Assessment of Thermal Osteonecrosis during Bone Drilling Using a Three-Dimensional Finite Element Model
Abstract
1. Introduction
2. Finite Element (FE) Modelling
2.1. Temperature Distribution during Bone Drilling
2.2. Construction of FE Model
2.3. Material Properties and Boundary Conditions
3. Bone Drilling Experiment
4. Results
4.1. Validation of the FE Model
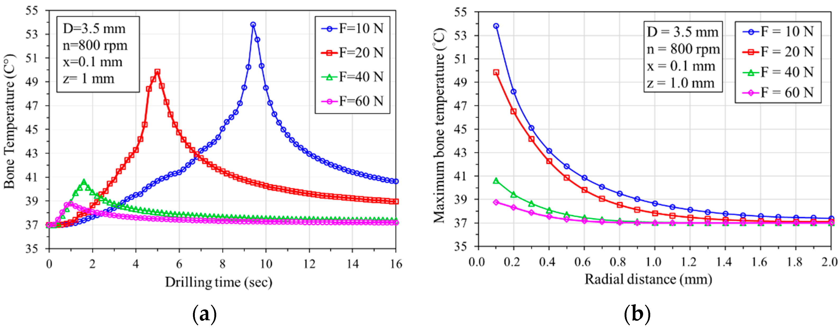
4.2. Maximum Temperature with Radial Distance
4.3. Effects of Feeding Force on Bone Temperature
4.4. Effects of the Predrilled Hole on Bone Temperature
4.5. Effects of Rotational Speed on Thermally Affecting Zone (TAZ)
5. Discussion
6. Conclusions
- Our three-dimensional FE model was experimentally validated and can effectively assess temperature elevation and the thermally affected zone (TAZ) during bone drilling. This is valuable for identifying optimal drilling parameters, designing drill handpieces, and implementing robot-assisted bone drilling.
- Higher rotational speeds may reduce bone temperature and decrease the TAZ; however, the TAZ increases with drill depth, feed force, and drill bit diameter.
- Implementing a two-stage drilling process can minimise frictional heat, thereby reducing temperature during bone drilling. This approach may be considered an effective method for mitigating bone temperature elevation during drilling.
Author Contributions
Funding
Institutional Review Board Statement
Informed Consent Statement
Data Availability Statement
Conflicts of Interest
References
- Bonfield, W.; Li, C.H. The temperature dependence of the deformation of bone. J. Biomech. 1968, 1, 323–329. [Google Scholar] [CrossRef] [PubMed]
- Thompson, H.C. Effect of drilling on bone. J. Oral Surg. 1958, 16, 22–30. [Google Scholar] [PubMed]
- Eriksson, R.A.; Albertson, T. The effect of heat on bone regeneration: An experimental study in the rabbit using the bone growth chamber. J. Oral Maxillofac. Surg. 1984, 42, 705–711. [Google Scholar] [CrossRef] [PubMed]
- Eriksson, A.R.; Albrektsson, T.; Albrektsson, B. Heat caused by drilling cortical bone. Temperature measured in vivo in patients and animals. Acta Orthop. Scand. 1984, 55, 629–631. [Google Scholar] [CrossRef] [PubMed]
- Cordioli, G.; Majzoub, Z. Heat generation during Implant site preparation: An in vitro study. J. Oral Maxillofac. Implants 1997, 12, 186–193. [Google Scholar]
- Matthews, L.S.; Hirsch, C. Temperatures measured in human cortical bone when drilling. J. Bone Jt. Surg. 1972, 54-A, 297–308. [Google Scholar] [CrossRef]
- Brisman, D.L. The effect of speed, pressure, and time on bone temperature during the drilling of implant sites. Int. J. Oral Maxillofac. Implants 1996, 11, 35–37. [Google Scholar] [PubMed]
- Tehemar, S.H. Factors affecting heat generation during implant site preparations: A review of biologic observations and future considerations. Int. J. Oral Maxillofac. Implants 1999, 14, 127–136. [Google Scholar]
- Alevizakos, V.; Mosch, R.; von See, C. Influence of Multiple Used Implant Drills on Their Cutting Performance and Fracture Resistance. Materials 2023, 16, 5271. [Google Scholar] [CrossRef]
- Lundskog, J. Heat and bone tissue. An experimental investigation of the thermal properties of bone and threshold levels for thermal injury. Scand. J. Plast. Reconstr. Surg. 1972, 9, 1–80. [Google Scholar]
- Hillery, M.T.; Shuaib, I. Temperature Effects in the Drilling of Human and Bovine Bone. J. Mater. Process. Technol. 1999, 92–93, 302–308. [Google Scholar] [CrossRef]
- Merchant, M.E. Mechanics of the Metal Cutting Process. J. Appl. Phys. 1945, 16, 267324. [Google Scholar]
- Lee, J.; Rabin, Y.; Ozdoganlar, O.B. A new thermal model for bone drilling wif applications to orthopaedic surgery. Med. Eng. Phys. 2011, 33, 1234–1244. [Google Scholar] [CrossRef] [PubMed]
- Maani, N.; Farhang, K.; Hodaei, M. A Model for the Prediction of Thermal Response of Bone in Surgical Drilling. J. Thermal Sci. Eng. Appl. 2014, 6, 041005. [Google Scholar] [CrossRef]
- Hu, Y.; Yan, Z.; Li, X.; Zhang, C.; Zheng, Q. Prediction model of bone drilling temperature based on heat source method in surgical rehabilitation. CIRP BoMainufacturing Conference 2019. Procedia CIRP 2020, 89, 263–269. [Google Scholar] [CrossRef]
- Davidson, S.R.; James, D.F. Drilling in Bone: Modeling Heat Generation and Temperature Distribution. J. Biomech. Eng. 2003, 125, 305–314. [Google Scholar] [CrossRef] [PubMed]
- Akhbar, M.F.A.; Sulong, A.W. Surgical Drill Bit Design and Thermomechanical Damage in Bone Drilling: A Review. Ann. Biomed. Eng. 2021, 49, 29–56. [Google Scholar] [CrossRef]
- Sezek, S.; Aksakal, B.; Karaca, F. Influence of drill parameters on bone temperature and necrosis: A FEM modelling and in vitro experiments. Comput. Mater. Sci. 2012, 60, 13–18. [Google Scholar] [CrossRef]
- Tuijthof1, G.J.M.; Frühwirt, C.; Kment, C. Influence of tool geometry on drilling performance of cortical and trabecular bone. Med. Eng. Phys. 2013, 35, 1165–1172. [Google Scholar] [CrossRef]
- Pourgiv, S.; Mosavar, A.; Jamshidi, N.; Mohammadi, A. Ultrasonic-assisted drilling of cortical and cancellous bone in a comparative point of view. Heliyon 2024, 10, e26248. [Google Scholar] [CrossRef]
- Pazarcı, Ö.; Gündoğdu, F. Temperature change during orthopedic drilling procedures: An experimental surgical internal fixation simulation study. J. Orthop. 2023, 46, 58–63. [Google Scholar] [CrossRef] [PubMed]
- Lang, Z.; Wang, Q.L.; He, D.; Liu, Y.J.; Tian, W. Study on parameters of robot-assisted ultrasonic drilling on bovine vertebral body. Zhonghua Yi Xue Za Zhi 2022, 102, 370–377. [Google Scholar]
- Karaca, F.; Aksakal, B.; Kom, M. Influence of orthopaedic drilling parameters on temperature and histopathology of bovine tibia: An in vitro study. Med. Eng. Phys. 2011, 33, 1221–1227. [Google Scholar] [CrossRef]
- Jung, O.; Lindner, C.; Pantermehl, S.; Barbeck, M. Heat Development During Medical Drilling: Influencing Factors and Examination Methods—Overview and First Results. In Vivo 2021, 35, 3011–3017. [Google Scholar] [CrossRef]
- Aquilanti, L.; Antognoli, L.; Rappelli, G.; Di Felice, R.; Scalise, L. Heat Generation During Initial Osteotomy for Implant Site Preparation: An In Vitro Measurement Study. J. Maxillofac. Oral Surg. 2023, 22, 313–320. [Google Scholar] [CrossRef]
- Shawary, M.; Misch, C.E.; Weller, N.; Tehemar, S. Heat generation during implant drilling: The significance of motor speed. J. Oral Maxillofac. Surg. 2002, 1160, 1169–1260. [Google Scholar] [CrossRef] [PubMed]
- Lee, J.; Gozen, B.A.; Ozdoganlar, O.B. Modeling and Experimentation of Bone Drilling Forces. J. Biomech. 2012, 45, 1076–1083. [Google Scholar] [CrossRef] [PubMed]
- Strbac, G.D.; Giannis, K.; Unger, E.; Mittlböck, M.; Watzek, G.; Zechner, W. A novel standardized bone model for thermal evaluation of bone osteotomies with various irrigation methods. Clin. Oral Implants Res. 2014, 25, 622–631. [Google Scholar] [CrossRef]
- Delgado-Ruiz, R.A.; Velasco, O.E.; Romanos, G.E.; Gerhke, S.; Newen, I.; Calvo-Guirado, J.L. Slow drilling speeds for single-drill implant bed preparation. Experimental in vitro study. Clin. Oral Investig. 2018, 22, 349–359. [Google Scholar] [CrossRef]
- Salomó-Coll, O.; Auriol-Muerza, B.; Lozano-Carrascal, N.; Hernández-Alfaro, F.; Wang, H.L.; Gargallo-Albiol, J. Influence of bone density, drill diameter, drilling speed, and irrigation on temperature changes during implant osteotomies: An in vitro study. Clin. Oral Investig. 2020, 25, 1047–1053. [Google Scholar] [CrossRef]
- Liaoa, Z.; Axinte, D.A. On monitoring chip formation, penetration depth and cutting malfunctions in bone micro-drilling via acoustic emission. J. Mater. Process Technol. 2016, 229, 82–93. [Google Scholar] [CrossRef]
- Libonati, F.; Vergani, L. Understanding the structure property relationship in cortical bone to design a biomimetic composite. Compos. Struct. 2016, 139, 188–198. [Google Scholar] [CrossRef]
- Gehrke, S.; Bettach, R.; Taschieri, S.; Boukhris, G.; Corbella, S.; Del Fabbro, M. Temperature Changes in Cortical Bone after Implant Site Preparation Using a Single Bur versus Multiple Drilling Steps: An In Vitro Investigation. Clin. Implant Dent. Relat. Res. 2015, 17, 700–707. [Google Scholar] [CrossRef] [PubMed]
- Lee, J.; Chavez, C.; Park, J. Parameters affecting mechanical and thermal responses in bone drilling: A review. J. Biomech. 2018, 71, 4–21. [Google Scholar] [CrossRef] [PubMed]
- Alam, K.; Mitrofanov, A.V.; Silberschmidt, V.V. Thermal analysis of orthogonal cutting of cortical bone using finite element simulations. Int. J. Exp. Comput. Biomech. 2010, 1, 236–251. [Google Scholar] [CrossRef]
- Khurshid, A.; Issam, M.B.; Naseer, A. Cortical bone drilling: An experimental and numerical study. Technol. Health Care 2014, 23, 1–12. [Google Scholar]
- Waqas, A.L.; Kaddour, B.M.; Ian, A. Drilling in cortical bone: A finite element model and experimental investigations. J. Mech. Behav. Biomed. Mater. 2015, 42, 32–42. [Google Scholar]
- Kutay, A.; Korhan, Ö.; Levent, U. An analytical and numerical approach to the determination of thermal necrosis in cortical bone drilling. Int. J. Numer. Method. Biomed. Eng. 2022, 38, e3640. [Google Scholar]
- Chen, Y.C.; Tu, Y.K.; Zhuang, J.Y.; Tsai, Y.J.; Yen, C.Y.; Hsiao, C.K. Evaluation of the parameters affecting bone temperature during drilling using a three-dimensional dynamic elastoplastic finite element model. Med. Biol. Eng. Comput. 2017, 55, 1949–1957. [Google Scholar] [CrossRef]
- Chen, Y.C.; Tu, Y.K.; Tsai, Y.J.; Tsai, Y.S.; Yen, C.Y.; Yang, S.C.; Hsiao, C.K. Assessment of thermal necrosis risk regions for different bone qualities as a function of drilling parameters. Comput. Methods Programs Biomed. 2018, 162, 253–261. [Google Scholar] [CrossRef]
- Prabhu, N.; Shetty, D.K.; Naik, N. Application of finite element analysis to evaluate optimal parameters for bone/tooth drilling to avoid thermal necrosis, cogent. Engineering 2021, 8, 1876582. [Google Scholar]
- Shen, Q.; Lee, T.C.; Lau, W.S. A Finite-Element Analysis of Temperature Distributions in Spade Drilling. J. Mater. Process. Technol. 1997, 66, 112–122. [Google Scholar] [CrossRef]
- Scott, F.M.; Albert, L.S. Thermo-mechanical finite element modelling of the friction drilling process. J. Manuf. Sci. Eng. 2007, 129, 531–538. [Google Scholar]
- Bonoa, M.; Ni, J. The location of the maximum temperature on the cutting edges of a drill. Int. J. Mach. Tools Manuf. 2006, 46, 901–907. [Google Scholar] [CrossRef][Green Version]
- Bachus, K.N.; Rondina, M.T.; Hutchinson, D.T. The effects of drilling force on cortical temperatures and their duration: An in vitro study. Med. Eng. Phys. 2000, 22, 685–691. [Google Scholar] [CrossRef] [PubMed]
- Davidson, S.R.H.; James, D.F. Measurement of thermal conductivity of bovine cortical bone. Med. Eng. Phys. 2000, 22, 741–747. [Google Scholar] [CrossRef] [PubMed]
- Akhbar, M.F.A.; Yusoff, A.R. Comparison of bone temperature elevation in drilling of human, bovine and porcine bone. 17th CIRP Conference on Modelling of Machining Operations. Procedia CIRP 2000, 82, 411–414. [Google Scholar] [CrossRef]
- Inan, M.; Mizrak, B.; Ertem, K.; Harma, A.; Elmali, N.; Ayan, I. The factors affecting thermal necrosis secondary to the application of the Ilizarov transosseous wire. Acta Orthop. Traumatol. Turc. 2005, 39, 70–75. [Google Scholar]
- Mustafa, B.; David, F.J. Measurements of Shaft Speed While Drilling through Bone. J. Oral Maxillofac. Surg. 1995, 53, 1308–1315. [Google Scholar]
- Li, S.; Demirci, E.; Silberschmidt, V.V. Variability and anisotropy of mechanical behavior of cortical bone in tension and compression. J. Mech. Behav. Biomed. Mater. 2013, 21, 109–120. [Google Scholar] [CrossRef]
- Staroveski, T.; Brezak, D.; Udiljak, T. Drill wear monitoring in cortical bone drilling. Med. Eng. Phys. 2015, 37, 560–566. [Google Scholar] [CrossRef] [PubMed]
- Augustin, G.; Davila, S.; Udilljak, T.; Staroveski, T.; Brezak, D.; Babic, S. Temperature changes during cortical bone drilling with a newly designed step drill and an internally cooled drill. Int. Orthop. 2012, 36, 1449–1456. [Google Scholar] [CrossRef] [PubMed]
- Augustin, G.; Davila, S.; Mihoci, K.; Udiljak, T.; Vedrina, D.S.; Antabak, A. Thermal osteonecrosis and bone drilling parameters revisited. Arch. Orthop. Trauma Surg. 2008, 128, 71–77. [Google Scholar] [CrossRef] [PubMed]
- Abdul-Rashid, M.L.; Ta, H.L.; Pancharatnam, D. Assessment of Coolant Delivery Techniques for Irrigation During Bone Drilling: A Cadaveric Observation. Malays. Orthop. J. 2020, 14, 206–207. [Google Scholar]
- Tuce, R.A.; Neagu, M.; Pupazan, V.; Neagu, A.; Arjoca, S. The 3D Printing and Evaluation of Surgical Guides with an Incorporated Irrigation Channel for Dental Implant Placement. Bioengineering 2023, 10, 1168. [Google Scholar] [CrossRef]
- Parvizi, S.; Cameron, A.; Tadakamadla, S.; Figueredo, C.M.S.; Reher, P. A Novel Irrigation System to Reduce Heat Generation during Guided Implantology: An In Vitro Study. J. Clin. Med. 2023, 12, 3944. [Google Scholar] [CrossRef]







| Material Property | Cortical Bone | Drill Bit |
|---|---|---|
| Density (g/cm3) | 1.640 | 7.990 |
| Elastic modulus (MPa) | 16,700 | 193,000 |
| Poisson’s ratio | 0.3 | 0.25 |
| Yielding stress (MPa) | 105 | 290 |
| Ultimate stress (MPa) | 106 | 579 |
| Ultimate strain | 0.008 | 0.003 |
| Specific heat (J/kg·°C) | 1640 | 500 |
| Thermal conductivity (W/m·k) | 0.452 | 16.2 |
Disclaimer/Publisher’s Note: The statements, opinions and data contained in all publications are solely those of the individual author(s) and contributor(s) and not of MDPI and/or the editor(s). MDPI and/or the editor(s) disclaim responsibility for any injury to people or property resulting from any ideas, methods, instructions or products referred to in the content. |
© 2024 by the authors. Licensee MDPI, Basel, Switzerland. This article is an open access article distributed under the terms and conditions of the Creative Commons Attribution (CC BY) license (https://creativecommons.org/licenses/by/4.0/).
Share and Cite
Chen, Y.-C.; Tsai, Y.-J.; Hsiao, H.-Y.; Chiu, Y.-W.; Hong, Y.-Y.; Tu, Y.-K.; Hsiao, C.-K. Assessment of Thermal Osteonecrosis during Bone Drilling Using a Three-Dimensional Finite Element Model. Bioengineering 2024, 11, 592. https://doi.org/10.3390/bioengineering11060592
Chen Y-C, Tsai Y-J, Hsiao H-Y, Chiu Y-W, Hong Y-Y, Tu Y-K, Hsiao C-K. Assessment of Thermal Osteonecrosis during Bone Drilling Using a Three-Dimensional Finite Element Model. Bioengineering. 2024; 11(6):592. https://doi.org/10.3390/bioengineering11060592
Chicago/Turabian StyleChen, Yung-Chuan, Yi-Jung Tsai, Hao-Yuan Hsiao, Yen-Wei Chiu, You-Yao Hong, Yuan-Kun Tu, and Chih-Kun Hsiao. 2024. "Assessment of Thermal Osteonecrosis during Bone Drilling Using a Three-Dimensional Finite Element Model" Bioengineering 11, no. 6: 592. https://doi.org/10.3390/bioengineering11060592
APA StyleChen, Y.-C., Tsai, Y.-J., Hsiao, H.-Y., Chiu, Y.-W., Hong, Y.-Y., Tu, Y.-K., & Hsiao, C.-K. (2024). Assessment of Thermal Osteonecrosis during Bone Drilling Using a Three-Dimensional Finite Element Model. Bioengineering, 11(6), 592. https://doi.org/10.3390/bioengineering11060592

