STORAGE (STOchastic RAinfall GEnerator): A User-Friendly Software for Generating Long and High-Resolution Rainfall Time Series
Abstract
Software Information
- Name of software: STORAGE.xlsm
- Developers and contact information: Davide Luciano De Luca (davide.deluca@unical.it); Andrea Petroselli (petro@unitus.it)
- Year first available: 2021
- Software required: Windows 8 or later versions as Operating System (OS); Microsoft Excel 2013 or later versions
- OS settings: dot as decimal separator is mandatory. The folder “C:\NSRP\”, where the output generated rainfall will be printed, must be created.
- Availability: https://sites.google.com/unical.it/storage
- Cost: free
- Program language: Visual Basic for Application (VBA) macros in MS Excel
- Program size: 6.5 MB
1. Introduction
- (i)
- (ii)
- the impossibility of reproduction of the proportion of dry/wet periods [44], which can be of interest for some applications.
- the model calibration is carried out by using summary statistics from annual maxima rainfall (AMR), annual / monthly cumulative rainfall, and annual number of wet days, which are usually longer than continuous observed high-resolution series (mainly adopted for SRG calibration but typically very short or absent in many locations). In this way, the SRG generates 1 min or 5 min continuous rainfall series which present, at coarser resolutions, summary statistics which are comparable with those of the above-mentioned sample data;
- the seasonality is modelled by using series of goniometric functions. This approach makes STORAGE more parsimonious with respect to the use of monthly or seasonal sets for parameters.
- by using goniometric series only for some rainfall descriptors, and by considering the other ones as invariant during the year;
- by setting the maximum number of harmonics for each selected descriptors, with the goal of having a parsimonious model.
2. Study Area
3. Methods
3.1. Theoretical Overview of the Implemented Model
- the inter-arrival time, , between the origins of two consecutive storms, which is assumed to be an exponential random variable. Consequently, the probability to have a new storm origin after a waiting time from the previous one can be calculated as:where represents the mean value for the inter-arrival times, i.e., ;
- the number of rain cells (also indicated as bursts or pulses) inside a specific storm, which is set in this work as a geometric random variable with a mean value ;
- the waiting time between a specific burst origin and the origin of the associated storm, which follows an exponential distribution:with ;
- the intensity and the duration of a specific burst, having a rectangular shape, belonging to a storm. Both and are assumed as exponentially distributed, with parameters and , respectively, and mean values , , so that:
- In order to reproduce the seasonality of the rainfall process, goniometric series are adopted (Section 3.1.1). In doing so, the model is more parsimonious, with respect to the use of monthly or seasonal sets for parameters. Moreover, this approach is very flexible, because it is possible to model seasonality:
- ◦
- by using goniometric series only for some rainfall descriptors, and by considering the other ones as invariant during the year;
- ◦
- by setting the maximum number of harmonics for each selected descriptors, with the goal of having a parsimonious model.
- Moreover, model calibration is carried out by using data series, such as AMR, annual and monthly rainfall, and annual number of wet days series (Section 3.1.2), which are usually longer than continuous observed high-resolution series.
3.1.1. Seasonality Modelling with Goniometric Series
- : mean value for the inter-arrival times between two consecutive storms;
- : mean value for the number of rain cells (or bursts) for each storm;
- : mean value for the waiting time between a specific rain cell and the associated storm;
- : mean value for intensity of the cells with a rectangular shape;
- : mean value for duration of the cells with a rectangular shape.
- (a)
- The quantities ,, and present a seasonal variation. Specifically, K = 2 is used for (according to [52]):where represents the mean annual value without any seasonal variation; , and is equal to the smallest value for mean inter-arrival times between two consecutive storms; ; and are the phase shifts for the two adopted harmonics.
- (b)
- As regards , and , we adopted K = 1:where
- , and are the mean annual values without any seasonal variation;
- , and is the smallest value for the mean number of cells for each storm;
- , and is the smallest value for the mean intensity of a rain cell. We considered with .
- , and is the smallest value for the mean duration of a rain cell. We considered with .
- (c)
- , and , in order to obtain and in summer months and during the winter.
3.1.2. Calibration
- Mean Annual Precipitation (MAP), and
- mean annual number of wet days (i.e., mean annual number of days for which the daily rainfall is greater than or equal to 1 mm), and
- parameters of Amount-Duration-Frequency (ADF) curves, related to rainfall durations from 1 to 24 h, and
- mean values for seasonal rainfall in DJF (December–January–February), MAM (March–April–May), JJA (June–July–August), and SON (September–October–November).
3.2. The User-Friendly Interface of STORAGE
- RUN with parameter values chosen by the user;
- PARAMETER ESTIMATION AND RUN.

- Annual and Monthly Rainfall, in which the generated rainfall values, aggregated at monthly and annual timescale, as well as the annual number of wet days, will be printed (for each generated year);
- Annual Maxima, where the values for AMR series will be printed for rainfall durations equal to 5, 15, 30, 60 min, 3, 6, 12, 24 h, and 1 day;
- Statistics, in which the mean and standard deviation values will be calculated and printed for all the quantities reported in the previous points 1 and 2;
- EV1 Plots, in which the frequency distributions of all the previously listed AMR series will be represented on EV1 (Extreme Values type 1) probabilistic plots;
- Average Monthly Rainfall Plot, which contains the histogram of the average monthly rainfall values related to the generated rainfall series;
- Annual Rainfall Plot, where the annual cumulative rainfall series is represented.
3.2.1. Data Input
- the number of years to be generated (Cell D3). The maximum allowed is 500 years;
- the time resolution, expressed in minutes (Cell D4). The software allows for resolutions of 1, 5, 10, 15, 20, 30 and 60 min.
- The values of parameters for Amount–Duration–Frequency (ADF) curves, expressed as a power function:where is the rainfall duration (hours) ranging from 1 to 24 h, T is the return period (years), is the d-AMR associated with T, and and are ADF parameters. In detail, the values for and , associated with specific T values, are requested:
- ◦
- concerning , the cells to be filled are F5 (T = 2 years), H5 (T = 5 years), J5 (T = 10 years), F8 (T = 50 years), H8 (T = 100 years) and J8 (T = 200 years);
- ◦
- concerning , the cells to be filled are G5 (T = 2 years), I5 (T = 5 years), K5 (T = 10 years), G8 (T = 50 years), I8 (T = 100 years) and K8 (T = 200 years).If the size of the sample AMR series for the investigated case study is limited (less than 20 years), then it is advisable to use only sample estimates from low T values (2, 5 and 10 years). For higher sample sizes, information deriving from higher return periods can also be entered.
- The values for Mean Annual Precipitation (MAP) into the cell L5, for the mean annual number of wet days into the cell M5, and for the mean cumulative seasonal precipitation, associated with December–January–February (DJF), March–April–May (MAM), June–July–August (JJA) and September–October–November (SON), into the cells L8, M8, N8 and O8, respectively. Moreover, also in this case, it not necessary to fill all the listed cells. The VBA macro will run the model calibration on the basis of the available information. Concerning the cell M5, strictly related to the wet day proportion, it should be remarked that the trivial rainfall (of which amount is less than the capacity of the tipping bucket of the rain gauges) could highly distort the result of the calibration in some cases, and so not filling this cell could avoid this possibility.
3.2.2. Synthetic Generation of Rainfall Time Series at a High Resolution
- only the parameters and of the ADF curves;
- only MAP and the mean value for annual number of wet days (NumWetDays);
- , , MAP and NumWetDays;
- , , MAP, NumWetDays and the mean cumulative seasonal rainfalls (DJF, MAM, JJA, SON).
- ◦
- is the i-th value (i = 1, … ) of parameter a for an ADF curve of an assigned T, inserted by the user into an input cell, while is the correspondent NSRP value. is the number of return periods T which are considered by the user for parameter a.
- ◦
- is the j-th value (j = 1, … ) of parameter n for an ADF curve of an assigned T, inserted by the user into an input cell, while is the correspondent NSRP value. is the number of return periods T which are considered by the user for parameter n.







3.2.3. Multisets Approaches
- Ranking from total OF;
- Merging different OFs, which is further subdivided in 3 OFs and 4 OFs.
Ranking from Total OF

- if a multisets approach is selected, a user should consider at most S = 4 and a large value for N (we suggest N = 500 years), in order to have a significant number of years for each set (with N = 500 years and S = 4, there are on average 125 years which are simulated with each set);
- in a context, such as in this case, of stationary/cycle-stationary process (i.e., without any climatic trend), it is not necessary to generate a large number L of N-year synthetic series (in which each i-th set should regard series), but it is sufficient to consider the generation of only one year, which is repeated L = N times. This is allowed by the ergodicity property of a stationary process [57], which means that the statistics from a long temporal N-year series are equal to the statistics from one year (generated N times).
Merging Different OFs
- 3 OFs;
- 4 OFs.
3.2.4. RUN with Parameter Values Chosen by the User
4. Application for Rain Gauge Network of the Calabria Region and Discussion
- concerning MAP, a value between 450 and 2500 mm;
- concerning the mean annual number of wet days, a value between 50 and 120;
- concerning the ADF curves (Equation (11)), values of a and n for T = 5 years between 20 and 65 mm/h and between 0.12 and 0.65, respectively;
- concerning the SON cumulative rainfall, a mean value inside a variation of ±50 mm with respect to the linear regression curve between observed MAP and SON of the investigated data series.
- by using the parametric set with the lowest value for the total OF (Option 4 in Equation (12)), concerning Montalto Uffugo;
- by considering the multisets approach Ranking from total OF for Reggio Calabria and Vibo Valentia, with S equal to 3 and 4, respectively.
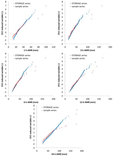
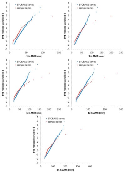
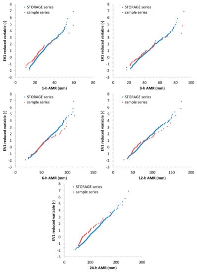
- when AMR sample data present outliers from an EV1 behaviour (Figure 18 and Figure 20), or if extremes are underestimated, it could be useful to consider other probability distributions for cell intensity I (e.g., Weibull, Gamma or a mixture of exponential functions, [20,25,58]), and/or to use other shapes for rain cells (such as the sinusoidal one, [59]), in order to better reproduce quantiles at high values of return period T;
- though frequency distributions of annual rainfall are properly reproduced, an increase in the maximum number of harmonics for (i.e., the mean inter-arrival time between two consecutive storms) and/or modelling seasonality also for (i.e., the mean waiting time between a specific burst origin and the origin of the associated storm) could improve the reconstruction of both the annual number of wet days and seasonal rainfall in some specific cases.
- we calibrated a basic version of NSRP with the 1-h continuous data series (aggregated from the available 20-min one), by estimating parameters for each month (according to [14]) in order to avoid possible underestimation of extremes (as mentioned in the introduction). This version of NSRP is indicated as NSRP_v0 in the following;
- we compared STORAGE and NSRP_v0 performances, graphically and in terms of Root Mean Square Error (RMSE), as regards the modelling of:
- ◦
- mean, standard deviation and percentage of dry intervals from the continuous series at 20-min and 1-h resolutions;
- ◦
- mean values of monthly rainfall heights;
- ◦
- rainfall heights of ADF curves for return periods T = 5, 50 and 200 years.










5. Conclusions
Author Contributions
Funding
Institutional Review Board Statement
Informed Consent Statement
Acknowledgments
Conflicts of Interest
References
- Grimaldi, S.; Nardi, F.; Piscopia, R.; Petroselli, A.; Apollonio, C. Continuous hydrologic modelling for design simulation in small and ungauged basins: A step forward and some tests for its practical use. J. Hydrol. 2020, 595, 125664. [Google Scholar] [CrossRef]
- Młyński, D.; Wałęga, A.; Petroselli, A.; Tauro, F.; Cebulska, M. Estimating Maximum Daily Precipitation in the Upper Vistula Basin, Poland. Atmosphere 2019, 10, 43. [Google Scholar] [CrossRef]
- Onof, C.; Chandler, R.E.; Kakou, A.; Northrop, P.; Wheater, H.S.; Isham, V. Rainfall modelling using Poisson-cluster processes: A review of developments. Stoch. Environ. Res. Risk Assess. 2000, 14, 384–411. [Google Scholar] [CrossRef]
- Wheater, H.S.; Chandler, R.E.; Onof, C.J.; Isham, V.S.; Bellone, E.; Yang, C.; Lekkas, D.; Lourmas, G.; Segond, M.-L. Spatial-temporal rainfall modelling for flood risk estimation. Stoch. Environ. Res. Risk Assess. 2005, 19, 403–416. [Google Scholar] [CrossRef]
- Ritschel, C.; Ulbrich, U.; Névir, P.; Rust, H.W. Precipitation extremes on multiple timescales—Bartlett–Lewis rectangular pulse model and intensity–duration–frequency curves. Hydrol. Earth Syst. Sci. 2017, 21, 6501–6517. [Google Scholar] [CrossRef]
- De Luca, D.L.; Petroselli, A.; Galasso, L. Modelling Climate Changes with Stationary Models: Is It Possible or Is It a Paradox? In Numerical Computations: Theory and Algorithms; NUMTA 2019. Lecture Notes in Computer Science; Sergeyev, Y., Kvasov, D., Eds.; Springer Science and Business Media LLC: Berlin/Heidelberg, Germany, 2020; Volume 11974, pp. 84–96. [Google Scholar]
- De Luca, D.; Petroselli, A.; Galasso, L. A Transient Stochastic Rainfall Generator for Climate Changes Analysis at Hydrological Scales in Central Italy. Atmosphere 2020, 11, 1292. [Google Scholar] [CrossRef]
- Willems, P.; Arnbjerg-Nielsen, K.; Olsson, J.; Nguyen, V. Climate change impact assessment on urban rainfall extremes and urban drainage: Methods and shortcomings. Atmospheric Res. 2012, 103, 106–118. [Google Scholar] [CrossRef]
- Maraun, D. Bias Correcting Climate Change Simulations—A Critical Review. Curr. Clim. Chang. Rep. 2016, 2, 211–220. [Google Scholar] [CrossRef]
- Kendon, E.J.; Roberts, N.M.; Fowler, H.J.; Roberts, M.J.; Chan, S.C.; Senior, C.A. Heavier summer downpours with climate change revealed by weather forecast resolution model. Nat. Clim. Chang. 2014, 4, 570–576. [Google Scholar] [CrossRef]
- Ban, N.; Schmidli, J.; Schär, C. Heavy precipitation in a changing climate: Does short-term summer precipitation increase faster? Geophys. Res. Lett. 2015, 42, 1165–1172. [Google Scholar] [CrossRef]
- Cameron, D.; Beven, K.; Tawn, J. An evaluation of three stochastic rainfall models. J. Hydrol. 2000, 228, 130–149. [Google Scholar] [CrossRef]
- Cowpertwait, P.S.P. Further developments of the neyman-scott clustered point process for modeling rainfall. Water Resour. Res. 1991, 27, 1431–1438. [Google Scholar] [CrossRef]
- Cowpertwait, P.; O’Connell, P.; Metcalfe, A.; Mawdsley, J. Stochastic point process modelling of rainfall. I. Single-site fitting and validation. J. Hydrol. 1996, 175, 17–46. [Google Scholar] [CrossRef]
- Cowpertwait, P.; Isham, V.; Onof, C. Point process models of rainfall: Developments for fine-scale structure. Proc. R. Soc. A Math. Phys. Eng. Sci. 2007, 463, 2569–2587. [Google Scholar] [CrossRef]
- Entekhabi, D.; Rodriguez-Iturbe, I.; Eagleson, P.S. Probabilistic representation of the temporal rainfall process by a modified Neyman-Scott Rectangular Pulses Model: Parameter estimation and validation. Water Resour. Res. 1989, 25, 295–302. [Google Scholar] [CrossRef]
- Gyasi-Agyei, Y. Identification of regional parameters of a stochastic model for rainfall disaggregation. J. Hydrol. 1999, 223, 148–163. [Google Scholar] [CrossRef]
- Gyasi-Agyei, Y.; Willgoose, G.R. A hybrid model for point rainfall modeling. Water Resour. Res. 1997, 33, 1699–1706. [Google Scholar] [CrossRef]
- Islam, S.; Entekhabi, D.; Bras, R.L.; Rodriguez-Iturbe, I. Parameter estimation and sensitivity analysis for the modified Bartlett-Lewis rectangular pulses model of rainfall. J. Geophys. Res. Space Phys. 1990, 95, 2093–2100. [Google Scholar] [CrossRef]
- Kaczmarska, J.; Isham, V.; Onof, C. Point process models for fine-resolution rainfall. Hydrol. Sci. J. 2014, 59, 1972–1991. [Google Scholar] [CrossRef]
- Khaliq, M.; Cunnane, C. Modelling point rainfall occurrences with the modified Bartlett-Lewis rectangular pulses model. J. Hydrol. 1996, 180, 109–138. [Google Scholar] [CrossRef]
- Kim, D.; Olivera, F.; Cho, H.; Socolofsky, S.A. Regionalization of the Modified Bartlett-Lewis Rectangular Pulse Stochastic Rainfall Model. Terr. Atmos. Ocean. Sci. 2013, 24, 421–436. [Google Scholar] [CrossRef]
- Kim, D.; Kwon, H.-H.; Lee, S.-O.; Kim, S. Regionalization of the Modified Bartlett–Lewis rectangular pulse stochastic rainfall model across the Korean Peninsula. HydroResearch 2016, 11, 123–137. [Google Scholar] [CrossRef]
- Kim, D.; Cho, H.; Onof, C.; Choi, M. Let-It-Rain: A web application for stochastic point rainfall generation at ungaged basins and its applicability in runoff and flood modeling. Stoch. Environ. Res. Risk Assess. 2017, 31, 1023–1043. [Google Scholar] [CrossRef]
- Kim, D.; Onof, C. A stochastic rainfall model that can reproduce important rainfall properties across the timescales from sev-eral minutes to a decade. J. Hydrol. 2020, 589, 125150. [Google Scholar] [CrossRef]
- Kossieris, P.; Efstratiadis, A.; Koutsoyiannis, D. Coupling the strengths of optimization and simulation for calibrating Poisson cluster models. In Proceedings of the Facets of Uncertainty: 5th EGU Leonardo Conference–Hydrofractals 2013–STAHY 2013, Kos Island, Greece, 17–19 October 2013. [Google Scholar]
- Onof, C.; Wheater, H.S. Improved fitting of the Bartlett-Lewis Rectangular Pulse Model for hourly rainfall. Hydrol. Sci. J. 1994, 39, 663–680. [Google Scholar] [CrossRef]
- Onof, C.; Wheater, H.S. Improvements to the modelling of British rainfall using a modified Random Parameter Bartlett-Lewis Rectangular Pulse Model. J. Hydrol. 1994, 157, 177–195. [Google Scholar] [CrossRef]
- Paschalis, A.; Molnar, P.; Fatichi, S.; Burlando, P. On temporal stochastic modeling of precipitation, nesting models across scales. Adv. Water Resour. 2014, 63, 152–166. [Google Scholar] [CrossRef]
- Smithers, J.; Pegram, G.; Schulze, R. Design rainfall estimation in South Africa using Bartlett–Lewis rectangular pulse rainfall models. J. Hydrol. 2002, 258, 83–99. [Google Scholar] [CrossRef]
- Velghe, T.; Troch, P.A.; De Troch, F.P.; Van De Velde, J. Evaluation of cluster-based rectangular pulses point process models for rainfall. Water Resour. Res. 1994, 30, 2847–2857. [Google Scholar] [CrossRef]
- Verhoest, N.; Troch, P.A.; De Troch, F.P. On the applicability of Bartlett–Lewis rectangular pulses models in the modeling of design storms at a point. J. Hydrol. 1997, 202, 108–120. [Google Scholar] [CrossRef]
- Wasko, C.; Pui, A.; Sharma, A.; Mehrotra, R.; Jeremiah, E. Representing low-frequency variability in continuous rainfall simulations: A hierarchical random Bartlett Lewis continuous rainfall generation model. Water Resour. Res. 2015, 51, 9995–10007. [Google Scholar] [CrossRef]
- Wheater, H.S.; Isham, V.S.; Chandler, R.E.; Onof, C.J.; Stewart, E.J. Improved Methods for National Spatial–Temporal Rainfall and Evaporation Modelling for BSM; Department for Environment, Food and Rural Affairs (DEFRA); Flood Management Division: London, UK, 2007. [Google Scholar]
- Verhoest, N.; Vandenberghe, S.; Cabus, P.; Onof, C.; MecaFigueras, T.; Jameleddine, S. Are stochastic point rainfall models able to preserve extreme flood statistics? Hydrol. Process. 2010, 24, 3439–3445. [Google Scholar] [CrossRef]
- Cowpertwait, P.S.P. A generalized point process model for rainfall. Proc. R. Soc. Lond. Ser. A Math. Phys. Sci. 1994, 447, 23–37. [Google Scholar] [CrossRef]
- Cameron, D.; Beven, K.; Tawn, J. Modelling extreme rainfalls using a modified random pulse Bartlett–Lewis stochastic rain-fall model (with uncertainty). Adv. Water Resour. 2000, 24, 203–211. [Google Scholar] [CrossRef]
- Evin, G.; Favre, A.-C. A new rainfall model based on the Neyman-Scott process using cubic copulas. Water Resour. Res. 2008, 44, 03433. [Google Scholar] [CrossRef]
- Koutsoyiannis, D.; Onof, C. Rainfall disaggregation using adjusting procedures on a Poisson cluster model. J. Hydrol. 2001, 246, 109–122. [Google Scholar] [CrossRef]
- Onof, C.; Townend, J.; Kee, R. Comparison of two hourly to 5-min rainfall disaggregators. Atmos. Res. 2005, 77, 176–187. [Google Scholar] [CrossRef]
- Onof, C.; Arnbjerg-Nielsen, K. Quantification of anticipated future changes in high resolution design rainfall for urban areas. Atmos. Res. 2009, 92, 350–363. [Google Scholar] [CrossRef]
- Kossieris, P.; Makropoulos, C.; Onof, C.; Koutsoyiannis, D. A rainfall disaggregation scheme for sub-hourly time scales: Coupling a Bartlett-Lewis based model with adjusting procedures. J. Hydrol. 2018, 556, 980–992. [Google Scholar] [CrossRef]
- Kim, D.; Olivera, F.; Cho, H. Effect of the inter-annual variability of rainfall statistics on stochastically generated rainfall time series: Part 1. Impact on peak and extreme rainfall values. Stoch. Environ. Res. Risk Assess. 2013, 27, 1601–1610. [Google Scholar] [CrossRef]
- Cross, D.; Onof, C.; Winter, H.; Bernardara, P. Censored rainfall modelling for estimation of fine-scale extremes. Hydrol. Earth Syst. Sci. 2018, 22, 727–756. [Google Scholar] [CrossRef]
- Paschalis, A.; Molnar, P.; Fatichi, S.; Burlando, P. A stochastic model for high-resolution space-time precipitation simulation. Water Resour. Res. 2013, 49, 8400–8417. [Google Scholar] [CrossRef]
- Peleg, N.; Fatichi, S.; Paschalis, A.; Molnar, P.; Burlando, P. An advanced stochastic weather generator for simulating 2-D high-resolution climate variables. J. Adv. Model. Earth Syst. 2017, 9, 1595–1627. [Google Scholar] [CrossRef]
- De Luca, D.L.; Galasso, L. Calibration of NSRP Models from Extreme Value Distributions. Hydrology 2019, 6, 89. [Google Scholar] [CrossRef]
- Website of the Multi Risks Centre of Calabria Region. Available online: www.cfd.calabria.it (accessed on 8 April 2021).
- Federico, S.; Avolio, E.; Pasqualoni, L.; De Leo, L.; Sempreviva, A.M.; Bellecci, C. Preliminary results of a 30-year daily rainfall data base in southern Italy. Atmos. Res. 2009, 94, 641–651. [Google Scholar] [CrossRef]
- Federico, S.; Avolio, E.; Pasqualoni, L.; Bellecci, C. Atmospheric patterns for heavy rain events in Calabria. Nat. Hazards Earth Syst. Sci. 2008, 8, 1173–1186. [Google Scholar] [CrossRef]
- Rodriguez-Iturbe, I.; Cox, D.R.; Isham, V. Some models for rainfall based on stochastic point processes. Proc. R. Soc. London. Ser. A Math. Phys. Sci. 1987, 410, 269–288. [Google Scholar] [CrossRef]
- Sirangelo, B.; Ferrari, E.; De Luca, D.L. Occurrence analysis of daily rainfalls through non-homogeneous Poissonian processes. Nat. Hazards Earth Syst. Sci. 2011, 11, 1657–1668. [Google Scholar] [CrossRef]
- Greco, A.; De Luca, D.L.; Avolio, E. Heavy Precipitation Systems in Calabria Region (Southern Italy): High-Resolution Observed Rainfall and Large-Scale Atmospheric Pattern Analysis. Water 2020, 12, 1468. [Google Scholar] [CrossRef]
- Calenda, G.; Napolitano, F. Parameter estimation of Neyman–Scott processes for temporal point rainfall simulation. J. Hydrol. 1999, 225, 45–66. [Google Scholar] [CrossRef]
- Morbidelli, R.; García-Marín, A.P.; Al Mamun, A.; Atiqur, R.M.; Ayuso-Muñoz, J.L.; Taouti, M.B.; Baranowski, P.; Bellocchi, G.; Sangüesa-Pool, C.; Bennett, B.; et al. The history of rainfall data time-resolution in a wide variety of geographical areas. J. Hydrol. 2020, 590, 125258. [Google Scholar] [CrossRef]
- Beven, K.; Freer, J. Equifinality, data assimilation, and uncertainty estimation in mechanistic modelling of complex envi-ronmental systems using the GLUE methodology. J. Hydrol. 2001, 249, 11–29. [Google Scholar] [CrossRef]
- Koutsoyiannis, D.; Montanari, A. Negligent killing of scientific concepts: The stationarity case. Hydrol. Sci. J. 2015, 60, 1174–1183. [Google Scholar] [CrossRef]
- Onof, C.; Wang, L.-P. Modelling rainfall with a Bartlett–Lewis process: New developments. Hydrol. Earth Syst. Sci. 2020, 24, 2791–2815. [Google Scholar] [CrossRef]
- Park, J.; Cross, D.; Onof, C.; Chen, Y.; Kim, D. A simple scheme to adjust Poisson cluster rectangular pulse rainfall models for improved performance at sub-hourly timescales. J. Hydrol. 2021, 598, 126296. [Google Scholar] [CrossRef]
- Wu, C.; Chau, K. Prediction of rainfall time series using modular soft computingmethods. Eng. Appl. Artif. Intell. 2013, 26, 997–1007. [Google Scholar] [CrossRef]
- Sattari, M.T.; Falsafian, K.; Irvem, A.; S, S.; Qasem, S.N. Potential of kernel and tree-based machine-learning models for estimating missing data of rainfall. Eng. Appl. Comput. Fluid Mech. 2020, 14, 1078–1094. [Google Scholar] [CrossRef]
- Shiru, M.; Park, I. Comparison of Ensembles Projections of Rainfall from Four Bias Correction Methods over Nigeria. Water 2020, 12, 3044. [Google Scholar] [CrossRef]






| Rain Gauge | Sample Size AMR Series (years) | a2 (mm/h) | n2 (-) | a5 (mm/h) | n5 (-) | a10 (mm/h) | n10 (-) |
|---|---|---|---|---|---|---|---|
| Montalto Uffugo | 53 | 23.5 | 0.43 | 31.4 | 0.42 | 36.6 | 0.41 |
| Reggio Calabria | 57 | 25.7 | 0.24 | 35.9 | 0.23 | 42.7 | 0.23 |
| Vibo Valentia | 67 | 24.4 | 0.31 | 36.1 | 0.29 | 45.0 | 0.28 |
| Rain Gauge | a50 (mm/h) | n50 (-) | a100 (mm/h) | n100 (-) | a200 (mm/h) | n200 (-) | |
| Montalto Uffugo | 48.0 | 0.41 | 52.8 | 0.41 | 57.7 | 0.40 | |
| Reggio Calabria | 57.6 | 0.23 | 63.9 | 0.22 | 70.1 | 0.22 | |
| Vibo Valentia | 68.2 | 0.27 | 79.0 | 0.27 | 90.1 | 0.26 |
| Rain Gauge | Sample Size Daily Series (years) | MAP (mm) | Mean Annual Number of Wet Days (-) | DJF (mm) | MAM (mm) | JJA (mm) | SON (mm) |
|---|---|---|---|---|---|---|---|
| Montalto Uffugo | 71 | 1397.1 | 95 | 608.0 | 311.5 | 77.0 | 400.6 |
| Reggio Calabria | 101 | 597.2 | 73 | 229.9 | 119.4 | 34.2 | 213.7 |
| Vibo Valentia | 99 | 949.7 | 93 | 362.2 | 217 | 77.9 | 292.6 |
| RMSE | 1-h Mean (mm) | 1-h St.Dev. (mm) | Ratio of 1-h Dry Intervals (-) | 20-min Mean (mm) | 20-min St.Dev. (mm) | Ratio of 20-min Dry Intervals (-) |
|---|---|---|---|---|---|---|
| STORAGE | 0.06 | 0.30 | 0.07 | 0.02 | 0.13 | 0.03 |
| NSRP_v0 | 0.02 | 0.04 | 0.03 | 0.01 | 0.13 | 0.02 |
| RMSE | Mean of Monthly Rainfall (mm) | 5-year ADF (mm) | 50-year ADF (mm) | 200-year ADF (mm) |
|---|---|---|---|---|
| STORAGE | 7.5 | 6.0 | 5.5 | 5.6 |
| NSRP_v0 | 14.4 | 27.6 | 35.5 | 40.1 |
Publisher’s Note: MDPI stays neutral with regard to jurisdictional claims in published maps and institutional affiliations. |
© 2021 by the authors. Licensee MDPI, Basel, Switzerland. This article is an open access article distributed under the terms and conditions of the Creative Commons Attribution (CC BY) license (https://creativecommons.org/licenses/by/4.0/).
Share and Cite
De Luca, D.L.; Petroselli, A. STORAGE (STOchastic RAinfall GEnerator): A User-Friendly Software for Generating Long and High-Resolution Rainfall Time Series. Hydrology 2021, 8, 76. https://doi.org/10.3390/hydrology8020076
De Luca DL, Petroselli A. STORAGE (STOchastic RAinfall GEnerator): A User-Friendly Software for Generating Long and High-Resolution Rainfall Time Series. Hydrology. 2021; 8(2):76. https://doi.org/10.3390/hydrology8020076
Chicago/Turabian StyleDe Luca, Davide Luciano, and Andrea Petroselli. 2021. "STORAGE (STOchastic RAinfall GEnerator): A User-Friendly Software for Generating Long and High-Resolution Rainfall Time Series" Hydrology 8, no. 2: 76. https://doi.org/10.3390/hydrology8020076
APA StyleDe Luca, D. L., & Petroselli, A. (2021). STORAGE (STOchastic RAinfall GEnerator): A User-Friendly Software for Generating Long and High-Resolution Rainfall Time Series. Hydrology, 8(2), 76. https://doi.org/10.3390/hydrology8020076
