Detection of Architectural Dysplastic Features from Histopathological Imagery of Oral Mucosa Using Neural Networks
Abstract
1. Introduction
2. Oral Epithelial Dysplasia
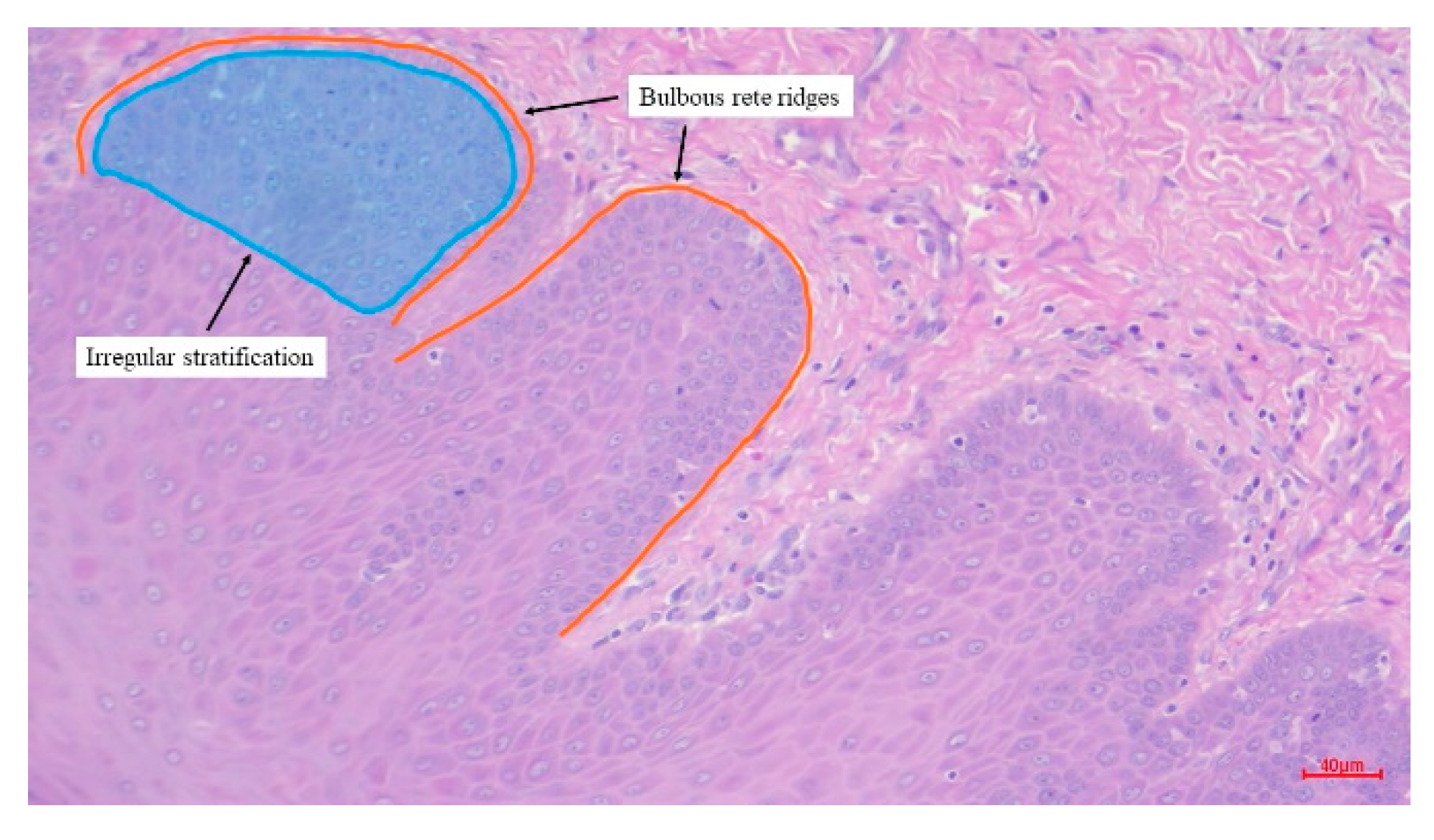
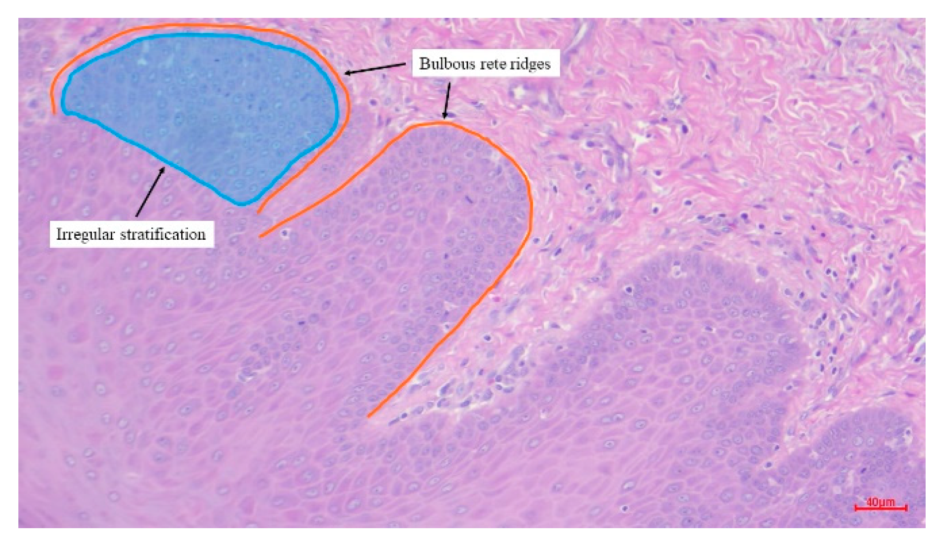
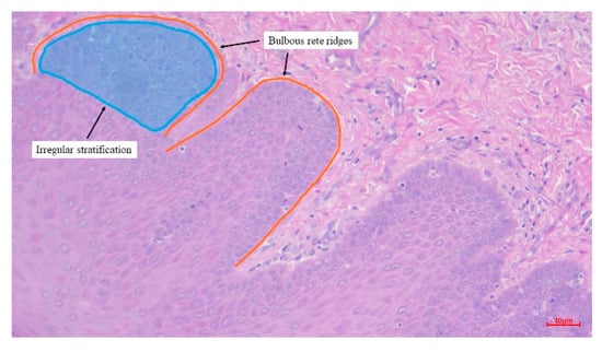
2.1. Dysplastic Features
2.2. Dataset
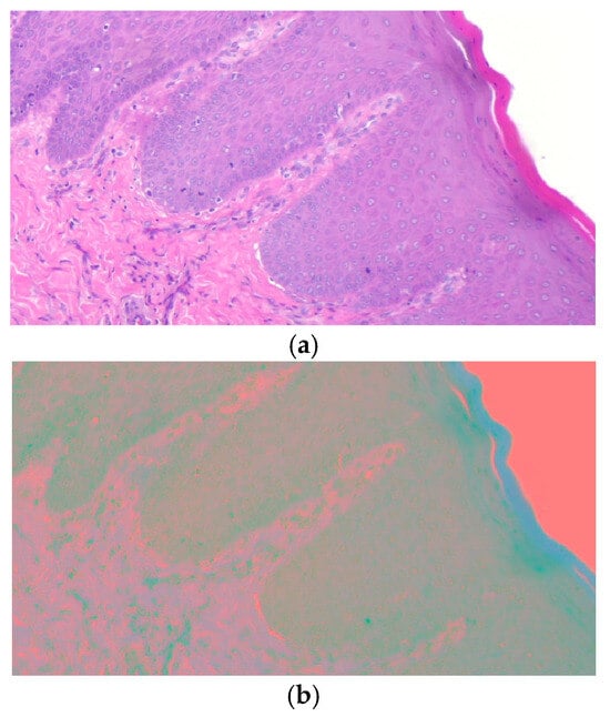
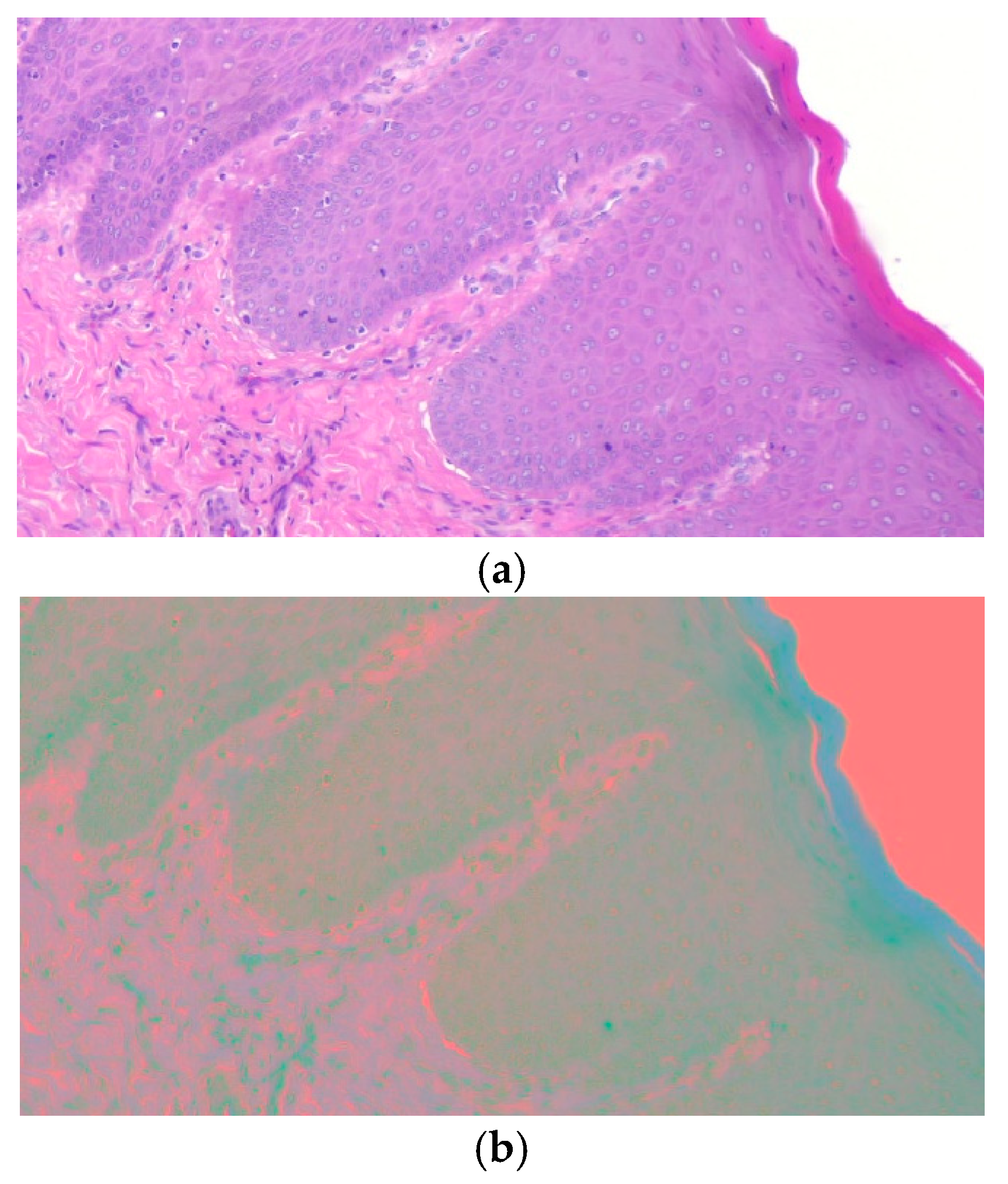
2.3. Image Processing
3. Methodology
3.1. Convolutional Neural Networks
3.2. Classifier
3.3. Training Techniques
4. Experimental Results
4.1. Signature Library
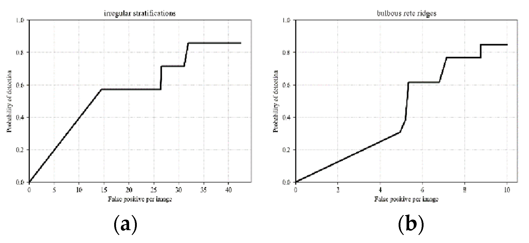
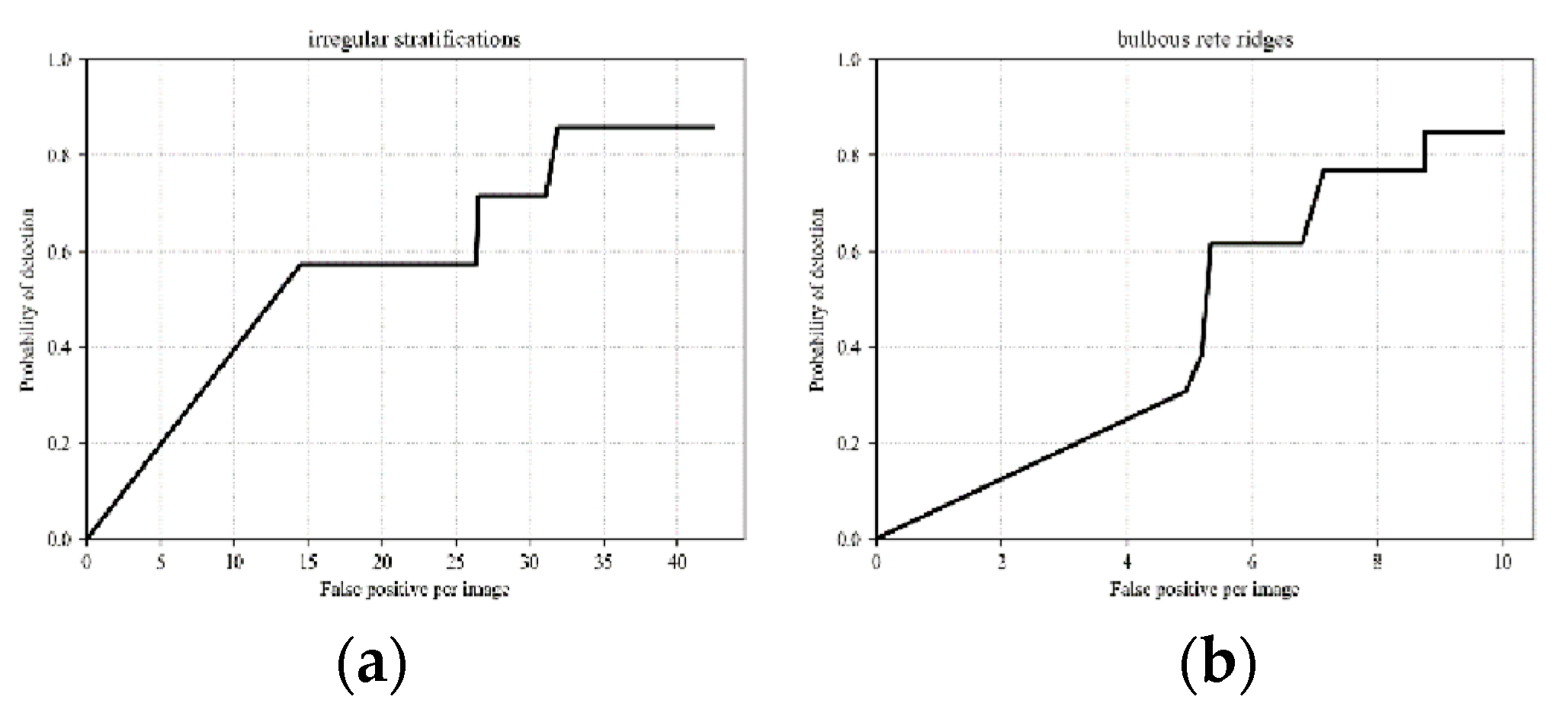
4.2. Blind Test
5. Conclusions
Author Contributions
Funding
Institutional Review Board Statement
Informed Consent Statement
Data Availability Statement
Acknowledgments
Conflicts of Interest
References
- World Health Organisation. Oral Health. Available online: https://www.who.int/news-room/fact-sheets/detail/oral-health (accessed on 10 January 2024).
- Begum, S.H.; Vidyullatha, P. Automatic Detection and Classification of Oral Cancer from Photographic Images Using Attention Maps and Deep Learning. Int. J. Intell. Syst. Appl. Eng. 2023, 11, 221–229. [Google Scholar]
- Bansal, S.; Jadon, R.S.; Gupta, S.K. Lips and Tongue Cancer Classification Using Deep Learning Neural Network. In Proceedings of the 6th International Conference on Information Systems and Computer Networks (ISCON), Mathura, India, 3–4 March 2023; pp. 1–3. [Google Scholar]
- Huang, Q.; Ding, H.; Razmjooy, N. Oral cancer detection using convolutional neural network optimized by combined seagull optimization algorithm. Biomed. Signal Process. Control. 2023, 87, 105546. [Google Scholar] [CrossRef]
- Warin, K.; Limprasert, W.; Suebnukarn, S.; Jinaporntham, S.; Jantana, P. Automatic classification and detection of oral cancer in photographic images using deep learning algorithms. J. Oral Pathol. Med. 2021, 50, 911–918. [Google Scholar] [CrossRef] [PubMed]
- Islam, M.; Alam, K.M.R.; Uddin, J.; Ashraf, I.; Samad, A. Benign and Malignant Oral Lesion Image Classification Using Fine-Tuned Transfer Learning Techniques. Diagnostics 2023, 13, 3360. [Google Scholar] [CrossRef] [PubMed]
- Laosuwan, K.; Somngam, C.; Ngamsanong, P.; Techachan, S.; Sangtongthong, S.; Chamusri, N.; Practice, T.P. A Study of Clinical Appearances, Histopathological Features, and Demographic Data in Patients with Oral Potentially Malignant Disorders. Chiang Mai Dent. J. 2023, 44, 42–54. [Google Scholar] [CrossRef]
- Ranganathan, K.; Kavitha, L. Oral epithelial dysplasia: Classifications and clinical relevance in risk assessment of oral potentially malignant disorders. J. Oral Maxillofac. Pathol. 2019, 23, 19–27. [Google Scholar] [CrossRef]
- Rahman, T.Y.; Maranta, L.B.; Das, A.K.; Sarma, J.D. Automated oral squamous cell carcinoma identification using shape, texture and color features of whole image strips. Tissue Cell 2020, 63, 101322. [Google Scholar] [CrossRef]
- Rahman, T.; Mahanta, L.; Chakraborty, C.; DAS, A.; Sarma, J. Textural pattern classification of oral squamous cell carcinoma. J. Microsc. 2018, 269, 85–93. [Google Scholar] [CrossRef]
- Sultan, A.S.; Elgharib, M.A.; Tavares, T.; Jessi, M.; Basile, J.R. The use of artificial intelligence, machine learning and deep learning in oncologist histopathology. J. Oral Pathol. Med. 2020, 49, 849–856. [Google Scholar] [CrossRef]
- Khanagar, S.B.; Naik, S.; Al Kheraif, A.A.; Vishwanathaiah, S.; Maganur, P.C.; Alhazmi, Y.; Mushtaq, S.; Sarode, S.C.; Sarode, G.S.; Zanza, A.; et al. Application and performance of artificial intelligence technology in oral cancer diagnosis and prediction of prognosis: A systematic review. Diagnostics 2021, 11, 1004. [Google Scholar] [CrossRef]
- Bashir, R.M.S.; Mahmood, H.; Shaban, M.; Raza, S.E.A.; Fraz, M.M.; Khurram, S.A.; Rajpoot, N.M. Automated grade classification of oral epithelial dysplasia using morphometric analysis of histology images. In Proceedings of the Society of Photo Optical Instrumentation Engineers (SPIE), Medical Imaging 2020: Digital Pathology, Houston, TX, USA, 16 March 2020; Volume 11320. [Google Scholar]
- Adel, D.; Mounir, J.; El-Shafey, M.; Eldin, Y.A.; El Masry, N.; AbdelRaouf, A.; Elhamid, I.S.A. Oral Epithelial Dysplasia Computer Aided Diagnostic Approach. In Proceedings of the 2018 13th International Conference on Computer Engineering and Systems (ICCES), Cairo, Egypt, 18–19 December 2018; pp. 313–318. [Google Scholar] [CrossRef]
- Silva, A.B.; Martins, A.S.; Tosta, T.A.A.; Neves, L.A.; Servato, J.P.S.; Araújo, M.S.D.; Faria, P.R.D.; Nascimento, M.Z.D. Computational analysis of histological images from hematoxylin and eosin-stained oral epithelial dysplasia tissue sections. Expert Syst. Appl. 2022, 193, 116456. [Google Scholar] [CrossRef]
- Krishnan, M.M.R.; Shah, P.; Choudhary, A.; Chakraborty, C.; Paul, R.R.; Raye, A.K. Textural characterization of histopathological images for oral sub-mucous fibrosis detection. Tissue Cell 2011, 43, 318–330. [Google Scholar] [CrossRef] [PubMed]
- Warin, K.; Limprasert, W.; Suebnukarn, S.; Jinaporntham, S.; Jantana, P. Performance of deep convolutional neural network for classification and detection of oral potentially malignant disorders in photographic images. Int. J. Oral Maxillofac. Surg. 2022, 51, 699–704. [Google Scholar] [CrossRef] [PubMed]
- Longo, L.H.d.C.; Roberto, G.F.; Tosta, T.A.A.; de Faria, P.R.; Loyola, A.M.; Cardoso, S.V.; Silva, A.B.; Nascimento, M.Z.D.; Neves, L.A. Classification of Multiple H&E Images via an Ensemble Computational Scheme. Entropy 2024, 26, 34. [Google Scholar] [CrossRef]
- Gupta, R.K.; Kaur, M.; Manhas, J. Tissue Level Based Deep Learning Framework for Early Detection of Dysplasia in Oral Squamous Epithelium. J. Multimedia Inf. Syst. 2019, 6, 81–86. [Google Scholar] [CrossRef]
- Nandini, C.; Basha, S.; Agarawal, A.; Neelampari, R.P.; Miyapuram, K.; Nileshwariba, R.J. Deep Learning Approach to Detect High-Risk Oral Epithelial Dysplasia: A Step Towards Computer-Assisted Dysplasia Grading. Adv. Hum. Biol. 2023, 13, 57–60. [Google Scholar] [CrossRef]
- Afify, H.M.; Mohammed, K.K.; Hassanien, A.E. Novel prediction model on OSCC histopathological images via deep transfer learning combined with Grad-CAM interpretation. Biomed. Signal Process. Control. 2023, 83, 104704. [Google Scholar] [CrossRef]
- dos Santos, D.F.; de Faria, P.R.; Travencolo, B.A.; do Nascimento, M.Z. Automated detection of tumor regions from oral histological whole slide images using fully convolutional neural networks. Biomed. Signal Process. Control 2021, 69, 102921. [Google Scholar] [CrossRef]
- Bejnordi, B.E.; Lin, J.; Glass, B.; Mullooly, M.; Gierach, G.L.; Sherman, M.E.; Karssemeijer, N.; van der Laak, J.; Beck, A.H. Deep Learning-Based Assessment of Tumor-Associated stroma for Diagnosing Breast Cancer in Histopathology Images. In Proceedings of the 2017 IEEE 14th International Symposium on Biomedical Imaging (ISBI 2017), Melbourne, VIC, Australia, 18–21 April 2017; pp. 929–932. [Google Scholar]
- Bejnordi, B.E.; Zuidhof, G.; Balkenhol, M.; Hermsen, M.; Bult, P.; van Ginneken, B.; Karssemeijer, N.; Litjens, G.; van der Laak, J. Context-aware stacked convolutional neural networks for classification of breast carcinomas in whole-slide histopathology images. J. Med. Imaging 2017, 4, 044504. [Google Scholar] [CrossRef]
- Yao, H.; Zhang, X.; Zhou, X.; Liu, S. Parallel structure deep neural network using CNN and RNN with an attention mechanism for breast cancer histology image classification. Cancers 2019, 11, 1901. [Google Scholar] [CrossRef]
- Chattopadhyay, A.; Maitra, M. MRI-based brain tumour image detection using CNN based deep learning method. Informatics 2022, 2, 100060. [Google Scholar] [CrossRef]
- Ismael, S.A.A.; Mohammed, A.; Hefny, H. An enhanced deep learning approach for brain cancer MRI images classification using residual networks. Artif. Intell. Med. 2020, 102, 101779. [Google Scholar] [CrossRef] [PubMed]
- Wei, J.; Zhu, R.; Zhang, H.; Li, P.; Okasha, A.; Muttar, A.K. Application of PET/CT image under convolutional neural network model in postoperative pneumonia virus infection monitoring of patients with non-small cell lung cancer. Results Phys. 2021, 26, 104385. [Google Scholar] [CrossRef]
- Song, T.-A.; Chowdhury, S.R.; Yang, F.; Dutta, J. Super-Resolution PET Imaging Using Convolutional Neural Networks. IEEE Trans. Comput. Imaging 2020, 6, 518–528. [Google Scholar] [CrossRef]
- Sarvamangala, D.R.; Kulkarni, R.V. Convolutional neural networks in medical image understanding: A survey. Evol. Intell. 2022, 15, 1–22. [Google Scholar] [CrossRef]
- Mohammed, F.A.; Tune, K.K.; Assefa, B.G.; Jett, M.; Muhie, S. Medical image classifications using convolutional neural networks: A survey of current methods and statistical modeling of the literature. Mach. Learn. Knowl. Extr. 2024, 6, 699–735. [Google Scholar] [CrossRef]
- Regezi, J.A.; Sciubba, J.J.; Jordan, R.C. Oral Pathology: Clinical Pathologic Correlations, 7th ed.; Elsevier Health Sciences: Amsterdam, The Netherlands, 2016. [Google Scholar]
- Neville, B.W.; Damm, D.D.; Allen, C.M.; Chi, A.C. Oral and Maxillofacial Pathology, 4th ed.; Elsevier Health Sciences: Amsterdam, The Netherlands, 2016. [Google Scholar]
- Waal, I.V.D. Potentially malignant disorders of the oral and oropharyngeal mucosa; terminology, classification and present concepts of management. Oral Oncol. 2009, 45, 317–323. [Google Scholar] [CrossRef]
- Rahman, T.Y. A histopathological image repository of normal epithelium of Oral Cavity and Oral Squamous Cell Carcinoma. Mendeley Data 2019, 1. [Google Scholar] [CrossRef]
- Gonzalez, R.C.; Woods, R.E. Digital Image Processing; Pearson: New York, NY, USA, 2018. [Google Scholar]
- Le Cun, Y.; Boser, B.; Denker, J.S.; Henderson, D.; Howard, R.E.; Hubbard, W.; Jackel, L.D. Handwritten digit recognition with a back-propagation network. In Advances in Neural Information Processing Systems 2; Morgan Kaufmann Publishers Inc.: San Francisco, CA, USA, 1990; pp. 396–404. [Google Scholar]
- Fisher, Y.; Koltun, V. Multi-Scale Context Aggregation by Dilated Convolutions. arXiv 2015, arXiv:1511.07122. [Google Scholar]
- Ioffe, S.; Szegedy, C. Batch normalization: Accelerating deep network training by reducing internal covariate shift. In Proceedings of the 32nd International Conference on International Conference on Machine Learning-Volume 37 (ICML’15), Lille, France, 6–11 July 2015; pp. 448–456. [Google Scholar]
- Fukushima, K. Visual Feature Extraction by a Multilayered Network of Analog Threshold Elements. IEEE Trans. Syst. Sci. Cybern. 1969, 5, 322–333. [Google Scholar] [CrossRef]
- Yamaguchi, K.; Sakamoto, K.; Akabane, T.; Fujimoto, Y. A neural network for speaker-independent isolated word recognition. In Proceedings of the First International Conference on Spoken Language Processing (ICSLP), Kobe, Japan, 18–22 November 1990; pp. 1077–1080. [Google Scholar]
- Lin, M.; Chen, Q.; Yan, S. Network in network. arXiv 2013, arXiv:1312.4400. [Google Scholar]
- Körschens, M.; Bodesheim, P.; Denzler, J. Beyond Global Average Pooling: Alternative Feature Aggregations for Weakly Supervised Localization. In Proceedings of the 17th International Joint Conference on Computer Vision, Imaging and Computer Graphics Theory and Applications, VISIGRAPP 2022, Online, 6–8 February 2022; Volume 4, pp. 180–191. [Google Scholar]
- Srivastava, N.; Hinton, G.; Krizhevsky, A.; Sutskever, I.; Salakhutdinov, R. Dropout: A simple way to prevent neural networks from overfitting. JMLR 2014, 15, 1929–1958. [Google Scholar]
- Werbos, P.J. Applications of advances in nonlinear sensitivity analysis. In System Modeling and Optimization; Lecture Notes in Control and Information, Sciences; Drenick, R.F., Kozin, F., Eds.; Springer: Berlin/Heidelberg, Germany, 2005; Volume 38. [Google Scholar] [CrossRef]








| Data Source | Irregular Stratification | Bulbous Rete Ridges | Blind Images | Training Images |
|---|---|---|---|---|
| Dysplasia | 64 | 17 | 10 | 96 |
| Normal | 0 | 0 | 10 | 92 |
| Rahman’s OSCC [15] | 0 | 0 | 0 | 50 |
| Signature Library | Normal | Irregular Stratification | Bulbous Rete Ridges | Total Images |
|---|---|---|---|---|
| Training | 6724 | 2634 | 607 | 9965 |
| Training (augmentation) | 6724 | 2634 | 2428 | 11,786 |
| Test | 1681 | 659 | 152 | 2492 |
| # | Architecture | Accuracy (%) |
|---|---|---|
| 1 | l1 = 1, l2 = 1, w1 = 3, w2 = 1, No BN, GAP, h1 = 1024, p = 0 | 92.88 ± 0.59 |
| 2 | l1 = 1, l2 = 1, w1 = 3, w2 = 1, BN, GAP, h1 = 1024, p = 0 | 96.88 ± 0.39 |
| 3 | l1 = 1, l2 = 1, w1 = 3, w2 = 1, BN, GMP, h1 = 1024, p = 0 | 95.14 ± 0.78 |
| 4 | l1 = 1, l2 = 1, w1 = 3, w2 = 1, BN, GLSEP, h1 = 1024, p = 0 | 95.08 ± 0.42 |
| 5 | l1 = 2, l2 = 1, w1 = 3, w2 = 3, BN, GAP, h1 = 1024, p = 0 | 94.74 ± 0.94 |
| 6 | l1 = 2, l2 = 1, w1 = 3, w2 = 1, BN, GAP, h1 = 1024, p = 0 | 96.57 ± 0.25 |
| 7 | l1 = 2, l2 = 1, w1 = 3, w2 = 1, No BN, GAP, h1 = 1024, p = 0 | 92.10 ± 0.45 |
| 8 | l1 = 3, l2 = 1, w1 = 3, w2 = 1, BN, GAP, h1 = 1024, p = 0 | 95.13 ± 0.32 |
| 9 | l1 = 3, l2 = 2, w1 = 3, w2 = 1, BN, GAP, h1 = 1024, p = 0 | 95.27 ± 0.20 |
| 10 | l1 = 1, l2 = 1, w1 = 3, w2 = 1, BN, GAP, h1 = 1024, p = 0.5 | 96.60 ± 0.33 |
| 11 | l1 = 1, l2 = 1, w1 = 3, w2 = 1, BN, GAP, h1 = 512, p = 0 | 96.72 ± 0.48 |
| 12 | l1 = 1, l2 = 1, w1 = 3, w2 = 1, BN, GAP, h1 = 2048, p = 0 | 97.10 ± 0.74 |
| 13 | l1 = 1, l2 = 1, w1 = 3, w2 = 1, BN, GAP, h1 = 2048, p = 0.5 | 96.75 ± 0.72 |
| 14 | l1 = 1, l2 = 1, w1 = 3, w2 = 1, BN, GAP, h1 = 2048, p = 0, RGB | 96.79 ± 0.52 |
| 15 | l1 = 1, l2 = 1, w1 = 3, w2 = 1, BN, GAP, h1 = 4096, p = 0 | 97.02 ± 0.61 |
| 16 | l1 = 1, l2 = 1, w1 = 3, w2 = 1, BN, GAP, h1 = 4096, p = 0.5 | 96.88 ± 0.31 |
| Fold | Accuracy (%) | F1 Score (%) | Precision (%) | Recall (%) |
|---|---|---|---|---|
| 1 | 96.54% | 95.76% | 95.03% | 96.54% |
| 2 | 97.52% | 96.48% | 95.50% | 97.52% |
| 3 | 95.86% | 95.30% | 94.76% | 95.86% |
| 4 | 97.09% | 96.64% | 96.20% | 97.09% |
| Component | Output Shape | Model |
|---|---|---|
| Input | 3 × 350 × 350 | YCbCr image |
| Convolution layer (1) | 16 × 348 × 348 | 2-dimensional convolutions [l1 = 1, 16 × (w1 = 3), BN, ReLU] [l2 = 1, 16 × (w2 = 1), BN, ReLU] |
| Pooling layer (1) | 16 × 174 × 174 | Maximum pooling (2 × 2) |
| Convolution layer (2) | 32 × 172 × 172 | 2-dimensional convolutions [l1 = 1, 32 × (w1 = 3), BN, ReLU] [l2 = 1, 32 × (w2 = 1), BN, ReLU] |
| Pooling layer (2) | 32 × 86 × 86 | Maximum pooling (2 × 2) |
| Convolution layer (5) | 256 × 18 × 18 | 2-dimensional convolutions [l1 = 1, 256 × (w1 = 3), BN, ReLU] [l2 = 1, 256 × (w2 = 1), BN, ReLU] |
| Pooling layer (5) | 256 × 9 × 9 | Maximum pooling (2 × 2) |
| CNN output | 256 × 1 | Global average pooling |
| Classifier | 2048 × 1 | Fully connected layer [h1 = 2048, ReLU, p = 0.0] |
| Output | 3 × 1 | [h2 = 3] |
Disclaimer/Publisher’s Note: The statements, opinions and data contained in all publications are solely those of the individual author(s) and contributor(s) and not of MDPI and/or the editor(s). MDPI and/or the editor(s) disclaim responsibility for any injury to people or property resulting from any ideas, methods, instructions or products referred to in the content. |
© 2025 by the authors. Licensee MDPI, Basel, Switzerland. This article is an open access article distributed under the terms and conditions of the Creative Commons Attribution (CC BY) license (https://creativecommons.org/licenses/by/4.0/).
Share and Cite
Chantapakul, W.; Vetchaporn, S.; Auephanwiriyakul, S.; Theera-Umpon, N.; Wongkhuenkaew, R.; Yeesarapat, U.; Chamusri, N.; Wongsapai, M. Detection of Architectural Dysplastic Features from Histopathological Imagery of Oral Mucosa Using Neural Networks. Bioengineering 2025, 12, 216. https://doi.org/10.3390/bioengineering12030216
Chantapakul W, Vetchaporn S, Auephanwiriyakul S, Theera-Umpon N, Wongkhuenkaew R, Yeesarapat U, Chamusri N, Wongsapai M. Detection of Architectural Dysplastic Features from Histopathological Imagery of Oral Mucosa Using Neural Networks. Bioengineering. 2025; 12(3):216. https://doi.org/10.3390/bioengineering12030216
Chicago/Turabian StyleChantapakul, Watchanan, Sirikanlaya Vetchaporn, Sansanee Auephanwiriyakul, Nipon Theera-Umpon, Ritipong Wongkhuenkaew, Uklid Yeesarapat, Nutchapon Chamusri, and Mansuang Wongsapai. 2025. "Detection of Architectural Dysplastic Features from Histopathological Imagery of Oral Mucosa Using Neural Networks" Bioengineering 12, no. 3: 216. https://doi.org/10.3390/bioengineering12030216
APA StyleChantapakul, W., Vetchaporn, S., Auephanwiriyakul, S., Theera-Umpon, N., Wongkhuenkaew, R., Yeesarapat, U., Chamusri, N., & Wongsapai, M. (2025). Detection of Architectural Dysplastic Features from Histopathological Imagery of Oral Mucosa Using Neural Networks. Bioengineering, 12(3), 216. https://doi.org/10.3390/bioengineering12030216

