Hydrological Modelling for Water Resource Management in a Semi-Arid Mountainous Region Using the Soil and Water Assessment Tool: A Case Study in Northern Afghanistan
Abstract
1. Introduction
2. Study Area and Materials
2.1. Study Area
2.2. Materials
2.2.1. Dataset
2.2.2. Point Source Data
2.2.3. Irrigation Canals
3. Methods
3.1. SWAT Model
3.2. Model Setup
3.3. Calibration and Validation
4. Results
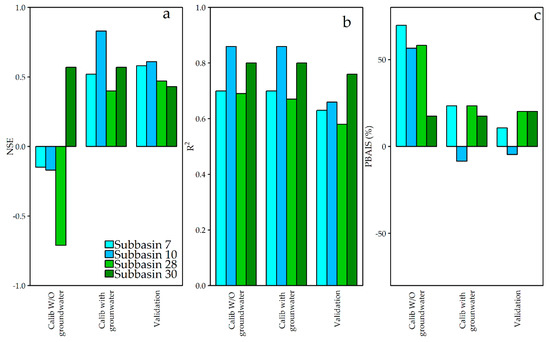
4.1. Calibration
4.1.1. Baseflow
4.1.2. Calibration Result
4.2. Validation
5. Discussion
5.1. Effects of Ground Water Contribution to the SWAT Model Result
5.2. Peaks in the Hydrograph
5.3. Effect of Snowmelt: Comparison of the SWAT Snowmelt and Monthly MODIS Snow Cover Area
6. Conclusions
Author Contributions
Funding
Institutional Review Board Statement
Informed Consent Statement
Data Availability Statement
Acknowledgments
Conflicts of Interest
Appendix A

References
- United Nation Water Scarcity. Available online: https://www.unwater.org/water-facts/scarcity/ (accessed on 10 December 2020).
- Mekonnen, M.M.; Hoekstra, A.Y. Sustainability: Four billion people facing severe water scarcity. Sci. Adv. 2016, 2, 1–7. [Google Scholar] [CrossRef] [PubMed]
- Porkka, M.; Kummu, M.; Siebert, S.; Flörke, M. The role of virtual water flows in physical water scarcity: The case of Central Asia. Int. J. Water Resour. Dev. 2012, 28, 453–474. [Google Scholar] [CrossRef]
- Li, Z.; Chen, Y.; Fang, G.; Li, Y. Multivariate assessment and attribution of droughts in Central Asia. Sci. Rep. 2017, 7, 1–12. [Google Scholar] [CrossRef] [PubMed]
- Ta, Z.; Yu, R.; Chen, X.; Mu, G.; Guo, Y. Analysis of the spatio-temporal patterns of dry and wet conditions in Central Asia. Atmosphere 2018, 9, 7. [Google Scholar] [CrossRef]
- Zoljoodi, M.; Didevarasl, A. Evaluation of spatial-temporal variability of drought events in Iran using palmer drought severity index and its principal factors (through 1951–2005). Atmos. Clim. Sci. 2013, 3, 193–207. [Google Scholar] [CrossRef]
- Qutbudin, I.; Shiru, M.S.; Sharafati, A.; Ahmed, K.; Al-Ansari, N.; Yaseen, Z.M.; Shahid, S.; Wang, X. Seasonal drought pattern changes due to climate variability: Case study in Afghanistan. Water 2019, 11, 1096. [Google Scholar] [CrossRef]
- Sediqi, M.N.; Shiru, M.S.; Nashwan, M.S.; Ali, R.; Abubaker, S.; Wang, X.; Ahmed, K.; Shahid, S.; Asaduzzaman, M.; Manawi, S.M.A. Spatio-temporal pattern in the changes in availability and sustainability ofwater resources in Afghanistan. Sustainability 2019, 11, 5836. [Google Scholar] [CrossRef]
- Mahmoodi, S. Integrated water resources management for rural development and environmental protection in Afghanistan. J. Dev. Sustain. Agric. 2008, 3, 9–19. [Google Scholar] [CrossRef]
- Mahmoodzada, A.B.; Varade, D.; Shimada, S. Estimation of snow depth in the Hindu Kush Himalayas of Afghanistan during peak winter and early melt season. Remote Sens. 2020, 12, 2788. [Google Scholar] [CrossRef]
- National Statistics and Information Authority. Afghanistan Statistical Yearbook; NSIA: Kabul, Afghanistan, 2019. [Google Scholar]
- MAIL (Ministry of Agriculture, Irrigation and Livestock). Atlas Part III Description of River Basins; MAIL: Kabul, Afghanistan, 2004. [Google Scholar]
- Alim, A.K. Sustainability of water resources in Afghanistan. J. Dev. Sustain. Agric. 2006, 1, 53–66. [Google Scholar] [CrossRef]
- Wheater, H.; Sorooshian, S.; Sharma, K.D. Hydrological Modelling in Arid and Semi-Arid Areas; Cambridge University Press: Cambridge, UK, 2007; ISBN 1139468081. [Google Scholar]
- Devia, G.K.; Ganasri, B.P.; Dwarakish, G.S. A review on hydrological models. Aquat. Procedia 2015, 4, 1001–1007. [Google Scholar] [CrossRef]
- Arnold, J.G.; Srinivasan, R.; Muttiah, R.S.; Williams, J.R. Large area hydrologic modeling and assessment part I: Model development’ basin scale model called SWAT (Soil and Water speed and storage, advanced software debugging policy to meet the needs, and the management to the tank model Sugawara et al., 1.). JAWRA J. Am. Water Resour. Assoc. 1998, 34, 73–89. [Google Scholar] [CrossRef]
- Guiamel, I.A.; Lee, H.S. Potential hydropower estimation for the Mindanao River Basin in the Philippines based on watershed modelling using the soil and water assessment tool. Energy Rep. 2020, 6, 1010–1028. [Google Scholar] [CrossRef]
- Shrestha, A.; Sharma, S.; McLean, C.E.; Kelly, B.A.; Martin, S.C. Scenario analysis for assessing the impact of hydraulic fracturing on stream low flows using the SWAT model. Hydrol. Sci. J. 2017, 62, 849–861. [Google Scholar] [CrossRef]
- Maghsood, F.F.; Moradi, H.; Bavani, A.R.M.; Panahi, M.; Berndtsson, R.; Hashemi, H. Climate change impact on flood frequency and source area in northern Iran under CMIP5 scenarios. Water 2019, 11, 273. [Google Scholar] [CrossRef]
- Xie, X.; Cui, Y. Development and test of SWAT for modeling hydrological processes in irrigation districts with paddy rice. J. Hydrol. 2011, 396, 61–71. [Google Scholar] [CrossRef]
- Aawar, T.; Khare, D. Assessment of climate change impacts on streamflow through hydrological model using SWAT model: A case study of Afghanistan. Modeling Earth Syst. Environ. 2020, 6, 1427–1437. [Google Scholar] [CrossRef]
- Hajihosseini, H.; Hajihosseini, M.; Morid, S.; Delavar, M.; Booij, M.J. Hydrological assessment of the 1973 treaty on the transboundary Helmand river, using the SWAT model and a global climate database. Water Resour. Manag. 2016, 30, 4681–4694. [Google Scholar] [CrossRef]
- Sadiqi, S.S. Application of SWAT to estimate runoff and sediment yield of Salma Dam watershed in Afghanistan. J. Korean Soc. Agric. Eng. 2019, 2019, 26. [Google Scholar]
- Rasouli, H.; Kayastha, R.B.; Bhattarai, B.C.; Shrestha, A.; Arian, H.; Armstrong, R. Estimation of discharge from upper Kabul river basin, Afghanistan using the snowmelt runoff model. J. Hydrol. Meteorol. 2016, 9, 85–94. [Google Scholar] [CrossRef]
- Arian, H.; Kayastha, R.B.; Bhattarai, B.C.; Shresta, A.; Rasouli, H.; Armstrong, R. Application of the snowmelt runoff model in the Salang river basin, Afghanistan using MODIS satellite data. J. Hydrol. Meteorol. 2015, 9, 109–118. [Google Scholar] [CrossRef]
- Habib, H. Water related problems in Afghanistan. Int. J. Educ. Stud. 2014, 1, 137–144. [Google Scholar]
- Frotan, M.S.; Nakaza, E.; Schaab, C.; Motoyashiki, R. Surface water resources of Afghanistan’s northern river basin and effects of climate change. J. Jpn. Soc. Civ. Eng. 2020, 8, 118–126. [Google Scholar] [CrossRef]
- Logan, T.A.; Nicoll, J.; Laurencelle, J.; Hogenson, K.; Gens, R.; Buechler, B.; Barton, B.; Shreve, W.; Stern, T.; Drew, L. Radiometrically terrain corrected ALOS PALSAR Data available from the Alaska Satellite Facility. AGUFM 2014, 2014, IN33B-3762. [Google Scholar]
- Food and Agriculture Organization of the United Nations. The Islamic Republic of Afghanistan Land Cover Atlas; FAO: Rome, Italy, 2016. [Google Scholar]
- Abbaspour, K.C.; Vaghefi, S.A.; Yang, H.; Srinivasan, R. Global soil, landuse, evapotranspiration, historical and future weather databases for SWAT Applications. Sci. Data 2019, 6, 263. [Google Scholar] [CrossRef]
- Hussainzada, W.; Lee, H.S.; Vinayak, B. Snow cover mapping for sustainable water resource management in the Balkhab river basin in Afghanistan using Modis sattellite normalized difference snow index (Ndsi). In Proceedings of the 22nd IAHR-APD Congress 2020, Sapporo, Japan, 15–16 September 2020; Volume 2010, pp. 1–7. [Google Scholar]
- Northern River Basin Authority. مدیریت آب حوزه دریایی شمال (Water Management of the Northern River Basins); NRB: Mazar-i-Sharif, Afghanistan, 2019. [Google Scholar]
- Grusson, Y.; Sun, X.; Gascoin, S.; Sauvage, S.; Raghavan, S.; Anctil, F.; Sáchez-Pérez, J.M. Assessing the capability of the SWAT model to simulate snow, snow melt and streamflow dynamics over an alpine watershed. J. Hydrol. 2015, 531, 574–588. [Google Scholar] [CrossRef]
- Duan, Y.; Liu, T.; Meng, F.; Luo, M.; Frankl, A.; de Maeyer, P.; Bao, A.; Kurban, A.; Feng, X. Inclusion of modified snow melting and flood processes in the SWAT model. Water 2018, 10, 1715. [Google Scholar] [CrossRef]
- Rostamian, R.; Jaleh, A.; Afyuni, M.; Mousavi, S.F.; Heidarpour, M.; Jalalian, A.; Abbaspour, K.C. Application of a SWAT model for estimating runoff and sediment in two mountainous basins in central Iran. Hydrol. Sci. J. 2008, 53, 977–988. [Google Scholar] [CrossRef]
- Li, Z.; Yang, Y.; Kan, G.; Hong, Y. Study on the applicability of the Hargreaves potential evapotranspiration estimation method in CREST distributed hydrological model (version 3.0) applications. Water 2018, 10, 1882. [Google Scholar] [CrossRef]
- Mengistu, A.G.; van Rensburg, L.D.; Woyessa, Y.E. Techniques for calibration and validation of SWAT model in data scarce arid and semi-arid catchments in South Africa. J. Hydrol. Reg. Stud. 2019, 25, 100621. [Google Scholar] [CrossRef]
- Abbaspour, K.C. User Manual for SWAT-CUP, SWAT Calibration and Uncertainty Analysis Programs; Swiss Federal Institute of Aquatic Science and Technology Eawag: Duebendorf, Switzerland, 2007; Volume 93. [Google Scholar]
- Homan, J.W.; Luce, C.H.; McNamara, J.P.; Glenn, N.F. Improvement of distributed snowmelt energy balance modeling with MODIS-based NDSI-derived fractional snow-covered area data. Hydrol. Process. 2011, 25, 650–660. [Google Scholar] [CrossRef]
- Abbaspour, K.C.; Vaghefi, S.A.; Srinivasan, R. A guideline for successful calibration and uncertainty analysis for soil and water assessment: A review of papers from the 2016 international SWAT conference. Water 2017, 10, 6. [Google Scholar] [CrossRef]
- Nash, J.E.; Sutcliffe, J.V. River flow forecasting through conceptual models part I—A discussion of principles. J. Hydrol. 1970, 10, 282–290. [Google Scholar] [CrossRef]
- Narsimlu, B.; Gosain, A.K.; Chahar, B.R.; Singh, S.K.; Srivastava, P.K. SWAT model calibration and uncertainty analysis for streamflow prediction in the Kunwari river basin, India, using sequential uncertainty fitting. Environ. Process. 2015, 2, 79–95. [Google Scholar] [CrossRef]
- Gupta, H.V.; Sorooshian, S.; Yapo, P.O. Status of automatic calibration for hydrologic models: Comparison with multilevel expert calibration. J. Hydrol. Eng. 1999, 4, 135–143. [Google Scholar] [CrossRef]
- Aqnouy, M.; El Messari, J.E.S.; Ismail, H.; Bouadila, A.; Navarro, J.G.M.; Loubna, B.; Mansour, M.R.A. Assessment of the SWAT model and the parameters affecting the flow simulation in the watershed of Oued Laou (Northern Morocco). J. Ecol. Eng. 2019, 20, 104–113. [Google Scholar] [CrossRef]
- Guiamel, I.A.; Lee, H.S. Watershed modelling of the Mindanao river basin in the Philippines using the SWAT for water resource management. Civ. Eng. J. 2020, 6, 626–648. [Google Scholar] [CrossRef]
- Moriasi, D.N.; Gitau, M.W.; Pai, N.; Daggupati, P. Hydrologic and water quality models: Performance measures and evaluation criteria. Trans. ASABE 2015, 58, 1763–1785. [Google Scholar]
- Foster, S.B.; Allen, D.M. Groundwater—Surface water interactions in a mountain-to-coast watershed: Effects of climate change and human stressors. Adv. Meteorol. 2015, 2015. [Google Scholar] [CrossRef]
- Welch, L.A.; Allen, D.M. Consistency of groundwater flow patterns in mountainous topography: Implications for valley bottom water replenishment and for defining groundwater flow boundaries. Water Resour. Res. 2012, 48, 1–17. [Google Scholar] [CrossRef]
- Evans, S.G.; Ge, S.; Liang, S. Analysis of groundwater flow in mountainous, headwater catchments with permafrost. Water Resour. Res. 2015, 51, 9564–9576. [Google Scholar] [CrossRef]
- Yang, J.; Reichert, P.; Abbaspour, K.C.; Xia, J.; Yang, H. Comparing uncertainty analysis techniques for a SWAT application to the Chaohe basin in China. J. Hydrol. 2008, 358, 1–23. [Google Scholar] [CrossRef]
- Luo, Y.; Arnold, J.; Allen, P.; Chen, X. Baseflow simulation using SWAT model in an inland river basin in Tianshan Mountains, Northwest China. Hydrol. Earth Syst. Sci. 2012, 16, 1259–1267. [Google Scholar] [CrossRef]










| Hydrometeorological Stations | Sub-Basins | Station Elevation (m) | Average Monthly Discharge (m3/s) | Ground Water Contribution (m3/s) |
|---|---|---|---|---|
| Rabat-i-Bala | 7 | 434 | 36.05 | 0.39 |
| Pul-i-Baraq | 10 | 647 | 35.66 | 25.38 |
| Delmarogh | 17 | 1152 | - | - |
| Doshqadam | 28 | 2241 | 11.72 | 7.50 |
| Nazdik-i-Nayak | 30 | 2613 | 4.22 | 4.22 |
| No | Parameter | Description | Range | Fitted Values | Method | |
|---|---|---|---|---|---|---|
| Min. | Max. | |||||
| Elevation band | ||||||
| 1 | TLAPS | Temperature lapse rate | −8 | −4 | −5.26 | v 1 |
| 2 | PLAPS | Precipitation lapse rate | 0 | 100 | 1.5 | v |
| Snowmelt parameters | ||||||
| 3 | SFTMP | Snowfall temperature | −5 | 5 | 4.65 | v |
| 4 | SMTMP | Snow melt base temperature | −5 | 5 | −3.55 | v |
| 5 | SMFMX | Maximum melt rate for snow during the year (occurs on the summer solstice) | 0 | 5 | 0.325 | v |
| 6 | SMFMN | Minimum melt rate for snow during the year (occurs on the winter solstice) | 0 | 5 | 0.475 | v |
| 7 | TIMP | Snowpack temperature lag factor | 0 | 1 | 0.645 | v |
| 8 | SNOCOVMX | Minimum snow water content that corresponds to 100% snow cover | 0 | 450 | 20.25 | v |
| 9 | SNO50COV | Snow water equivalent that corresponds to 50% snow cover | 0 | 0.85 | 0.59925 | v |
| Model parameters calibration | ||||||
| 10 | GWQMN | Threshold depth of water in the shallow aquifer required for return flow to occur (mm) | 0 | 2500 | 1523.75 | v |
| 11 | GW_REVAP | Groundwater “revap” coefficient | 0 | 0.1 | 0.00355 | v |
| 12 | GW_DELAY | Groundwater delay (days) | 0 | 500 | 27.75 | v |
| 13 | SOL_AWC() | Available water capacity of the soil layer | −0.3 | 0 | −0.12915 | r 2 |
| 14 | CN2 | SCS runoff curve number f | −0.4 | 0 | 0.3334 | r |
| 15 | ESCO | Soil evaporation compensation factor | 0 | 0.5 | 0.14375 | v |
| 16 | SOL_K() | Saturated hydraulic conductivity | 0 | 0.3 | 0.14625 | r |
| Performance Rating | R2 | NSE | PBIAS |
|---|---|---|---|
| Not Satisfactory | ≤0.50 | ≤0.50 | ≥±25% |
| Satisfactory | 0.50–0.70 | 0.50–0.65 | ±15–±25 |
| Good | 0.70–0.80 | 0.65–0.75 | ±10–±15 |
| Very good | ≥0.80 | ≥0.75 | <±10 |
Publisher’s Note: MDPI stays neutral with regard to jurisdictional claims in published maps and institutional affiliations. |
© 2021 by the authors. Licensee MDPI, Basel, Switzerland. This article is an open access article distributed under the terms and conditions of the Creative Commons Attribution (CC BY) license (http://creativecommons.org/licenses/by/4.0/).
Share and Cite
Hussainzada, W.; Lee, H.S. Hydrological Modelling for Water Resource Management in a Semi-Arid Mountainous Region Using the Soil and Water Assessment Tool: A Case Study in Northern Afghanistan. Hydrology 2021, 8, 16. https://doi.org/10.3390/hydrology8010016
Hussainzada W, Lee HS. Hydrological Modelling for Water Resource Management in a Semi-Arid Mountainous Region Using the Soil and Water Assessment Tool: A Case Study in Northern Afghanistan. Hydrology. 2021; 8(1):16. https://doi.org/10.3390/hydrology8010016
Chicago/Turabian StyleHussainzada, Wahidullah, and Han Soo Lee. 2021. "Hydrological Modelling for Water Resource Management in a Semi-Arid Mountainous Region Using the Soil and Water Assessment Tool: A Case Study in Northern Afghanistan" Hydrology 8, no. 1: 16. https://doi.org/10.3390/hydrology8010016
APA StyleHussainzada, W., & Lee, H. S. (2021). Hydrological Modelling for Water Resource Management in a Semi-Arid Mountainous Region Using the Soil and Water Assessment Tool: A Case Study in Northern Afghanistan. Hydrology, 8(1), 16. https://doi.org/10.3390/hydrology8010016

