Rainfall-Runoff Modeling Using the HEC-HMS Model for the Al-Adhaim River Catchment, Northern Iraq
Abstract
1. Introduction
2. Methodology
2.1. Description of Study Area
2.2. Daily Rainfall Data
2.3. HEC-GeoHMS
2.4. HEC-HMS Project Set-Up
Model Input Parameters
3. Results and Discussion
3.1. Digital Elevation Model (DEM)
3.2. HEC-GeoHMS Development
3.2.1. Soil Map and Land Use/Cover Shape Files
3.2.2. Curve Number
3.3. Parameters Estimation
3.3.1. Loss Model—Soil Conservation Service Curve Number
3.3.2. Transform Model—Soil Conservation Service Unit Hydrograph Method
3.3.3. Routing—Muskingum Method
3.4. Model Calibration
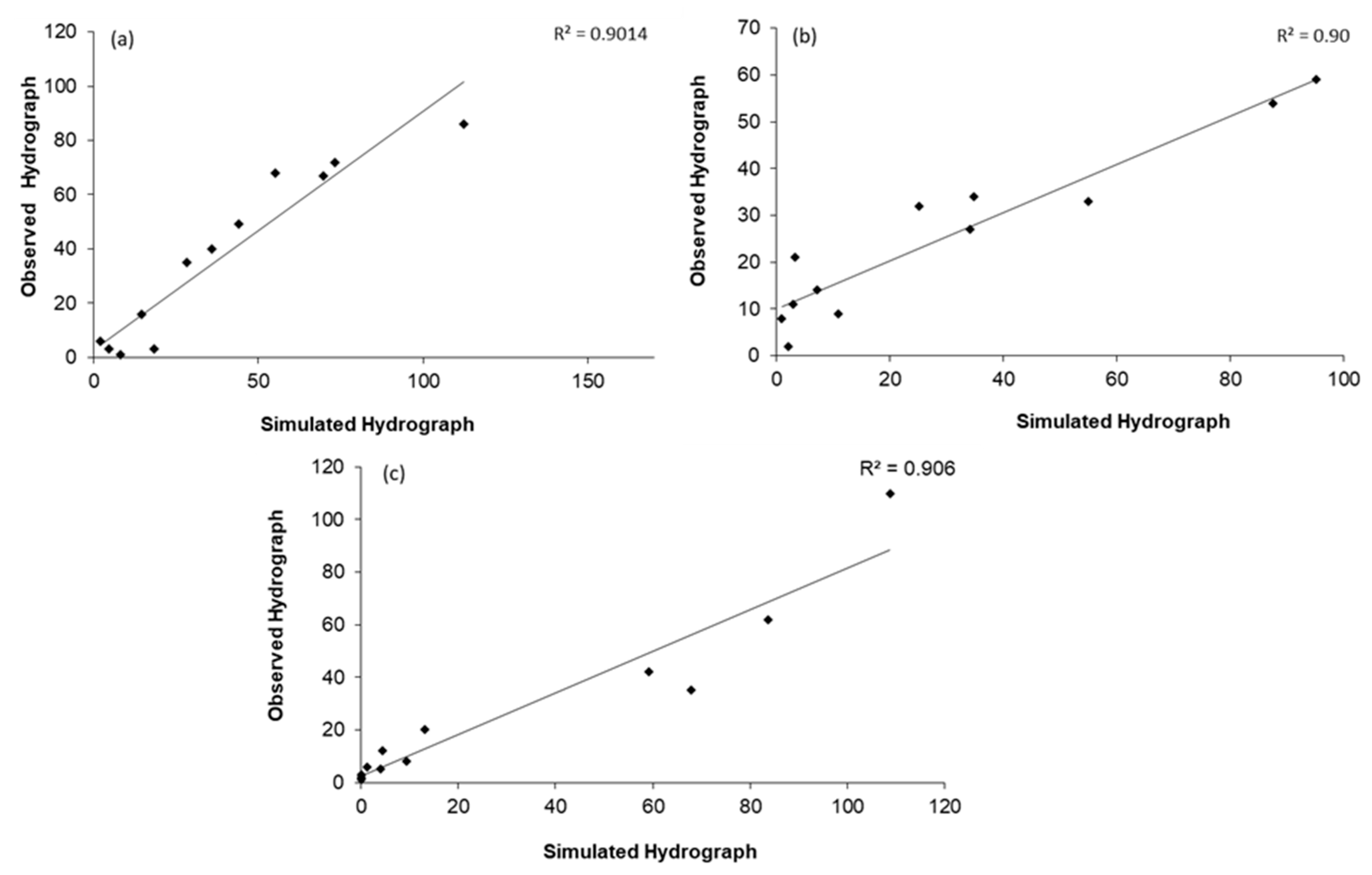
3.5. Comparison of the Simulated and Observed Hydrograph and Validation of Model
3.6. Reservoir Modelling
4. Conclusions and Recommendations
- The HEC-HMS model can be used to obtain satisfactory simulated hydrological models and is a valuable tool for the management of dam storage by forecasting rainfall amounts.
- The simulation results of runoff discharge peaks are slightly different compared with the observed data.
- In the summer season with almost no precipitation, there was no flow and the pool elevation approached minimum limits. On the contrary, during the period of precipitation, the storage capacity approached the peak inflow of 742.4 m3/s for the years 2015–2016, which corresponds to maximum daily rainfall of 39.91 mm.
- The area of interest does not have an available discharge station other than the one located near the outlet. Discharge stations could provide real observed discharge data that can be used to validate the modeling results. Therefore, the provision of an upstream discharge station is vital.
- The development of serious water policy and planning strategies in accordance with the results obtained from this study could reduce the probability of floods and may help in the management and control of the dam outlet.
- During modeling using HEC-HMS, it was noticed that the main parameters which affect runoff quantities were the curve number and then initial abstraction.
- HEC-HMS model results were good for flood forecasting concerning the Al-Adhaim catchment. Data can be exported to simulate a 2-dimensional flood inundation map using a hydraulic model such as HEC-RAS. They can also be used for forecasting the rainfall using a suitable program to predict flooding for long-time periods.
Author Contributions
Funding
Institutional Review Board Statement
Informed Consent Statement
Data Availability Statement
Conflicts of Interest
References
- Al-Ansari, N. Management of water resources in Iraq: Perspectives and prognoses. Engineering 2013, 5, 667–684. [Google Scholar] [CrossRef]
- Abbas, N.; Wasimia, S.A.; Al-Ansari, N. Assessment of climate change impacts on water resources of Al-Adhaim, Iraq using SWAT model. Engineering 2016, 8, 716–732. [Google Scholar] [CrossRef]
- Rahi, K.A.; Al-Madhhachi, A.-S.T.; Al-Hussaini, S.N. Assessment of Surface Water Resources of Eastern Iraq. Hydrology 2019, 6, 57. [Google Scholar] [CrossRef]
- Jia, Y.; Zhao, H.; Niu, C.; Jiang, Y.; Gan, H.; Xing, Z.; Zhao, X.; Zhao, Z. A WebGIS-based system for rainfall-runoff prediction and real-time water resources assessment for Beijing. Comput. Geosci. 2009, 35, 1517–1528. [Google Scholar] [CrossRef]
- Halwatura, D.; Najim, M. Application of the HEC-HMS model for runoff simulation in a tropical catchment. Environ. Modell. Softw. 2013, 46, 155–162. [Google Scholar] [CrossRef]
- Hoogestraat, G.K. Flood hydrology and Dam-Breach Hydraulic Analyses of Four Reservoirs in the Black Hills, South Dakota; U.S. Geological Survey Scientific Investigations Report 2011–5011; U.S. Geological Survey: Reston, VA, USA, 2011; p. 37.
- Oleyiblo, J.O.; Li, Z.-j. Application of HEC-HMS for flood forecasting in Misai and Wan’an catchments in China. Water Sci. Eng. 2010, 3, 14–22. [Google Scholar]
- Saeedrashed, Y.S. Hydrologic and Hydraulic Modelling of the Greater Zab River-Basin for an Effective Management of Water Resources in the Kurdistan Region of Iraq Using DEM and Raster Images. In Environmental Remote Sensing and GIS in Iraq; Springer: Cham, Switzerland, 2020; pp. 415–446. [Google Scholar]
- Martin, O.; Rugumayo, A.; Ovcharovichova, J. Application of HEC HMS/RAS and GIS tools in flood modeling: A case study for river Sironko–Uganda. J. Eng. Des. Technol. 2012, 1, 19–31. [Google Scholar]
- Tassew, B.G.; Belete, M.A.; Miegel, K. Application of HEC-HMS model for flow simulation in the Lake Tana basin: The case of Gilgel Abay catchment, upper Blue Nile basin, Ethiopia. Hydrology 2019, 6, 21. [Google Scholar] [CrossRef]
- Tahmasbinejad, H.; Feyzolahpour, M.; Mumipour, M.; Zakerhoseini, F. Rainfall-runoff Simulation and Modeling of Karon River Using HEC-RAS and HEC-HMS Models, Izeh District, Iran. J. Appl. Sci. 2012, 12, 1900–1908. [Google Scholar] [CrossRef]
- Radmanesh, F.; Hemat, J.P.; Behnia, A.; Khond, A.; Mohamad, B.A. Calibration and assessment of HEC-HMS model in Roodzard watershed. In Proceedings of the 17th International Conference of River Engineering, University of Shahid Chamran, Ahva, Iran, 26–28 February 2020. [Google Scholar]
- Olayinka, D.; Irivbogbe, H. Estimation of Hydrological Outputs using HEC-HMS and GIS. N. J. Environ. Sci. Technol. 2017, 1, 390–402. [Google Scholar] [CrossRef]
- Barbosa, J.; Fernandes, A.; Lima, A. The influence of spatial discretization on HEC-HMS modelling: A case study. Int. J. Hydrol. 2019, 3, 442–449. [Google Scholar]
- Salman, A.H.; Habib, Z.H.; Rahman, A.A. Environmental impacts of water dams in Iraq. J. Geog. Univ. Kufa 2014, 20, 329–364. [Google Scholar]
- Jasim, S.M. The natural constituents of the Great Dam Lake and its impact on developing tourism demand. J. Admin. Econ. 2008, 71, 207–231. [Google Scholar]
- The Central Statistical Organization of Iraq/Environment Statistics/Bagdad. Available online: http://cosit.gov.iq/en/ (accessed on 5 August 2020).
- UN-ESCWA. Inventory of shared water resources in Western Asia. In United Nations Economic and Social Commission for Western Asia; Federal Institute for Geosciences and Natural Resources: Beirut, Lebanon, 2013. [Google Scholar]
- USGS. Available online: https://earthexplorer.usgs.gov (accessed on 5 August 2020).
- Mhaina, A.S. Modeling suspended sediment load using SWAT model in data scarce area-Iraq (Al-Adhaim Watershed as a Case Study). Master’s Thesis, University of Technology, Baghdad, Iraq, 2017. [Google Scholar]
- FAO. State of Food and Agriculture 2012: Investing in Agriculture for a Better Future; FAO: Rome, Italy, 2012. [Google Scholar]
- Manoj, N.; Kurian, C.; Sudheer, K. Development of a flood forecasting model using HEC-HMS. In Proceedings of the National Conference on Water Resources & Flood Management, National Conference on Water Resources & Flood Management with special reference to Flood Modelling, Sardar Vallabhbhai National Institute of Technology, Surat, India, 14–15 October 2016; pp. 14–15. [Google Scholar]
- McCarthy, G.T. The unit hydrograph and flood routing. In Proceedings of the Conference of North Atlantic Division, US Army Corps of Engineers, New London, CT, USA, 1 January 1939; pp. 608–609. [Google Scholar]
- Din, S.U.; Khan, N.M.; Israr, M.; Nabi, H.; Khan, M. Runoff modelling using HEC HMS for rural watershed. Development 2019, 6. [Google Scholar] [CrossRef]













| Elevation 1 (m) | Area (km2) | Volume (MCM 2) |
|---|---|---|
| 100 | 3 | 70 |
| 115 | 41 | 310 |
| 118 | 52 | 450 |
| 120 | 60 | 520 |
| 125 | 85 | 980 |
| 130 | 122 | 1400 |
| 135 | 170 | 2150 |
| 140 | 233 | 3130 |
| 143 | 270 | 3750 |
| Date | Elevation 1 (m) | Capacity (BCM 2) |
|---|---|---|
| 1/10/2015 | 120.71 | 0.60 |
| 1/10/2016 | 115.22 | 0.31 |
| 1/10/2017 | 113.94 | 0.27 |
| 1/10/2018 | 117.20 | 0.42 |
| No. | Model | Method | Parameters Required (Unit) |
|---|---|---|---|
| 1 | Loss Rate Parameter | SCS Curve Number | Initial abstraction (mm), Curve Number and Impervious area (%) |
| 2 | Runoff Transform | SCS Unit Hydrograph | Lag time (min) |
| 3 | Routing Method Constants | Muskingum | Travel time (K) and dimensionless weight (X) |
| Sub-Basin | Basin Area (km2) | Basin Slope (%) | Curve Number (CN) | Potential Abstraction (mm) | Ia (mm) | Basin Lag (Hours) |
|---|---|---|---|---|---|---|
| W880 | 193.5333 | 37.00 | 87 | 1.49 | 7.59 | 5.3959 |
| W890 | 708.2559 | 29.87 | 80 | 2.50 | 12.70 | 6.1618 |
| W710 | 1635.3000 | 14.20 | 78 | 2.82 | 14.33 | 9.0085 |
| W860 | 8.15850 | 35.00 | 95 | 0.53 | 2.67 | 5.4074 |
| W620 | 2490.1000 | 18.24 | 75 | 3.33 | 16.93 | 8.0493 |
| W980 | 81.4450 | 47.00 | 100 | 0.00 | 0.00 | 4.5998 |
| W1000 | 24.7302 | 49.00 | 100 | 0.00 | 0.00 | 4.50491 |
| W700 | 4485.1000 | 21.04 | 79 | 2.66 | 13.50 | 7.37090 |
| W850 | 2718.1000 | 38.06 | 70 | 4.29 | 21.77 | 5.70099 |
| Year | Storage (BCM)/Elevation (m) at the Start of the Hydrological Year | Peak Inflow (m3/s)/Date | Peak Discharge (m3/s)/Date | Inflow Volume (BCM) | Peak Storage (BCM)/Elevation (m) |
|---|---|---|---|---|---|
| 2015–2016 | 0.60/120.71 | 742.4/12 April 2016 | 133.3/16 April 2016 | 1.320 | 0.860/124.6 |
| 2016–2017 | 0.31/115.20 | 396.9/24 March 2017 | 142.1/26 March 2017 | 0.895 | 0.438/118.4 |
| 2017–2018 | 0.27/113.94 | 625.1/18 February 2018 | 142.4/26 February 2018 | 0.953 | 0.438/118.4 |
Publisher’s Note: MDPI stays neutral with regard to jurisdictional claims in published maps and institutional affiliations. |
© 2021 by the authors. Licensee MDPI, Basel, Switzerland. This article is an open access article distributed under the terms and conditions of the Creative Commons Attribution (CC BY) license (http://creativecommons.org/licenses/by/4.0/).
Share and Cite
Hamdan, A.N.A.; Almuktar, S.; Scholz, M. Rainfall-Runoff Modeling Using the HEC-HMS Model for the Al-Adhaim River Catchment, Northern Iraq. Hydrology 2021, 8, 58. https://doi.org/10.3390/hydrology8020058
Hamdan ANA, Almuktar S, Scholz M. Rainfall-Runoff Modeling Using the HEC-HMS Model for the Al-Adhaim River Catchment, Northern Iraq. Hydrology. 2021; 8(2):58. https://doi.org/10.3390/hydrology8020058
Chicago/Turabian StyleHamdan, Ahmed Naseh Ahmed, Suhad Almuktar, and Miklas Scholz. 2021. "Rainfall-Runoff Modeling Using the HEC-HMS Model for the Al-Adhaim River Catchment, Northern Iraq" Hydrology 8, no. 2: 58. https://doi.org/10.3390/hydrology8020058
APA StyleHamdan, A. N. A., Almuktar, S., & Scholz, M. (2021). Rainfall-Runoff Modeling Using the HEC-HMS Model for the Al-Adhaim River Catchment, Northern Iraq. Hydrology, 8(2), 58. https://doi.org/10.3390/hydrology8020058
