Implementation of a Pilot-Scale Biotrickling Filtration Process for Biogas Desulfurization under Anoxic Conditions Using Agricultural Digestate as Trickling Liquid
Abstract
1. Introduction
2. Materials and Methods
2.1. Process Performance Assessment
2.2. Pilot Plant Operation
2.3. Microbial Analysis
2.4. Nutrient Medium and Culture
3. Results and Discussion
3.1. Impact of Operating Conditions on RE
3.2. Impact of IL and pH on EC, RE and SO42−
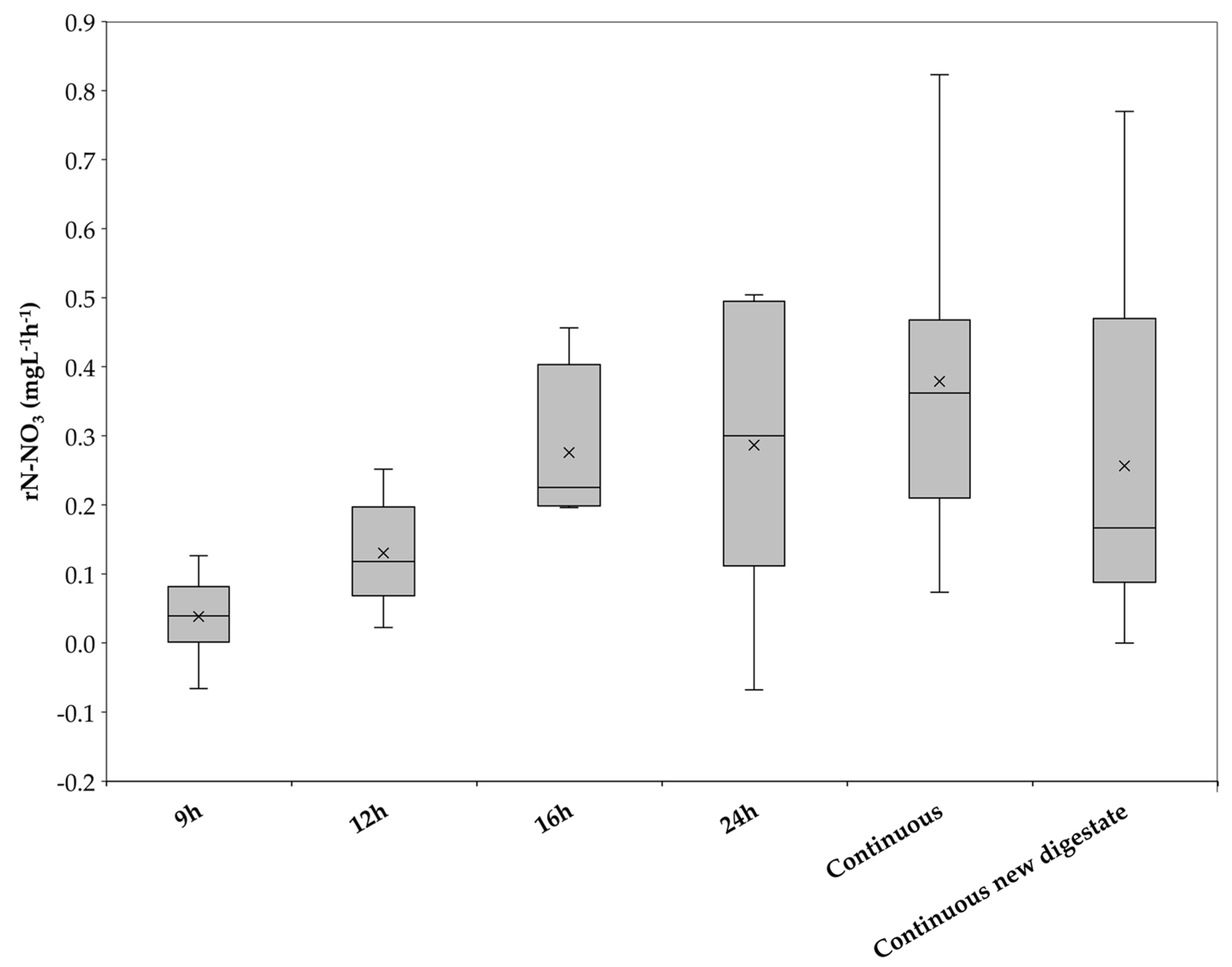
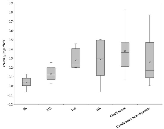
3.3. Impact of Operating Conditions on Nitrate Depletion Rate
3.4. Impact of the Microbial Community on the Overall BTF Performance
4. Conclusions
Author Contributions
Funding
Institutional Review Board Statement
Informed Consent Statement
Data Availability Statement
Acknowledgments
Conflicts of Interest
References
- Fachagentur Nachwachsende Rohstoffe e.V. (FNR). Festbrennstoffe Biokraftstoffe Biogas. In Basisdaten Bioenergie Deutschland 2019; Fachagentur Nachwachsende Rohstoffe e.V. (FNR): Gülzow-Prüzen, Germany, 2019. [Google Scholar]
- Das, J.; Nolan, S.; Lens, P.N. Simultaneous removal of H2S and NH3 from raw biogas in hollow fibre membrane bioreactors. Environ. Technol. Innov. 2022, 28, 102777. [Google Scholar] [CrossRef]
- Fachagentur Nachwachsende Rohstoffe e. V. (FNR). Leitfaden Biogasaufbereitung und -Einspeisung; Studie; Diese Arbeit Wurde im Rahmen des Projektes: “Evaluierung der Möglichkeiten zur Einspeisung von Biogas in das Erdgasnetz” (FKZ 22021103) Erstellt; Fachagentur Nachwachsende Rohstoffe e.V. (FNR): Gülzow-Prüzen, Germany, 2014. [Google Scholar]
- Schobert, H. Chemistry of Fossil Fuels and Biofuels; Cambridge University Press: Cambridge, UK, 2013. [Google Scholar]
- Kapłan, M.; Klimek, K.; Syrotyuk, S.; Konieczny, R.; Jura, B.; Smoliński, A.; Szymenderski, J.; Budnik, K.; Anders, D.; Dybek, B.; et al. Raw Biogas Desulphurization Using the Adsorption-Absorption Technique for a Pilot Production of Agricultural Biogas from Pig Slurry in Poland. Energies 2021, 14, 5929. [Google Scholar] [CrossRef]
- Ramírez, M.; Gómez, J.M.; Cantero, D. (Eds.) Energy Science and Technology: Hydrogen & Other Technologies. Biogas: Sources, Purification and Uses; Studium Press LLC: Houston, TX, USA, 2015; Volume 11. [Google Scholar]
- Gantina, T.M.; Iriani, P.; Maridjo; Wachjoe, C.K. Biogas purification using water scrubber with variations of water flow rate and biogas pressure. J. Phys. Conf. Ser. 2020, 1450, 012011. [Google Scholar] [CrossRef]
- Montebello, A.M.; Fernández, M.; Almenglo, F.; Ramírez, M.; Cantero, D.; Baeza, M.; Gabriel, D. Simultaneous methylmercaptan and hydrogen sulfide removal in the desulfurization of biogas in aerobic and anoxic biotrickling filters. Chem. Eng. J. 2012, 200–202, 237–246. [Google Scholar] [CrossRef]
- Fachagentur Nachwachsende Rohstoffe e. V. (FNR). Biomethan; Fachagentur Nachwachsende Rohstoffe e.V. (FNR): Gülzow-Prüzen, Germany, 2012. [Google Scholar]
- Paques Technology, B.V. Thiopaq®. Available online: https://de.paques.nl/produkte/featured/thiopaq. (accessed on 23 January 2023).
- School of Chemical and Environmental Engineering, Technical University of Crete, Greece (Ed.) Long-term operation of a pilot bioscrubber for landfill biogas desulfurization. In Proceedings of the 1st International Conference on Sustainable Chemical and Environmental Engineering, Rethymno, Crete, Greece, 31 August–4 September 2022. [Google Scholar]
- VDI-Verein Deutscher Ingenieure: Biological Waste Gas Purification; Bioscrubbers; Beuth Verlag GmbH: Berlin, Germany, 2011; VDI 3478 Part 1.
- Dumont, E. H2S removal from biogas using bioreactors: A review. Int. J. Energy Environ. 2015, 6, 479–498. [Google Scholar]
- Ramírez, M. Advances in Biogas Desulfurization; ChemEngineering: Basel, Switzerland, 2020. [Google Scholar] [CrossRef]
- Valdebenito-Rolack, E.; Díaz, R.; Marín, F.; Gómez, D.; Hansen, F. Markers for the Comparison of the Performances of Anoxic Biotrickling Filters in Biogas Desulphurisation: A Critical Review. Processes 2021, 9, 567. [Google Scholar] [CrossRef]
- González-Cortés, J.J.; Almenglo, F.; Ramírez, M.; Cantero, D. Simultaneous removal of ammonium from landfill leachate and hydrogen sulfide from biogas using a novel two-stage oxic-anoxic system. Sci. Total Environ. 2021, 750, 141664. [Google Scholar] [CrossRef]
- Zeng, Y.; Luo, Y.; Huan, C.; Shuai, Y.; Liu, Y.; Xu, L.; Ji, G.; Yan, Z. Anoxic biodesulfurization using biogas digestion slurry in biotrickling filters. J. Clean. Prod. 2019, 224, 88–99. [Google Scholar] [CrossRef]
- Khanongnuch, R.; Di Capua, F.; Lakaniemi, A.-M.; Rene, E.R.; Lens, P.N.L. H2S removal and microbial community composition in an anoxic biotrickling filter under autotrophic and mixotrophic conditions. J. Hazard. Mater. 2019, 367, 397–406. [Google Scholar] [CrossRef]
- Cano, P.I.; Almenglo, F.; Ramírez, M.; Cantero, D. Integration of a nitrification bioreactor and an anoxic biotrickling filter for simultaneous ammonium-rich water treatment and biogas desulfurization. Chemosphere 2021, 284, 131358. [Google Scholar] [CrossRef]
- Sharma, P.; Meyyazhagan, A.; Easwaran, M.; Sharma, M.M.M.; Mehta, S.; Pandey, V.; Liu, W.-C.; Kamyab, H.; Balasubramanian, B.; Baskaran, R.; et al. Hydrogen Sulfide: A new warrior in assisting seed germination during adverse environmental conditions. Plant Growth Regul. 2022, 98, 401–420. [Google Scholar] [CrossRef]
- Fernández, M.; Ramírez, M.; Gómez, J.M.; Cantero, D. Biogas biodesulfurization in an anoxic biotrickling filter packed with open-pore polyurethane foam. J. Hazard. Mater. 2014, 264, 529–535. [Google Scholar] [CrossRef] [PubMed]
- Caporaso, J.G.; Kuczynski, J.; Stombaugh, J.; Bittinger, K.; Bushman, F.D.; Costello, E.K.; Fierer, N.; Peña, A.G.; Goodrich, J.K.; Gordon, J.I.; et al. QIIME allows analysis of high-throughput community sequencing data. Nat. Methods 2010, 7, 335–336. [Google Scholar] [CrossRef] [PubMed]
- Callahan, B.J.; McMurdie, P.J.; Rosen, M.J.; Han, A.W.; Johnson, A.J.A.; Holmes, S.P. DADA2: High-resolution sample inference from Illumina amplicon data. Nat. Methods 2016, 13, 581–583. [Google Scholar] [CrossRef]
- Ondov, B.D.; Bergman, N.H.; Phillippy, A.M. Krona: Interactive Metagenomic Visualization in a Web Browser. In Encyclopedia of Metagenomics; Springer: Boston, MA, USA, 2015; pp. 339–346. [Google Scholar] [CrossRef]
- Sempere, F.; Sánchez, C.; Baeza-Serrano, Á.; Montoya, T. Anoxic desulphurisation of biogas from full-scale anaerobic digesters in suspended biomass bioreactors valorising previously nitrified digestate centrate. J. Hazard. Mater. 2022, 439, 129641. [Google Scholar] [CrossRef] [PubMed]
- Azizi, M.; Biard, P.-F.; Couvert, A.; Ben Amor, M. Simulation of hydrogen sulphide absorption in alkaline solution using a packed column. Environ. Technol. 2014, 35, 3105–3115. [Google Scholar] [CrossRef] [PubMed]
- Baerns, M. Technische Chemie; Wiley-VCH: Weinheim, Germany, 2006. [Google Scholar]
- Zhang, Y.; Oshita, K.; Takaoka, M.; Kawasaki, Y.; Minami, D.; Inoue, G.; Tanaka, T. Effect of pH on the performance of an acidic biotrickling filter for simultaneous removal of H2S and siloxane from biogas. Water Sci. Technol. 2021, 83, 1511–1521. [Google Scholar] [CrossRef] [PubMed]
- Almenglo, F.; Ramírez, M.; Gómez, J.M.; Cantero, D. Operational conditions for start-up and nitrate-feeding in an anoxic biotrickling filtration process at pilot scale. Chem. Eng. J. 2016, 285, 83–91. [Google Scholar] [CrossRef]
- Yuri, A.W. Shardt, Heiko Weiß: Statistics for Chemical and Process Engineers; Springer: Berlin, Germany, 2021. [Google Scholar]
- Poser, M.; Silva, L.R.D.E.; Peu, P.; Dumont, É.; Couvert, A. A Two-Stage Biogas Desulfurization Process Using Cellular Concrete Filtration and an Anoxic Biotrickling Filter. Energies 2022, 15, 3762. [Google Scholar] [CrossRef]
- Pokorna, D.; Maca, J.; Zabranska, J. Combination of Hydrogen Sulphide Removal from Biogas and Nitrogen Removal from Wastewater. J. Residuals Sci. Technol. 2013, 10, 41–46. [Google Scholar]
- López, J.C.; Porca, E.; Collins, G.; Pérez, R.; Rodríguez-Alija, A.; Muñoz, R.; Quijano, G. Biogas-based denitrification in a biotrickling filter: Influence of nitrate concentration and hydrogen sulfide. Biotechnol. Bioeng. 2017, 114, 665–673. [Google Scholar] [CrossRef] [PubMed]
- Soreanu, G.; Béland, M.; Falletta, P.; Edmonson, K.; Seto, P. Laboratory pilot scale study for H2S removal from biogas in an anoxic biotrickling filter. Water Sci. Technol J. Int. Assoc. Water Pollut. Res. 2008, 57, 201–207. [Google Scholar] [CrossRef] [PubMed]
- Bergey, D.H.; Brown, D.R.; Hedlund, B.P.; Krieg, N.R.; Ludwig, W.; Paster, B.J.; Staley, J.T.; Ward, N.L.; Whitman, W.B. Bergey’s Manual of Systematic Bacteriology. Volume 4: The Bacteroidetes, Spirochaetes, Tenericutes (Mollicutes), Acidobacteria, Fibrobacteres, Fusobacteria, Dictyoglomi, Gemmatimonadetes, Lentisphaerae, Verrucomicrobia, Chlamydiae, and Planctomycetes; Springer: New York, NY, USA, 2010. [Google Scholar]
- Zhang, M.; Wang, X.; Zhang, D.; Zhao, G.; Zhou, B.; Wang, D.; Wu, Z.; Yan, C.; Liang, J.; Zhou, L. Food waste hydrolysate as a carbon source to improve nitrogen removal performance of high ammonium and high salt wastewater in a sequencing batch reactor. Bioresour. Technol. 2022, 349, 126855. [Google Scholar] [CrossRef] [PubMed]
- Xie, T.; Liu, X.; Xu, Y.; Bryson, S.; Zhao, L.; Huang, K.; Huang, S.; Li, X.; Yang, Q.; Dong, H.; et al. Coupling methanotrophic denitrification to anammox in a moving bed biofilm reactor for nitrogen removal under hypoxic conditions. Sci. Total Environ. 2023, 856 Pt 1, 158795. [Google Scholar] [CrossRef]
- Brito, J.; Valle, A.; Almenglo, F.; Ramírez, M.; Cantero, D. Characterization of eubacterial communities by Denaturing Gradient Gel Electrophoresis (DGGE) and Next Generation Sequencing (NGS) in a desulfurization. New Biotechnol. 2020, 57, 67–75. [Google Scholar] [CrossRef]
- Zeng, Y.; Xiao, L.; Zhang, X.; Zhou, J.; Ji, G.; Schroeder, S.; Liu, G.; Yan, Z. Biogas desulfurization under anoxic conditions using synthetic wastewater and biogas slurry. Int. Biodeterior. Biodegrad. 2018, 133, 247–255. [Google Scholar] [CrossRef]
- Cabrol, L.; Thalasso, F.; Gandois, L.; Sepulveda-Jauregui, A.; Martinez-Cruz, K.; Teisserenc, R.; Tananaev, N.; Tveit, A.; Svenning, M.M.; Barret, M. Anaerobic oxidation of methane and associated microbiome in anoxic water of Northwestern Siberian lakes. Sci. Total Environ. 2020, 736, 139588. [Google Scholar] [CrossRef]
- Yamada, T.; Sekiguchi, Y. Anaerolineaceae. In Bergey’s Manual of Systematics of Archaea and Bacteria; Whitman, W.B., Ed.; Wiley: Hoboken, NJ, USA, 2015; pp. 1–5. [Google Scholar]
- Xu, J.; Fan, Y.; Li, Z. Effect of pH on elemental sulfur conversion and microbial communities by autotrophic simultaneous desulfurization and denitrification. Environ. Technol. 2016, 37, 3014–3023. [Google Scholar] [CrossRef]
- Zhao, R.; Liu, J.; Feng, J.; Li, X.; Li, B. Microbial community composition and metabolic functions in landfill leachate from different landfills of China. Sci. Total Environ. 2021, 767, 144861. [Google Scholar] [CrossRef]








| Time [d] | Experiment Duration [hours] | KNO3 Dosage [g] | EBRT [min] | TLV [m/h] | H2Sinlet [ppmV] | pH |
|---|---|---|---|---|---|---|
| 1–36 | 9 | 14–50 | 9.2–18.1 | 1.3–1.6 | 19–136 | 6.5–7.2 |
| 37–52 | 12 | 50 | 8.2–13.4 | 1.4 | 51–444 | 6.7–6.8 |
| 53–58 | 16 | 50 | 8.91–9.2 | 1.3–1.4 | 171–160 | 6.7–6.9 |
| 59–71 | 24 | 50 | 8.8–11.13 | 1.2–1.3 | 124–300 | 6.7–6.8 |
| 72–98 | continuous | 50–150 | 8.8 | 0.7–3.4 | 63–600 | 4.6–7 |
| 99–149 | continuous * | 13–500 | 8.8–11.4 | 1.4–5.8 | 250–500 | 5.9–7.5 |
| Dosing Days [d] | Experiment Duration [hours] | KNO3 Amount [g] |
|---|---|---|
| 2 | 9 | 17.5 |
| 16, 23, 29, 36 | 9 | 50 |
| 39, 43, 46, 50 | 12 | 50 |
| 51, 52 | 12 | 40, 26 |
| 53, 57, 58 | 16 | 22, 100, 72 |
| 59, 64, 65, 66, 67 | 24 | 30, 30, 50, 10, 110 |
| 72, 80, 82, 85, 88, 89, 92, 95, 96 | Continuously | 150, 100, 30, 123, 100, 140, 380, 50, 50 |
| 99, 110, 117, 120, 122, 124, 127, 131, 135, 138, 142, 144, 149 | Continuously * | 50, 500, 50, 50, 200, 50, 700, 500, 500, 500, 500, 250, 700 |
| Parameter | Concentration (mgL−1) |
|---|---|
| pH | 7.95 |
| Dry mass (%) | 0.54 |
| Organic matter/ residue on ignition | 2300 |
| N-NH4+ | 410 |
| NO3− | 18.1 |
| N total | 490 |
| P2O5 | 110 |
| K2O | 800 |
| MgO | 50 |
| CaO | 230 |
| Na2O | 470 |
| S | 30 |
| Zn | 0.8 |
| B | 0.15 |
| Fe | 12.5 |
| Cu | 0.12 |
| Mn | 1.4 |
| Mo | 0.07 |
| Co | 0.06 |
| rN-NO3- [mg*L−1*h−1] | IL [gS-H2Sm−3h−1] | pH | Initial N-NO3− Concentration [mgL−1] | Substrate Dosage | |
|---|---|---|---|---|---|
| [18] | 2.26 * | 3.5–5.6 | 7 | 94.5 | Continuous |
| [32] ** | 0.52 | - | - | 50 | Continuous |
| [21] | 6.41 | 202.5* | 6.8–7 | 430 | Continuous |
| [29] * | 39.1 | 117.7 | 6.2–7.8 | 2.300 | Continuous |
| [33] *** | 46.5 * | 7.9 | 7 | 48 | Continuous |
| This work’s max. value | 0.82 | 2.41 | 6.3 | 18.5 | Manual |
Disclaimer/Publisher’s Note: The statements, opinions and data contained in all publications are solely those of the individual author(s) and contributor(s) and not of MDPI and/or the editor(s). MDPI and/or the editor(s) disclaim responsibility for any injury to people or property resulting from any ideas, methods, instructions or products referred to in the content. |
© 2023 by the authors. Licensee MDPI, Basel, Switzerland. This article is an open access article distributed under the terms and conditions of the Creative Commons Attribution (CC BY) license (https://creativecommons.org/licenses/by/4.0/).
Share and Cite
Lenis, A.; Ramírez, M.; González-Cortés, J.J.; Ooms, K.; Pinnekamp, J. Implementation of a Pilot-Scale Biotrickling Filtration Process for Biogas Desulfurization under Anoxic Conditions Using Agricultural Digestate as Trickling Liquid. Bioengineering 2023, 10, 160. https://doi.org/10.3390/bioengineering10020160
Lenis A, Ramírez M, González-Cortés JJ, Ooms K, Pinnekamp J. Implementation of a Pilot-Scale Biotrickling Filtration Process for Biogas Desulfurization under Anoxic Conditions Using Agricultural Digestate as Trickling Liquid. Bioengineering. 2023; 10(2):160. https://doi.org/10.3390/bioengineering10020160
Chicago/Turabian StyleLenis, Alejandra, Martín Ramírez, José Joaquín González-Cortés, Kristoffer Ooms, and Johannes Pinnekamp. 2023. "Implementation of a Pilot-Scale Biotrickling Filtration Process for Biogas Desulfurization under Anoxic Conditions Using Agricultural Digestate as Trickling Liquid" Bioengineering 10, no. 2: 160. https://doi.org/10.3390/bioengineering10020160
APA StyleLenis, A., Ramírez, M., González-Cortés, J. J., Ooms, K., & Pinnekamp, J. (2023). Implementation of a Pilot-Scale Biotrickling Filtration Process for Biogas Desulfurization under Anoxic Conditions Using Agricultural Digestate as Trickling Liquid. Bioengineering, 10(2), 160. https://doi.org/10.3390/bioengineering10020160

