Orifice Area |
| GROA | Geometric Regurgitant Orifice Area |
| AL | Anterior Leaflet |
| PL | Posterior Leaflet |
References
- Coffey, S.; Roberts-Thomson, R.; Brown, A.; Carapetis, J.; Chen, M.; Enriquez-Sarano, M.; Zühlke, L.; Prendergast, B.D. Global epidemiology of valvular heart disease. Nat. Rev. Cardiol. 2021, 18, 863–864. [Google Scholar] [CrossRef] [PubMed]
- Iung, B.; Baron, G.; Butchart, E.G.; Delahaye, F.; Gohlke-Barwolf, C.; Levang, O.W.; Tornos, P.; Vanoverschelde, J.-L.; Vermeer, F.; Boersma, E.; et al. A prospective survey of patients with valvular heart disease in Europe: The Euro Heart Survey on Valvular heart Disease. Eur. Heart J. 2003, 24, 1231–1243. [Google Scholar] [CrossRef] [PubMed]
- Freed, L.A.; Levy, D.; Levine, R.A.; Larson, M.G.; Evans, J.C.; Fuller, D.L.; Lehman, B.; Benjamin, E.J. Prevalence and clinical outcome of mitral-valve prolapse. N. Engl. J. Med. 1999, 341, 1–7. [Google Scholar] [CrossRef] [PubMed]
- Nkomo, V.T.; Gardin, J.M.; Skelton, T.N.; Gottdiener, J.S.; Scott, C.G.; Enriquez-Sarano, M. Burden of valvular heart diseases: A population-based study. Lancet 2006, 368, 1005–1011. [Google Scholar] [CrossRef]
- Delling, F.N.; Vasan, R.S. Epidemiology and pathophysiology of mitral valve prolapse: New insights into disease progression, genetics, and molecular basis. Circulation 2014, 129, 2158–2170. [Google Scholar] [CrossRef]
- El Sabbagh, A.; Reddy, Y.N.V.; Nishimura, R.A. Mitral valve regurgitation in the contemporary era: Insights into diagnosis, management, and future directions. JACC Cardiovasc. Imaging 2018, 11, 628–643. [Google Scholar] [CrossRef]
- Baumgartner, H.; Falk, V.; Bax, J.J.; De Bonis, M.; Hamm, C.; Holm, P.J.; Iung, B.; Lancellotti, P.; Lansac, E.; Muñoz, D.R.; et al. 2017 ESC/EACTS guidelines for the management of valvular heart disease: The Task Force for the management of valvular heart disease of the European Society of Cardiology (ESC) and the European Association for Cardio-Thoracic Surgery (EACTS). Eur. Heart J. 2017, 38, 2739–2791. [Google Scholar] [CrossRef]
- Kouris, N.; Ikonomidis, I.; Kontogianni, D.; Smith, P.; Nihoyannopoulos, P. Mitral valve repair versus replacement for isolated non-ischemic mitral regurgitation in patients with preoperative left ventricular dysfunction. A long-term follow-up echocardiography study. Eur. J. Echocardiogr. 2005, 6, 435–442. [Google Scholar] [CrossRef]
- Mirabel, M.; Iung, B.; Baron, G.; Messika-Zeitoun, D.; Detaint, D.; Vanoverschelde, J.L.; Butchart, E.G.; Ravaud, P.; Vahanian, A. What are the characteristics of patients with severe, symptomatic, mitral regurgitation who are denied surgery? Eur. Heart J. 2007, 28, 1358–1365. [Google Scholar] [CrossRef]
- Chan, N.; Dong, T.; Sabbak, N.; Xu, B.; Wang, T.K.M. Contemporary Review of Transcatheter Mitral Valve Interventions for Mitral Regurgitation. Life 2023, 13, 1511. [Google Scholar] [CrossRef]
- Khan, F.; Winkel, M.; Ong, G.; Brugger, N.; Pilgrim, T.; Windecker, S.; Praz, F.; Fam, N. Percutaneous Mitral Edge-to-Edge Repair: State of the Art and a Glimpse to the Future. Front. Cardiovasc. Med. 2019, 6, 122. [Google Scholar] [CrossRef] [PubMed]
- Yildiz, M.; Haude, M.; Sievert, H.; Fichtlscherer, S.; Lehmann, R.; Klein, N.; Witte, K.; Degen, H.; Pfeiffer, D.; Goldberg, S.L. The CINCH-FMR postmarket registry: Real-world long-term outcomes with percutaneous mitral valve repair with the Carillon Mitral Contour System®. Cardiovasc. Revasc Med. 2024, 60, 35–40. [Google Scholar] [CrossRef] [PubMed]
- Hell, M.M.; Wild, M.G.; Baldus, S.; Rudolph, T.; Treede, H.; Petronio, A.S.; Modine, T.; Andreas, M.; Coisne, A.; Duncan, A.; et al. Transapical Mitral Valve Replacement: 1-Year Results of the Real-World Tendyne European Experience Registry. JACC Cardiovasc. Interv. 2024, 17, 648–661. [Google Scholar] [CrossRef]
- Zhan-Moodie, S.; Xu, D.; Suresh, K.S.; He, Q.; Onohara, D.; Kalra, K.; Guyton, R.A.; Sarin, E.L.; Padala, M. Papillary muscle approximation reduces systolic tethering forces and improves mitral valve closure in the repair of functional mitral regurgitation. JTCVS Open 2021, 7, 91–104. [Google Scholar] [CrossRef]
- Paulsen, M.J.; Cuartas, M.M.; Imbrie-Moore, A.; Wang, H.; Wilkerson, R.; Farry, J.; Zhu, Y.; Ma, M.; MacArthur, J.W.; Woo, Y.J. Biomechanical engineering comparison of four leaflet repair techniques for mitral regurgitation using a novel 3-dimensional-printed left heart simulator. JTCVS Tech. 2021, 10, 244–251. [Google Scholar] [CrossRef]
- Park, M.H.; van Kampen, A.; Melnitchouk, S.; Wilkerson, R.J.; Nagata, Y.; Zhu, Y.; Wang, H.; Pandya, P.K.; Morningstar, J.E.; Borger, M.A.; et al. Native and Post-Repair Residual Mitral Valve Prolapse Increases Forces Exerted on the Papillary Muscles: A Possible Mechanism for Localized Fibrosis? Circ. Cardiovasc. Interv. 2022, 15, e011928. [Google Scholar] [CrossRef]
- Ginty, O.; Moore, J.; Xia, W.; Bainbridge, D.; Peters, T. Patient-specific indirectly 3D printed mitral valves for pre-operative surgical modelling. In Medical Imaging 2017: Image-Guided Procedures, Robotic Interventions, and Modeling; SPIE: Bellingham, WA, USA, 2017; pp. 316–330. [Google Scholar]
- Ginty, O.K.; Moore, J.T.; Eskandari, M.; Carnahan, P.; Lasso, A.; Jolley, M.A.; Monaghan, M.; Peters, T.M. Dynamic, patient-specific mitral valve modelling for planning transcatheter repairs. Int. J. Comput. Assist. Radiol. Surg. 2019, 14, 1227–1235. [Google Scholar] [CrossRef]
- Mashari, A.; Knio, Z.; Jeganathan, J.; Montealegre-Gallegos, M.; Yeh, L.; Amador, Y.; Matyal, R.; Saraf, R.; Khabbaz, K.; Mahmood, F. Hemodynamic Testing of Patient-Specific Mitral Valves Using a Pulse Duplicator: A Clinical Application of Three-Dimensional Printing. J. Cardiothorac. Vasc. Anesth. 2016, 30, 1278–1285. [Google Scholar] [CrossRef]
- Fedorov, A.; Beichel, R.; Kalpathy-Cramer, J.; Finet, J.; Fillion-Robin, J.C.; Pujol, S.; Bauer, C.; Jennings, D.; Fennessy, F.; Sonka, M.; et al. 3D Slicer as an image computing platform for the Quantitative Imaging Network. Magn. Reson. Imaging 2012, 30, 1323–1341. [Google Scholar] [CrossRef]
- Grande-Allen, K.J.; Barber, J.E.; Klatka, K.M.; Houghtaling, P.L.; Vesely, I.; Moravec, C.S.; McCarthy, P.M. Mitral valve stiffening in end-stage heart failure: Evidence of an organic contribution to functional mitral regurgitation. J. Thorac. Cardiovasc. Surg. 2005, 130, 783–790. [Google Scholar] [CrossRef]
- Engelhardt, S.; Sauerzapf, S.; Preim, B.; Karck, M.; Wolf, I.; De Simone, R. Flexible and comprehensive patient-specific mitral valve silicone models with chordae tendineae made from 3D-printable molds. Int. J. Comput. Assist. Radiol. Surg. 2019, 14, 1177–1186. [Google Scholar] [CrossRef] [PubMed]
- Premyodhin, N.; Mandair, D.; Ferng, A.S.; Leach, T.S.; Palsma, R.P.; Albanna, M.Z.; Khalpey, Z.I. 3D printed mitral valve models: Affordable simulation for robotic mitral valve repair. Interact. Cardiovasc. Thorac. Surg. 2018, 26, 71–76. [Google Scholar] [PubMed]
- Vaicekauskaite, J.; Mazurek, P.; Vudayagiri, S.; Skov, A.L. Mapping the mechanical and electrical properties of commercial silicone elastomer formulations for stretchable transducers. J. Mater. Chem. C 2020, 8, 1273–1279. [Google Scholar] [CrossRef]
- Korossis, S. Structure-Function Relationship of Heart Valves in Health and Disease. In Structural Insufficiency Anomalies in Cardiac Valves; IntechOpen: London, UK, 2018. [Google Scholar]
- Kenry; Yeo, J.C.; Lim, C.T. Emerging flexible and wearable physical sensing platforms for healthcare and biomedical applications. Microsyst. Nanoeng. 2016, 2, 16043. [Google Scholar] [CrossRef]
- Lavazza, J.; Contino, M.; Marano, C. Strain rate, temperature and deformation state effect on Ecoflex 00-50 silicone mechanical behaviour. Mech. Mater. 2023, 178, 104560. [Google Scholar]
- Marechal, L.; Balland, P.; Lindenroth, L.; Petrou, F.; Kontovounisios, C.; Bello, F. Toward a Common Framework and Database of Materials for Soft Robotics. Soft Robot. 2020, 8, 284–297. [Google Scholar]
- Barber, J.E.; Kasper, F.K.; Ratliff, N.B.; Cosgrove, D.M.; Griffin, B.P.; Vesely, I. Mechanical properties of myxomatous mitral valves. J. Thorac. Cardiovasc. Surg. 2001, 122, 955–962. [Google Scholar]
- Tanné, D.; Bertrand, E.; Kadem, L.; Pibarot, P.; Rieu, R. Assessment of left heart and pulmonary circulation flow dynamics by a new pulsed mock circulatory system. Exp. Fluids 2010, 48, 837–850. [Google Scholar]
- Gorlin, R.; Dexter, L. Hydraulic formula for the calculation of the cross-sectional area of the mitral valve during regurgitation. Am. Heart J. 1952, 43, 188–205. [Google Scholar]
- Robinson, S.; Ring, L.; Augustine, D.X.; Rekhraj, S.; Oxborough, D.; Harkness, A.; Lancellotti, P.; Rana, B. The assessment of mitral valve disease: A guideline from the British Society of Echocardiography. Echo Res. Pract. 2021, 8, G87–G136. [Google Scholar]
- Oliveira, D.; Srinivasan, J.; Espino, D.; Buchan, K.; Dawson, D.; Shepherd, D. Geometric description for the anatomy of the mitral valve: A review. J. Anat. 2020, 237, 209–224. [Google Scholar] [PubMed]
- Zoghbi, W.A.; Adams, D.; Bonow, R.O.; Enriquez-Sarano, M.; Foster, E.; Grayburn, P.A.; Hahn, R.T.; Han, Y.; Hung, J.; Lang, R.M.; et al. Recommendations for non invasive evaluation of native valvular regurgitation: A report from the American Society of Echocardiography developed in collaboration with the Society for Cardiovascular Magnetic Resonance. J. Am. Soc. Echocardiogr. 2017, 30, 303–371. [Google Scholar] [PubMed]
- Zoghbi, W.A.; Jone, P.-N.; Chamsi-Pasha, M.A.; Chen, T.; Collins, K.A.; Desai, M.Y.; Grayburn, P.; Groves, D.W.; Hahn, R.T.; Little, S.H.; et al. Guidelines for the Evaluation of Prosthetic Valve Function With Cardiovascular Imaging: A Report From the American Society of Echocardiography Developed in Collaboration With the Society for Cardiovascular Magnetic Resonance and the Society of Cardiovascular Computed Tomography. J. Am. Soc. Echocardiogr. 2024, 37, 2–63. [Google Scholar] [PubMed]
- Grayburn, P.A.; Weissman, N.J.; Zamorano, J.L. Quantitation of mitral regurgitation. Circulation 2012, 126, 2005–2017. [Google Scholar]
- Jawad, I.A.; Ghali, M.; Brown, R.; Sohn, Y.H. Pressure-flow relations across the normal mitral valve. Am. J. Cardiol. 1987, 59, 915–918. [Google Scholar]
- Singh, B.; Mohan, J.C. Atrioventricular valve orifice areas in normal subjects: Determination by cross-sectional and Doppler echocardiography. Int. J. Cardiol. 1994, 44, 85–91. [Google Scholar]
- Yang, Y.; Wang, H.; Song, H.; Hu, Y.; Gong, Q.; Xiong, Y.; Liu, J.; Ren, W.; Zhou, Q. Morphological Evaluation of Mitral Valve Based on Three-dimensional Printing Models: Potential Implication for Mitral Valve Repair. BIO Integr. 2021, 2, 143–151. [Google Scholar]
- Engelhardt, S.; Sauerzapf, S.; Al-Maisary, S.; Karck, M.; Preim, B.; Wolf, I.; Simone, R. Elastic Mitral Valve Silicone Replica Made from 3D-Printable Molds Offer Advanced Surgical Training. In Bildverarbeitung für die Medizin 2018: Algorithmen-Systeme-Anwendungen. Proceedings des Workshops vom 11. bis 13. März 2018 in Erlangen; Springer: Berlin/Heidelberg, Germany, 2018. [Google Scholar]
- Yang, Y.; Wang, H.; Song, H.; Hu, X.; Hu, R.; Cao, S.; Guo, J.; Zhou, Q. A soft functional mitral valve model prepared by three-dimensional printing as an aid for an advanced mitral valve operation. Eur. J. Cardiothorac. Surg. 2022, 61, 877–885. [Google Scholar]
- El-Tallawi, K.C.; Zhang, P.; Azencott, R.; He, J.; Herrera, E.L.; Xu, J.; Chamsi-Pasha, M.; Jacob, J.; Lawrie, G.M.; Zoghbi, W.A. Valve strain quantitation in normal mitral valves and mitral prolapse with variable degrees of regurgitation. JACC Cardiovasc. Imaging 2021, 14, 1099–1109. [Google Scholar]
- Zekry, S.B.; Freeman, J.; Jajoo, A.; He, J.; Little, S.H.; Lawrie, G.M.; Azencott, R.; Zoghbi, W.A. Patient-Specific Quantitation of Mitral Valve Strain by Computer Analysis of Three-Dimensional Echocardiography. Circ. Cardiovasc. Imaging 2016, 9, e003254. [Google Scholar]
- Jimenez, J.H.; Liou, S.W.; Padala, M.; He, Z.; Sacks, M.; Gorman, R.C.; Gorman, J.H., III; Yoganathan, A.P. A saddle-shaped annulus reduces systolic strain on the central region of the mitral valve anterior leaflet. J. Thorac. Cardiovasc. Surg. 2007, 134, 1562–1568. [Google Scholar] [PubMed]
- Chen, L.; May-Newman, K. Effect of strut chordae transection on mitral valve leaflet biomechanics. Ann. Biomed. Eng. 2006, 34, 917–926. [Google Scholar] [PubMed]
- He, C.-H.; Liu, H.-W.; Liu, C. A fractal-based approach to the mechanical properties of recycled aggregate concretes. Facta Univ. Ser. Mech. Eng. 2024, 31, 329–342. [Google Scholar]
- Kocaman Kabil, F.; Oral, A.Y. Influence of the pore size on optical and mechanical properties of ecoflex sponges. Mater. Res. Express 2024, 11, 035305. [Google Scholar] [CrossRef]








| Valve | External Silicon Layers | Internal Silicon Layers |
|---|---|---|
| V1 | EcoFlex 00-30 | |
| V2 | EcoFlex 00-50 | |
| V3 | DragonSkin 10 Very Fast | |
| V4 | DragonSkin 20 | |
| V5 | EcoFlex 00-30 | DragonSkin 10 Very Fast |
| V6 | EcoFlex 00-30 | DragonSkin 20 |
| V7 | EcoFlex 00-50 | DragonSkin 10 Very Fast |
| V8 | EcoFlex 00-50 | DragonSkin 20 |
| V9 | DragonSkin 10 Very Fast | EcoFlex 00-30 |
| V10 | DragonSkin 10 Very Fast | EcoFlex 00-50 |
| V11 | DragonSkin 20 | EcoFlex 00-30 |
| V12 | DragonSkin 20 | EcoFlex 00-50 |
| Material | Young’s Modulus (MPa) | Ultimate Tensile Strength (MPa) | Elongation at Break (%) | Failure Strength (kN/m) | Shore Hardness (00-A) |
|---|---|---|---|---|---|
| EcoFlex 00-30 | 0.33 | 1.2 | 835 | 6.66 | 00-23 |
| EcoFlex 00-50 | 0.33 | 1.7 | 860 | 8.77 | 00-35 |
| DragonSkin 10 Very Fast | 1.04 | 3.28 | 1000 | 17.9 | 10A |
| DragonSkin 20 | 3.84 | 3.79 | 620 | 21 | 20A |
| Native Mitral Leaflet (circ.) | 0.02–10.2 | ______ | ______ | 0.981 | ______ |
| Native Mitral Leaflet (rad.) | 0.02–2.1 | ______ | ______ | 0.657 | ______ |
| Valve | MVA (cm2) | Peak GOA (cm2) | MPG (mmHg) | Vmax (cm/s) | VTI (cm) | DVI | GROA (cm2) |
|---|---|---|---|---|---|---|---|
| Lifelike | 4.0 ± 0.2 | 4.7 ± 0.1 | 2.7 ± 0.4 | 1.5 ± 0.1 | 35.2 ± 2.8 | 1.0 ± 0.1 | 0.00 ± 0.0 |
| V1 | 4.6 ± 0.3 | 4.1 ± 0.1 | 2.0 ± 0.3 | 1.3 ± 0.1 | 29.4 ± 2.6 | 0.8 ± 0.1 | 0.02 ± 0.0 |
| V2 | 3.6 ± 0.3 | 3.2 ± 0.2 | 3.4 ± 0.5 | 1.6 ± 0.1 | 33.7 ± 2.5 | 1.0 ± 0.1 | 0.02 ± 0.0 |
| V3 | 1.8 ± 0.1 | 1.4 ± 0.1 | 12.7 ± 0.8 | 3.2 ± 0.1 | 66.5 ± 3.0 | 1.9 ± 0.1 | 0.03 ± 0.0 |
| V4 | 3.8 ± 0.2 | 3.2 ± 0.1 | 2.9 ± 0.3 | 1.5 ± 0.1 | 30.7 ± 2.3 | 0.9 ± 0.1 | 0.03 ± 0.0 |
| V5 | 4.8 ± 0.1 | 4.0 ± 0.2 | 1.8 ± 0.1 | 1.2 ± 0.0 | 29.3 ± 0.8 | 0.8 ± 0.0 | 0.06 ± 0.0 |
| V6 | 3.3 ± 0.1 | 3.0 ± 0.1 | 4.1 ± 0.4 | 1.9 ± 0.1 | 37.2 ± 2.4 | 1.1 ± 0.1 | 0.00 ± 0.0 |
| V7 | 5.1 ± 0.4 | 5.0 ± 0.2 | 1.7 ± 0.2 | 1.2 ± 0.1 | 28.2 ± 2.1 | 0.8 ± 0.1 | 0.07± 0.0 |
| V8 | 4.2 ± 0.2 | 3.7 ± 0.1 | 2.5 ± 0.2 | 1.4 ± 0.1 | 30.4 ± 1.9 | 0.9 ± 0.1 | 0.06 ± 0.0 |
| V9 | 3.9 ± 0.2 | 4.3 ± 0.3 | 2.8 ± 0.3 | 1.7 ± 0.1 | 37.3 ± 2.1 | 1.1 ± 0.1 | 0.20 ± 0.0 |
| V10 | 2.3 ± 0.1 | 2.9 ± 0.1 | 8.0 ± 0.9 | 2.7 ± 0.1 | 53.1 ± 3.2 | 1.5 ± 0.1 | 0.00 ± 0.0 |
| V11 | 2.5 ± 0.1 | 2.6 ± 0.1 | 7.0 ± 0.5 | 2.5 ± 0.1 | 52.2 ± 2.9 | 1.5 ± 0.1 | 0.00 ± 0.0 |
| V12 | 3.7 ± 0.2 | 3.7 ± 0.1 | 3.2 ± 0.3 | 1.7 ± 0.1 | 32.9 ± 2.0 | 0.9 ± 0.1 | 0.04 ± 0.0 |
| MPG (mmHg) | MVA (cm2) | GROA (cm2) | |
|---|---|---|---|
| Healthy | ≤3 | 4–6 | <0.20 |
| Mild to moderate | <5 | >1.5 | 0.20–0.29 |
| Severe | 5–10 | <1.5 | 0.30–0.39 |
| Valve | Leaflet Thickness (mm) | MVA (cm2) | GOA (cm2) | MPG (mmHg) |
|---|---|---|---|---|
| V1 | 1 | N/A | ||
| 1.5 | 4.6 ± 0.3 | 4.1 ± 0.1 | 2.0 ± 0.3 | |
| 2 | 1.8 ± 0.1 | 1.9 ± 0.1 | 7.1 ± 0.8 | |
| V5 | 1 | 3.0 ± 0.2 | 3.8 ± 0.2 | 2.4 ± 0.2 |
| 1.5 | 4.8 ± 0.1 | 4.0 ± 0.2 | 1.8 ± 0.1 | |
| 2 | 2.2 ± 0.1 | 2.6 ± 0.1 | 4.5 ± 0.3 | |
| V7 | 1 | 3.7 ± 0.2 | 3.7 ± 0.2 | 2.4 ± 0.2 |
| 1.5 | 5.1 ± 0.4 | 5.0 ± 0.2 | 1.7 ± 0.2 | |
| 2 | 2.1 ± 0.1 | 2.8 ± 0.2 | 4.6 ± 0.2 | |
Disclaimer/Publisher’s Note: The statements, opinions and data contained in all publications are solely those of the individual author(s) and contributor(s) and not of MDPI and/or the editor(s). MDPI and/or the editor(s) disclaim responsibility for any injury to people or property resulting from any ideas, methods, instructions or products referred to in the content. |
© 2025 by the authors. Licensee MDPI, Basel, Switzerland. This article is an open access article distributed under the terms and conditions of the Creative Commons Attribution (CC BY) license (https://creativecommons.org/licenses/by/4.0/).
Share and Cite
Delanoë, K.; Salaun, E.; Rieu, R.; Côté, N.; Pibarot, P.; Stanová, V. Advanced Silicon Modeling of Native Mitral Valve Physiology: A New Standard for Device and Procedure Testing. Bioengineering 2025, 12, 397. https://doi.org/10.3390/bioengineering12040397
Delanoë K, Salaun E, Rieu R, Côté N, Pibarot P, Stanová V. Advanced Silicon Modeling of Native Mitral Valve Physiology: A New Standard for Device and Procedure Testing. Bioengineering. 2025; 12(4):397. https://doi.org/10.3390/bioengineering12040397
Chicago/Turabian StyleDelanoë, Katell, Erwan Salaun, Régis Rieu, Nancy Côté, Philippe Pibarot, and Viktória Stanová. 2025. "Advanced Silicon Modeling of Native Mitral Valve Physiology: A New Standard for Device and Procedure Testing" Bioengineering 12, no. 4: 397. https://doi.org/10.3390/bioengineering12040397
APA StyleDelanoë, K., Salaun, E., Rieu, R., Côté, N., Pibarot, P., & Stanová, V. (2025). Advanced Silicon Modeling of Native Mitral Valve Physiology: A New Standard for Device and Procedure Testing. Bioengineering, 12(4), 397. https://doi.org/10.3390/bioengineering12040397

