Shifting Snowmelt Regime in a High-Latitude Asian Basin: Insights from the Songhua River Basin
Abstract
1. Introduction
2. Materials and Methods
2.1. Study Region
2.2. Datasets
2.2.1. ERA5-Land Data
2.2.2. Weather Data
2.2.3. DEM
2.3. Methods
2.3.1. Delineation and Characterization of Snowmelt Events
2.3.2. Influencing Factors of Snowmelt Events
2.3.3. Trend Analysis
2.3.4. Pearson Correlation Analysis
2.3.5. Partial Correlation Analysis
2.3.6. Multiple Linear Regression Analysis
3. Results
3.1. Spatiotemporal Patterns of Snowmelt at Annual and Seasonal Scales in the SRB
3.1.1. Spatiotemporal Variability of Annual Snowmelt
3.1.2. Intra-Annual Dynamics of Snowmelt Processes
3.2. Changing Characteristics of Snowmelt Events in the SRB
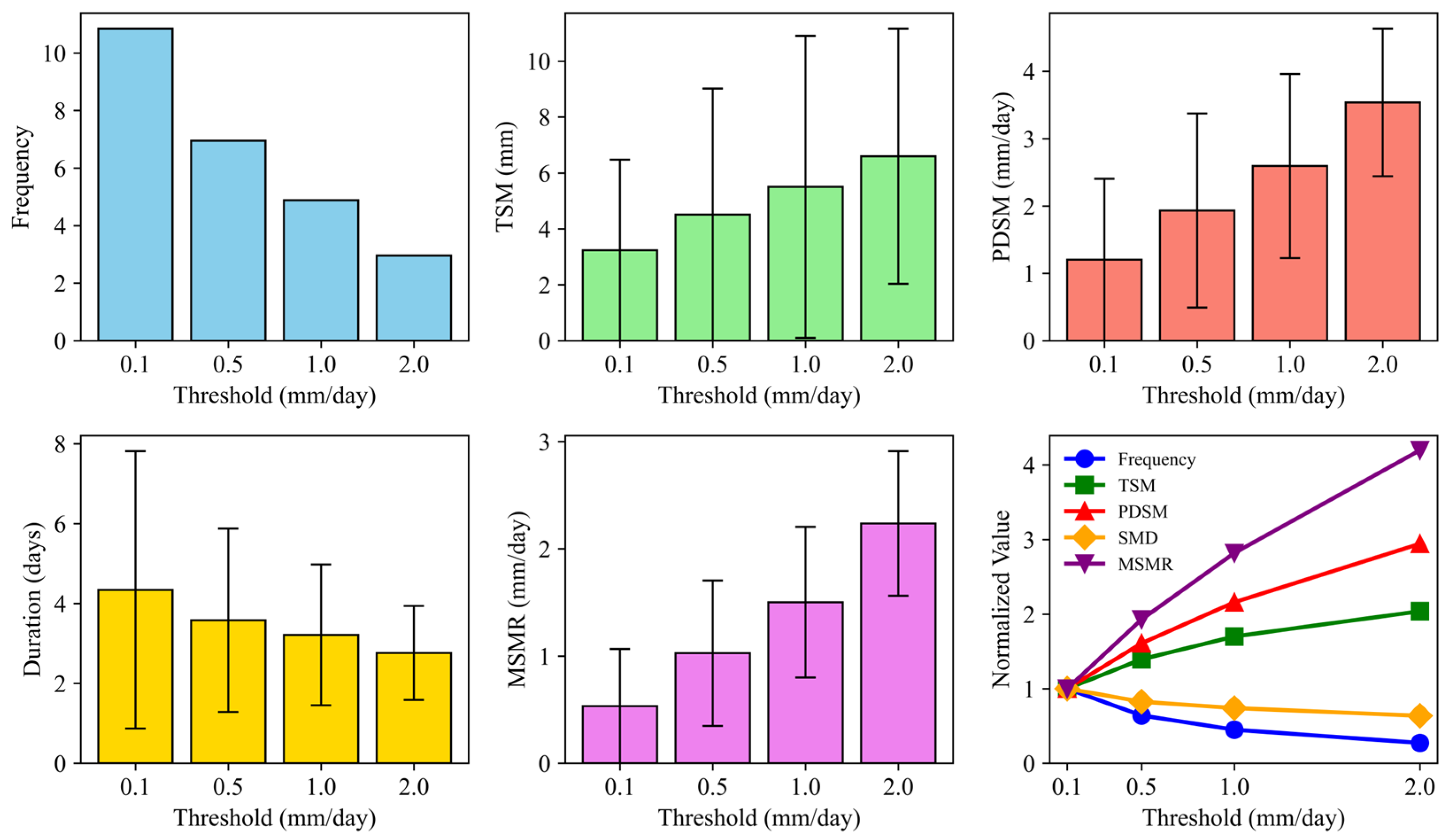
3.2.1. Changes in the Frequency of Snowmelt Events
3.2.2. Shifts in Event Magnitude and Duration
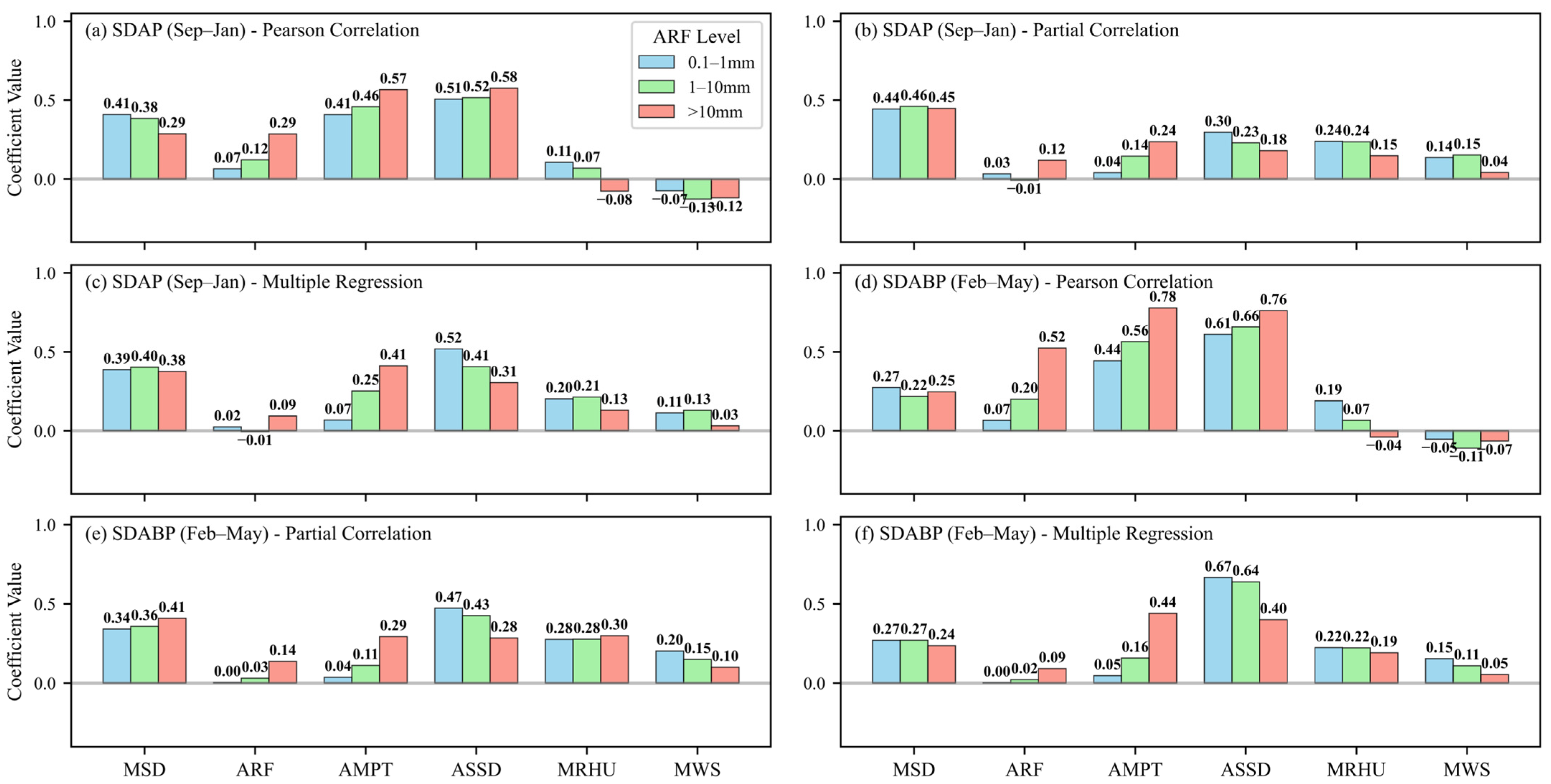
3.3. Dominant Climatic Drivers of Event Total Snowmelt
4. Discussion
4.1. Elevational Dependency in the Snowmelt Response to Climate Warming
4.2. Earlier Snowmelt Onset Reconfigures the Spring Hydrograph
4.3. Shifting Drivers of Snowmelt Events
4.4. Uncertainty and Limitations
5. Conclusions
Author Contributions
Funding
Data Availability Statement
Conflicts of Interest
Abbreviations
| SRB | Songhua River Basin |
| SDAP | Snow Depth Accumulation Period |
| SDABP | Snow Depth Ablation Period |
| TSM | Total Snowmelt |
| PDSM | Peak Daily Snowmelt |
| SMD | Snowmelt Duration |
| MSMR | Mean Snowmelt Rate |
| MSD | Mean Snow Depth |
| MRHU | Mean Relative Humidity |
| MWS | Mean Wind Speed |
| ARF | Accumulative Rainfall |
| AMPT | Accumulative Maximum Positive Temperature |
| ASSD | Accumulative Sunshine Duration |
| CSD | Complete Snow Depletion |
| ICSD | Incomplete Snow Depletion |
| ROS | Rain-on-Snow |
| ROSm | Rain-on-Snow Melt |
References
- Zhang, T. Influence of the seasonal snow cover on the ground thermal regime: An overview. Rev. Geophys. 2005, 43, RG4002. [Google Scholar] [CrossRef]
- Welty, J.; Zeng, X. Characteristics and causes of extreme snowmelt over the conterminous United States. Bull. Am. Meteorol. Soc. 2021, 102, E1526–E1542. [Google Scholar] [CrossRef]
- Bennett, K.E.; Cannon, A.J.; Hinzman, L. Historical trends and extremes in boreal Alaska river basins. J. Hydrol. 2015, 527, 590–607. [Google Scholar] [CrossRef]
- Brandt, A.C.; Zhang, Q.; Lopez Caceres, M.L.; Murayama, H. Soil temperature and soil moisture dynamics in winter and spring under heavy snowfall conditions in North-Eastern Japan. Hydrol. Process. 2020, 34, 3235–3251. [Google Scholar] [CrossRef]
- Cho, E.; McCrary, R.R.; Jacobs, J.M. Future changes in snowpack, snowmelt, and runoff potential extremes over North America. Geophys. Res. Lett. 2021, 48, e2021GL094985. [Google Scholar] [CrossRef]
- Pulliainen, J.; Luojus, K.; Derksen, C.; Mudryk, L.; Lemmetyinen, J.; Salminen, M.; Ikonen, J.; Takala, M.; Cohen, J.; Smolander, T.; et al. Patterns and trends of Northern Hemisphere snow mass from 1980 to 2018. Nature 2020, 581, 294–298. [Google Scholar] [CrossRef] [PubMed]
- Xiao, X.; Zhang, T.; Zhong, X.; Li, X. Spatiotemporal variation of snow depth in the Northern Hemisphere from 1992 to 2016. Remote Sens. 2020, 12, 2728. [Google Scholar] [CrossRef]
- Notarnicola, C. Hotspots of snow cover changes in global mountain regions over 2000–2018. Remote Sens. Environ. 2020, 243, 111781. [Google Scholar] [CrossRef]
- Wu, X.; Che, T.; Li, X.; Wang, N.; Yang, X. Slower snowmelt in spring along with climate warming across the Northern Hemisphere. Geophys. Res. Lett. 2018, 45, 12331–12339. [Google Scholar] [CrossRef]
- Li, X.; Cui, P.; Zhang, X.Q.; Zhang, F. Intensified warming suppressed the snowmelt in the Tiβn Plateau. Adv. Clim. Change Res. 2024, 15, 452–463. [Google Scholar] [CrossRef]
- Zhu, X.; Wu, T.; Li, R.; Wang, S.; Hu, G.; Wang, W.; Qin, Y.; Yang, S. Characteristics of the ratios of snow, rain and sleet to precipitation on the Qinghai-Tibet Plateau during 1961–2014. Quat. Int. 2017, 444, 137–150. [Google Scholar] [CrossRef]
- Hotovy, O.; Nedelcev, O.; Jenicek, M. Changes in rain-on-snow events in mountain catchments in the rain-snow transition zone. Hydrol. Sci. J. 2023, 68, 572–584. [Google Scholar] [CrossRef]
- Surfleet, C.G.; Tullos, D. Variability in effect of climate change on rain-on-snow peak flow events in a temperate climate. J. Hydrol. 2013, 479, 24–34. [Google Scholar] [CrossRef]
- Yang, Y.; You, Q.; Smith, T.; Kelly, R.; Kang, S. Spatiotemporal dipole variations of spring snowmelt over Eurasia. Atmos. Res. 2023, 295, 107042. [Google Scholar] [CrossRef]
- Qi, W.; Feng, L.; Liu, J.; Yang, H. Snow as an important natural reservoir for runoff and soil moisture in Northeast China. J. Geophys. Res. Atmos. 2020, 125, e2020JD033086. [Google Scholar] [CrossRef]
- Ren, G.; Ding, Y.; Zhao, Z.; Zheng, J.; Wu, T.; Tang, G.; Xu, Y. Recent progress in studies of climate change in China. Adv. Atmos. Sci. 2012, 29, 958–977. [Google Scholar] [CrossRef]
- Zhong, K.; Zheng, F.; Zhang, X.; Qin, C.; Xu, X.; Lalic, B.; Ćupina, B. Dynamic changes in snowfall extremes in the Songhua River Basin, Northeastern China. Int. J. Climatol. 2021, 41, 423–438. [Google Scholar] [CrossRef]
- Gou, J.; Miao, C.; Han, J. Spatiotemporal changes in temperature and precipitation over the Songhua River Basin between 1961 and 2014. Glob. Ecol. Conserv. 2020, 24, e01261. [Google Scholar] [CrossRef]
- Li, F.; Zhang, G.; Xu, Y.J. Spatiotemporal variability of climate and streamflow in the Songhua River Basin, northeast China. J. Hydrol. 2014, 514, 53–64. [Google Scholar] [CrossRef]
- Che, T.; Dai, L.; Li, X. Long-Term Series of Daily Snow Depth Dataset in China (1979–2024); National Tiβn Plateau/Third Pole Environment Data Center: Beijing, China, 2015. [Google Scholar] [CrossRef]
- Tan, X.J.; Wu, Z.N.; Mu, X.M.; Gao, P.; Zhao, G.; Sun, W.; Gu, C. Spatiotemporal changes in snow cover over China during 1960–2013. Atmos. Res. 2019, 218, 183–194. [Google Scholar] [CrossRef]
- Yan, D.; Zhang, Y. Investigating snow cover duration changes based on a cloud-free snow cover product developed using a spatiotemporal cloud removal method for Northeast China. Int. J. Digit. Earth 2025, 18, 2497520. [Google Scholar] [CrossRef]
- Wei, Y.L.; Li, X.F.; Gu, L.J.; Zheng, Z.; Zheng, X.; Jiang, T. Significant decreasing trends in snow cover and duration in Northeast China during the past 40 years from 1980 to 2020. J. Hydrol. 2023, 626, 130318. [Google Scholar] [CrossRef]
- Gorodetskaya, I.V.; Durán-Alarcón, C.; González-Herrero, S.; Clem, K.R.; Zou, X.; Rowe, P.; Imazio, P.R.; Campos, D.; Santos, C.L.-D.; Dutrievoz, N.; et al. Record-high Antarctic Peninsula temperatures and surface melt in February 2022: A compound event with an intense atmospheric river. Npj Clim. Atmos. Sci. 2023, 6, 202. [Google Scholar] [CrossRef]
- Puggaard, A.; Hansen, N.; Mottram, R.; Nagler, T.; Scheiblauer, S.; Simonsen, S.B.; Sørensen, L.S.; Wuite, J.; Solgaard, A.M. Bias in modeled Greenland Ice Sheet melt revealed by ASCAT. Cryosphere 2025, 19, 2963–2981. [Google Scholar] [CrossRef]
- Mohammed, A.; Ebtehaj, A.; Cohen, J.; Foufoula-Georgiou, E. On risk of rain on snow over high-latitude coastal areas in North America. Geophys. Res. Lett. 2025, 52, e2025GL114775. [Google Scholar] [CrossRef]
- Li, S.; Luo, C.; Lu, H. The spatial and temporal distribution of rain-on-snow events and their driving factors in China. Hydrol. Process. 2025, 39, e70098. [Google Scholar] [CrossRef]
- Tian, L.; Li, H.; Li, F.; Li, X.; Du, X.; Ye, X. Identification of key influence factors and an empirical formula for spring snowmelt-runoff: A case study in mid-temperate zone of northeast China. Sci. Rep. 2018, 8, 16950. [Google Scholar] [CrossRef]
- Cui, L.; Wang, L.; Lai, Z.; Tian, Q.; Liu, W.; Li, J. Innovative trend analysis of annual and seasonal air temperature and rainfall in the Yangtze River Basin, China during 1960–2015. J. Atmos. Sol. Terr. Phys. 2017, 164, 48–59. [Google Scholar] [CrossRef]
- Hussain, A.; Cao, J.; Ali, S.; Muhammad, S.; Ullah, W.; Hussain, I.; Akhtar, M.; Wu, X.; Guan, Y.; Zhou, J. Observed trends and variability of seasonal and annual precipitation in Pakistan during 1960–2016. Int. J. Climatol. 2022, 42, 8313–8332. [Google Scholar] [CrossRef]
- Mondal, A.; Khare, D.; Kundu, S. Spatial and temporal analysis of rainfall and temperature trend of India. Theor. Appl. Climatol. 2015, 122, 143–158. [Google Scholar] [CrossRef]
- Sen, P.K. Estimates of the regression coefficient based on Kendall’s tau. J. Am. Stat. Assoc. 1968, 63, 1379–1389. [Google Scholar] [CrossRef]
- Kendall, M.G. Rank Correlation Methods, 4th ed.; Charles Griffin: London, UK, 1975. [Google Scholar]
- Mann, H.B. Nonparametric tests against trend. Econometrica 1945, 13, 245–259. [Google Scholar] [CrossRef]
- Ban, C.; Xu, Z.; Zuo, D.; Liu, X.; Zhang, R.; Wang, J. Vertical influence of temperature and precipitation on snow cover variability in the Yarlung Zangbo River basin, China. Int. J. Climatol. 2021, 41, 1148–1161. [Google Scholar] [CrossRef]
- Song, X.; Song, S.; Sun, W.; Mu, X.; Wang, S.; Li, J.; Li, Y. Recent changes in extreme precipitation and drought over the Songhua River Basin, China, during 1960–2013. Atmos. Res. 2015, 157, 137–152. [Google Scholar] [CrossRef]
- Yuan, Q.; Wang, H.W.; Ma, X.F.; Zhang, J.; Yang, R. Relationship between vegetation phenology and snow cover changes dur-ing 2001–2018 in the Qilian Mountains. Ecol. Indic. 2021, 133, 108351. [Google Scholar] [CrossRef]
- Karagioras, A.; Kourtidis, K. Study of the influence of local meteorology on the atmospheric potential gradi-ent. Atmos. Res. 2025, 323, 108168. [Google Scholar] [CrossRef]
- Rikiishi, K.; Nakasato, H. Height dependence of the tendency for reduction in seasonal snow cover in the Himalaya and the Tiβn Plateau region, 1966–2001. Ann. Glaciol. 2006, 43, 369–377. [Google Scholar] [CrossRef]
- Young, S.S. Global and regional snow cover decline: 2000–2022. Climate 2023, 11, 162. [Google Scholar] [CrossRef]
- Yang, Y.; Chen, R.; Liu, G.; Liu, Z.; Wang, X. Trends and variability in snowmelt in China under climate change. Hydrol. Earth Syst. Sci. 2022, 26, 305–329. [Google Scholar] [CrossRef]
- Morán-Tejeda, E.; López-Moreno, J.I.; Beniston, M. The changing roles of temperature and precipitation on snowpack variability in Switzerland as a function of altitude. Geophys. Res. Lett. 2013, 40, 2131–2136. [Google Scholar] [CrossRef]
- Wu, S.; Zhang, X.; Du, J.; Zhou, X.; Tuo, Y.; Li, R.; Duan, Z. The vertical influence of temperature and precipitation on snow cover variability in the Central Tianshan Mountains, Northwest China. Hydrol. Process. 2019, 33, 1686–1697. [Google Scholar] [CrossRef]
- Choi, G.; Robinson, D.A.; Kang, S. Changing Northern Hemisphere snow seasons. J. Clim. 2010, 23, 5305–5310. [Google Scholar] [CrossRef]
- Vorkauf, M.; Marty, C.; Kahmen, A.; Hiltbrunner, E. Past and future snowmelt trends in the Swiss Alps: The role of temperature and snowpack. Clim. Change 2021, 165, 44. [Google Scholar] [CrossRef]
- Wei, P.; Hao, L.; Fu, Q.; Liu, H.; Ren, Y.; Li, T. Analysis of spring drought in Northeast China from the perspective of atmosphere, snow cover, and soil. CATENA 2024, 236, 107715. [Google Scholar] [CrossRef]
- Chen, X.; Li, X.; Jiang, B.; Su, J.; Zheng, X.; Wang, G. Prediction of spring agricultural drought using machine learning algorithms in the southern Songnen Plain. Land Degrad. Dev. 2023, 34, 3836–3849. [Google Scholar] [CrossRef]
- Wei, P.; Su, Y.; Fu, Q.; Ren, Y.; Li, T. Study on the driving factors of spring agricultural drought in Northeast China from the perspective of atmosphere and snow cover. Agric. Water Manag. 2025, 317, 109620. [Google Scholar] [CrossRef]
- Zhou, G.; Cui, M.; Wan, J.; Zhang, S. A review on snowmelt models: Progress and prospect. Sustainability 2021, 13, 11485. [Google Scholar] [CrossRef]
- Sun, N.; Wigmosta, M.S.; Yan, H.; Eldardiry, H.; Yang, Z.; Deb, M.; Wang, T.; Judi, D. Amplified extreme floods and shifting flood mechanisms in the Delaware River Basin in future climates. Earths Future 2024, 12, e2023EF003868. [Google Scholar] [CrossRef]
- Ye, H.; Yang, D.; Robinson, D. Winter rain on snow and its association with air temperature in northern Eurasia. Hydrol. Process. 2008, 22, 2728–2736. [Google Scholar] [CrossRef]
- Kumar, N.; Kar, K.K.; Srivastava, S.; Koya, S.R.; Pokharel, S.; Likins, M.; Roy, T. Trends and causal structures of rain-on-snow flooding. J. Hydrol. 2025, 662, 133938. [Google Scholar] [CrossRef]
- Li, Y.; Sun, F.; Chen, Y.; Fang, G.; Li, Z.; Duan, W.; Qin, J.; Zhang, X.; Li, B. Unraveling the complexities of rain-on-snow events in High Mountain Asia. Npj Clim. Atmos. Sci. 2025, 8, 118. [Google Scholar] [CrossRef]
- Yang, T.; Chen, X.; Hamdi, R.; Li, L.; Cui, F.; De Maeyer, P.; Duan, W. Rainfall-driven extreme snowmelt will increase in the Tianshan and Pamir regions under future climate projection. J. Geophys. Res. Atmos. 2025, 130, e2024JD042323. [Google Scholar] [CrossRef]
- Ari, G.; Liu, D.W.; Zhao, X.C.; Zhang, Q. Snow droughts over 1951–2021 show a decreasing and then increasing trend. Atmos. Res. 2025, 325, 108237. [Google Scholar] [CrossRef]




















Disclaimer/Publisher’s Note: The statements, opinions and data contained in all publications are solely those of the individual author(s) and contributor(s) and not of MDPI and/or the editor(s). MDPI and/or the editor(s) disclaim responsibility for any injury to people or property resulting from any ideas, methods, instructions or products referred to in the content. |
© 2025 by the authors. Licensee MDPI, Basel, Switzerland. This article is an open access article distributed under the terms and conditions of the Creative Commons Attribution (CC BY) license.
Share and Cite
Li, X.; Zhang, G.; Qi, P.; Li, F.; Zhang, W.; Liu, F. Shifting Snowmelt Regime in a High-Latitude Asian Basin: Insights from the Songhua River Basin. Hydrology 2026, 13, 4. https://doi.org/10.3390/hydrology13010004
Li X, Zhang G, Qi P, Li F, Zhang W, Liu F. Shifting Snowmelt Regime in a High-Latitude Asian Basin: Insights from the Songhua River Basin. Hydrology. 2026; 13(1):4. https://doi.org/10.3390/hydrology13010004
Chicago/Turabian StyleLi, Xingxiu, Guangxin Zhang, Peng Qi, Fengping Li, Weiguo Zhang, and Fan Liu. 2026. "Shifting Snowmelt Regime in a High-Latitude Asian Basin: Insights from the Songhua River Basin" Hydrology 13, no. 1: 4. https://doi.org/10.3390/hydrology13010004
APA StyleLi, X., Zhang, G., Qi, P., Li, F., Zhang, W., & Liu, F. (2026). Shifting Snowmelt Regime in a High-Latitude Asian Basin: Insights from the Songhua River Basin. Hydrology, 13(1), 4. https://doi.org/10.3390/hydrology13010004

