A Biomechanical Simulation of Forearm Flexion Using the Finite Element Approach
Abstract
:1. Introduction
2. Materials and Methods
2.1. Forearm Finite Element Model
2.2. Constitutive Models of the Muscle, Bone, and Tendon
2.3. Finite Element Discretization
3. Results and Discussion
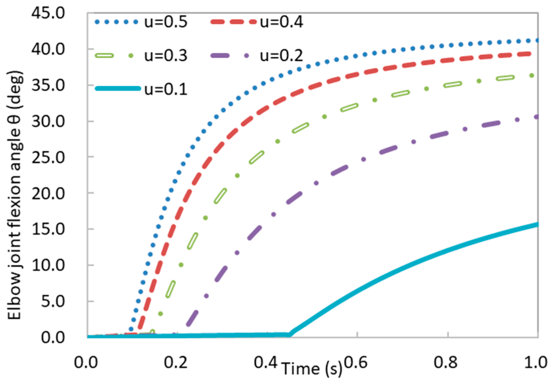
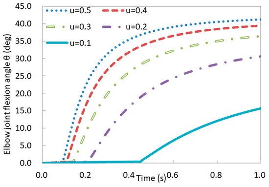
3.1. The Effect of Biceps Brachii Contraction Velocity on Forearm Flexion
3.2. Simulation of Forearm Flexion Movement in Elderly Individuals
3.2.1. Changes in Muscle Fiber Composition
3.2.2. Biceps Brachii Strength Decline
3.2.3. Neurological Dysfunction
3.2.4. Implication of Our Simulations
4. Conclusions
- A larger percentage of fast-twitch muscle fibers and a greater maximum muscle stress value are benefits for forearm flexion movement;
- The fast-twitch muscle fibers’ percentage and maximum muscle stress are linearly correlated with the maximum elbow joint flexion angle;
- The enhancement of neural excitation levels yields advantages in forearm flexion, showcasing a non-linear interplay between neural excitation and the maximum elbow joint flexion angle;
- Moreover, our findings indicated that, when neural excitation levels surpass the threshold, the preeminent factor governing arm flexion movements is the maximal muscle stress. Conversely, in situations where neural excitation levels fall below the threshold, neural excitation takes precedence as the dominant influence on forearm flexion dynamics. Our findings hold significant implications for understanding the mechanisms of forearm motion and guiding rehabilitation training for sarcopenia.
Supplementary Materials
Author Contributions
Funding
Institutional Review Board Statement
Informed Consent Statement
Data Availability Statement
Conflicts of Interest
Appendix A. Validation


References
- Ambrósio, J.; Quental, C.; Pilarczyk, B.; Folgado, J.; Monteiro, J. Multibody biomechanical models of the upper limb. Procedia IUTAM 2011, 2, 4–17. [Google Scholar] [CrossRef]
- Teran, J.; Sifakis, E.; Blemker, S.S.; Ng-Thow-Hing, V.; Lau, C.; Fedkiw, R. Creating and simulating skeletal muscle from the visible human data set. IEEE Trans. Vis. Comput. Graph. 2005, 11, 317–328. [Google Scholar] [CrossRef] [PubMed]
- Dereshgi, H.A.; Serbest, K.; Balik, B.; Sahin, S.N. Stress-strain response of muscle fibers in biceps brachii under dynamic force: An analysis of biceps curl exercise. Politeknik Dergisi 2022, 25, 1777–1783. [Google Scholar] [CrossRef]
- Dereshgi, H.A. The rest-pause biceps curl exercise effect on biceps brachii muscle of women: A study of mechanical responsiveness. IEEE Access 2023, 11, 116967–116978. [Google Scholar] [CrossRef]
- Chen, D.T.; Zeltzer, D. Pump It Up: Computer animation of a biomechanically based model of muscle using the finite element method. In Proceedings of the 19th Annual Conference on Computer Graphics and Interactive Techniques, New York, NY, USA, 1 July 1992. [Google Scholar]
- Blemker, S.S.; Pinsky, P.M.; Delp, S.L. A 3D model of muscle reveals the causes of nonuniform strains in the biceps brachii. J. Biomech. 2005, 38, 657–665. [Google Scholar] [CrossRef]
- Hopkins, P.M. Skeletal muscle physiology. Contin. Educ. Anaesth. Crit. Care Pain 2006, 6, 1–6. [Google Scholar] [CrossRef]
- Greig, C.A.; Jones, D.A. Muscle physiology and contraction. Surgery 2013, 31, 147–154. [Google Scholar]
- Zhang, G.; Chen, X.; Ohgi, J.; Miura, T.; Nakamoto, A.; Matsumura, C.; Sugiura, S.; Hisada, T. Biomechanical simulation of thorax deformation using finite element approach. Biomed. Eng. Online 2016, 15, 18. [Google Scholar] [CrossRef]
- Best, T.M.; McElhaney, J.H.; Garrett, W.E.; Myers, B.S. Axial strain measurements in skeletal muscle at various strain rates. J. Biomech. Eng. 1995, 117, 262–265. [Google Scholar] [CrossRef]
- Jiang, F.; Sakuramoto, I.; Nishida, N.; Onomoto, Y.; Ohgi, J.; Chen, X. The mechanical behavior of bovine spinal cord white matter under various strain rate conditions: Tensile testing and visco-hyperelastic constitutive modeling. Med. Biol. Eng. Comput. 2023, 61, 1381–1394. [Google Scholar] [CrossRef]
- Dao, T.T.; Tho, M.C.H.B. A systematic review of continuum modeling of skeletal muscles: Current trends, limitations, and recommendations. Appl. Bionics. Biomech. 2018, 2018, 7631818. [Google Scholar] [CrossRef] [PubMed]
- Wakeling, J.M.; Febrer-Nafría, M.; De Groote, F. A review of the efforts to develop muscle and musculoskeletal models for biomechanics in the last 50 years. J. Biomech. 2023, 155, 111657. [Google Scholar] [CrossRef] [PubMed]
- Kojic, M.; Mijailovic, S.; Zdravkovic, N. Modelling of muscle behaviour by the finite element method using Hill’s three-element model. Int. J. Numer. Methods. Eng. 1998, 43, 941–953. [Google Scholar] [CrossRef]
- Tang, C.Y.; Tsui, C.P.; Stojanovic, B.; Kojic, M. Finite element modelling of skeletal muscles coupled with fatigue. Int. J. Mech. Sci. 2007, 49, 1179–1191. [Google Scholar] [CrossRef]
- Johansson, T.; Meier, P.; Blickhan, R. A finite-element model for the mechanical analysis of skeletal muscles. J. Theor. Biol. 2000, 206, 131–149. [Google Scholar] [CrossRef] [PubMed]
- Martins, J.A.C.; Pires, E.B.; Salvado, R.; Dinis, P.B. A numerical model of passive and active behavior of skeletal muscles. Comput. Methods Appl. Mech. Eng. 1998, 151, 419–433. [Google Scholar] [CrossRef]
- Martins, J.A.C.; Pato, M.P.M.; Pires, E.B. A finite element model of skeletal muscles. Virtual Phys. Prototyp. 2006, 1, 159–170. [Google Scholar] [CrossRef]
- Tanimoto, Y.; Watanabe, M.; Sun, W.; Tanimoto, K.; Shishikura, K.; Sugiura, Y.; Kusabiraki, T.; Kono, K. Association of sarcopenia with functional decline in community-dwelling elderly subjects in Japan. Geriatr Gerontol Int. 2013, 13, 958–963. [Google Scholar] [CrossRef]
- Marcell, T.J. Sarcopenia: Causes, consequences, and preventions. J. Gerontol. A Biol. Sci. Med. Sci. 2003, 58, M911–M916. [Google Scholar] [CrossRef]
- Yang, J.; Jiang, F.; Yang, M.; Chen, Z. Sarcopenia and nervous system disorders. J. Neurol. 2022, 269, 5787–5797. [Google Scholar] [CrossRef]
- Netter, F.H. Atlas of Human Anatomy, 4th ed.; Elsevier Saunders: Philadelphia, PA, USA, 2006; pp. 431–435. [Google Scholar]
- Zeng, W.; Hume, D.R.; Lu, Y.; Fitzpatrick, C.K.; Babcock, C.; Myers, C.A.; Rullkoetter, P.J.; Shelburne, K.B. Modeling of active skeletal muscles: A 3D continuum approach incorporating multiple muscle interactions. Front. Bioeng. Biotechnol. 2023, 11, 1153692. [Google Scholar] [CrossRef] [PubMed]
- Humphrey, J.D.; Yin, F.C.P. On constitutive relations and finite deformations of passive cardiac tissue: I. A pseudostrain-energy function. J. Biomech. Eng. 1987, 109, 298–304. [Google Scholar] [CrossRef] [PubMed]
- Pandy, M.G.; Zajac, F.E.; Sim, E.; Levine, W.S. An optimal control model for maximum-height human jumping. J. Biomech. 1990, 23, 1185–1198. [Google Scholar] [CrossRef] [PubMed]
- Bosisio, M.R.; Talmant, M.; Skalli, W.; Laugier, P.; Mitton, D. Apparent Young’s modulus of human radius using inverse finite-element method. J. Biomech. 2007, 40, 2022–2028. [Google Scholar] [CrossRef] [PubMed]
- Wakabayashi, I.; Itoi, E.; Sano, H.; Shibuya, Y.; Sashi, R.; Minagawa, H.; Kobayashi, M. Mechanical environment of the supraspinatus tendon: A two-dimensional finite element model analysis. J. Shoulder. Elbow. Surg. 2003, 12, 612–617. [Google Scholar] [CrossRef] [PubMed]
- Zienkiewicz, O.C.; Taylor, R.L.; David, D.F. The Finite Element Method for Solid and Structural Mechanics, 7th ed.; Butterworth-Heinemann: Oxford, UK, 2013; pp. 450–463. [Google Scholar]
- Morrey, B.F. The Elbow and Its Disorders, 4th ed.; Saunders: Philadelphia, PA, USA, 2008; pp. 620–625. [Google Scholar]
- Yang, J.; Lee, J.; Lee, B.; Kim, S.; Shin, D.; Lee, Y.; Lee, J.; Han, D.; Choi, S. The effects of elbow joint angle changes on elbow flexor and extensor muscle strength and activation. J. Phys. Ther. Sci. 2014, 26, 1079–1082. [Google Scholar] [CrossRef] [PubMed]
- Chow, J.W.; Darling, W.G. The maximum shortening velocity of muscle should be scaled with activation. J. Appl. Physiol. 1999, 86, 1025–1031. [Google Scholar] [CrossRef]
- Gülch, R.W. Force-velocity relations in human skeletal muscle. Int. J. Sports Med. 1994, 15, S2–S10. [Google Scholar] [CrossRef]
- Alcazar, J.; Csapo, R.; Ara, I.; Alegre, L.M. On the shape of the force-velocity relationship in skeletal muscles: The linear, the hyperbolic, and the double-hyperbolic. Front. Physiol. 2019, 10, 769. [Google Scholar] [CrossRef]
- Nilwik, R.; Snijders, T.; Leenders, M.; Groen, B.B.; van Kranenburg, J.; Verdijk, L.B.; Van Loon, L.J.C. The decline in skeletal muscle mass with aging is mainly attributed to a reduction in type II muscle fiber size. Exp. Gerontol. 2013, 48, 492–498. [Google Scholar] [CrossRef]
- Walston, J.D. Sarcopenia in older adults. Curr. Opin. Rheumatol. 2012, 24, 623–627. [Google Scholar] [CrossRef] [PubMed]
- Eberstein, A.; Goodgold, J. Slow and fast twitch fibers in human skeletal muscle. Am. J. Physiol. 1968, 215, 535–541. [Google Scholar] [CrossRef] [PubMed]
- Simoneau, J.A.; Bouchard, C. Genetic determinism of fiber type proportion in human skeletal muscle. FASEB J. 1995, 9, 1091–1095. [Google Scholar] [CrossRef] [PubMed]
- Monemi, M.; Eriksson, P.O.; Kadi, F.; Butler-Browne, G.S.; Thornell, L.E. Opposite changes in myosin heavy chain composition of human masseter and biceps brachii muscles during aging. J. Muscle Res. Cell Motil. 1999, 20, 351–361. [Google Scholar] [CrossRef] [PubMed]
- Hakkinen, K.; Newton, R.U.; Gordon, S.E.; Mccormick, M.; Volek, J.S.; Nindl, B.C.; Gotshalk, L.A.; Campbell, W.W.; Evans, W.J.; Hakkinen, A.; et al. Changes in muscle morphology, electromyographic activity, and force production characteristics during progressive strength training in young and older men. J. Gerontol. A Biol. Sci. Med. Sci. 1998, 53, B415–B423. [Google Scholar] [CrossRef]
- Mannion, A.F.; Jakeman, P.M.; Willan, P.L. Skeletal muscle buffer value, fibre type distribution and high intensity exercise performance in man. Exp. Physiol. 1995, 80, 89–101. [Google Scholar] [CrossRef]
- Wilson, J.M.; Loenneke, J.P.; Jo, E.; Wilson, G.J.; Zourdos, M.C.; Kim, J.S. The effects of endurance, strength, and power training on muscle fiber type shifting. J. Strength Cond. Res. 2012, 26, 1724–1729. [Google Scholar] [CrossRef]
- Simoneau, J.A.; Lortie, G.; Boulay, M.R.; Marcotte, M.; Thibault, M.C.; Bonchard, C. Human skeletal muscle fiber type alteration with high-intensity intermittent training. Eur. J. Appl. Physiol. 1985, 54, 250–253. [Google Scholar] [CrossRef]
- Keller, K.; Engelhardt, M. Strength and muscle mass loss with aging process. Age and strength loss. Muscles Ligaments Tendons J. 2013, 3, 346–350. [Google Scholar] [CrossRef]
- Frontera, W.R.; Hughes, V.A.; Fielding, R.A.; Fiatarone, M.A.; Evans, W.J.; Roubenoff, R. Aging of skeletal muscle: A 12-yr longitudinal study. J. Appl. Physiol. 2000, 88, 1321–1326. [Google Scholar] [CrossRef]
- Jung, H.; Yamasaki, M. Association of lower extremity range of motion and muscle strength with physical performance of community-dwelling older women. J. Physiol. Anthropol. 2016, 35, 30. [Google Scholar] [CrossRef] [PubMed]
- Kalapotharakos, V.I.; Smilios, I.; Parlavatzas, A.; Tokmakidis, S.P. The effect of moderate resistance strength training and detraining on muscle strength and power in older men. J. Geriatr. Phys. Ther. 2007, 30, 109–113. [Google Scholar] [CrossRef] [PubMed]
- Seguin, R.; Nelson, M.E. The benefits of strength training for older adults. Am. J. Prev. Med. 2003, 25, 141–149. [Google Scholar] [CrossRef] [PubMed]
- Ratamess, N.A.; Alvar, B.A.; Evetoch, T.E.; Housh, T.J.; Ben Kibler, W.; Kraemer, W.J.; Triplett, N.T. Progression models in resistance training for healthy adults. Med. Sci. Sports. Exerc. 2009, 41, 687–708. [Google Scholar]
- Clark, D.J.; Fielding, R.A. Neuromuscular contributions to age-related weakness. J. Gerontol. A Biol. Sci. Med. Sci. 2012, 67, 41–47. [Google Scholar] [CrossRef] [PubMed]
- Jang, Y.C.; Van Remmen, H. Age-associated alterations of the neuromuscular junction. Exp. Gerontol. 2011, 46, 193–198. [Google Scholar] [CrossRef] [PubMed]
- Clark, L.A.; Manini, T.M.; Wages, N.P.; Simon, J.E.; Russ, D.W.; Clark, B.C. Reduced neural excitability and activation contribute to clinically meaningful weakness in older adults. J. Gerontol. A Biol. Sci. 2021, 76, 692–702. [Google Scholar] [CrossRef]
- Delbono, O. Neural control of aging skeletal muscle. Aging Cell 2003, 2, 21–29. [Google Scholar]
- Jensen, G.L. Inflammation: Roles in aging and sarcopenia. JPEN J. Parenter. Enteral. Nutr. 2008, 32, 656–659. [Google Scholar] [CrossRef]
- Kwon, Y.N.; Yoon, S.S. Sarcopenia: Neurological point of view. J. Bone. Metab. 2017, 24, 83–89. [Google Scholar] [CrossRef]
- McNeil, C.J.; Doherty, T.J.; Stashuk, D.W.; Rice, C.L. Motor unit number estimates in the tibialis anterior muscle of young, old, and very old men. Muscle Nerve 2005, 31, 461–467. [Google Scholar] [CrossRef] [PubMed]
- Häkkinen, K.; Kallinen, M.; Linnamo, V.; Pastinen, U.M.; Newton, R.U.; Kraemer, W.J. Neuromuscular adaptations during bilateral versus unilateral strength training in middle-aged and elderly men and women. Acta Physiol. Scand. 1996, 158, 77–88. [Google Scholar] [CrossRef] [PubMed]
- Häkkinen, K.; Kallinen, M.; Izquierdo, M.; Jokelainen, K.; Lassila, H.; Mälkiä, E.; Kraemer, W.J.; Newton, R.U.; Alen, M. Changes in agonist-antagonist EMG, muscle CSA, and force during strength training in middle-aged and older people. J. Appl. Physiol. 1998, 84, 1341–1349. [Google Scholar] [CrossRef] [PubMed]














| Case | Young | Elderly I | Elderly II |
|---|---|---|---|
| Fast-twitch [%] | 58 | 51 | 44 |
| Slow-twitch [%] | 42 | 49 | 56 |
| Muscle Fiber Composition Change | Biceps Brachii Strength Decline | Neurological Dysfunction (u > 0.2) | Neurological Dysfunction (u < 0.2) | |
|---|---|---|---|---|
| Reduced angle (deg) | 2.84 | 3.59 | 1.76 | 7.44 |
Disclaimer/Publisher’s Note: The statements, opinions and data contained in all publications are solely those of the individual author(s) and contributor(s) and not of MDPI and/or the editor(s). MDPI and/or the editor(s) disclaim responsibility for any injury to people or property resulting from any ideas, methods, instructions or products referred to in the content. |
© 2023 by the authors. Licensee MDPI, Basel, Switzerland. This article is an open access article distributed under the terms and conditions of the Creative Commons Attribution (CC BY) license (https://creativecommons.org/licenses/by/4.0/).
Share and Cite
Liang, C.; Jiang, F.; Kawaguchi, D.; Chen, X. A Biomechanical Simulation of Forearm Flexion Using the Finite Element Approach. Bioengineering 2024, 11, 23. https://doi.org/10.3390/bioengineering11010023
Liang C, Jiang F, Kawaguchi D, Chen X. A Biomechanical Simulation of Forearm Flexion Using the Finite Element Approach. Bioengineering. 2024; 11(1):23. https://doi.org/10.3390/bioengineering11010023
Chicago/Turabian StyleLiang, Chenyang, Fei Jiang, Daisuke Kawaguchi, and Xian Chen. 2024. "A Biomechanical Simulation of Forearm Flexion Using the Finite Element Approach" Bioengineering 11, no. 1: 23. https://doi.org/10.3390/bioengineering11010023
APA StyleLiang, C., Jiang, F., Kawaguchi, D., & Chen, X. (2024). A Biomechanical Simulation of Forearm Flexion Using the Finite Element Approach. Bioengineering, 11(1), 23. https://doi.org/10.3390/bioengineering11010023

