Climate Change and Its Potential Impact on the Conservation of Wooden Pole Dwellings in Lake Bolsena: Insights from Climate Proxy Data and High-Frequency Water Monitoring
Abstract
1. Introduction
2. Materials and Methods
2.1. Site Description
2.2. Dataset Presentation
2.3. Methods
2.3.1. UAV Imaging Analysis and Multispectral Analysis
2.3.2. Sediment Analysis
3. Results and Discussions
3.1. Description of Seasonal Climate in Bolsena
3.2. Temporal Analysis of Bolsena Climate
3.3. Water Data Analysis
3.4. Water Analysis Close to Archaeological Settlement
3.5. Correlation Between Climatic and Water Properties
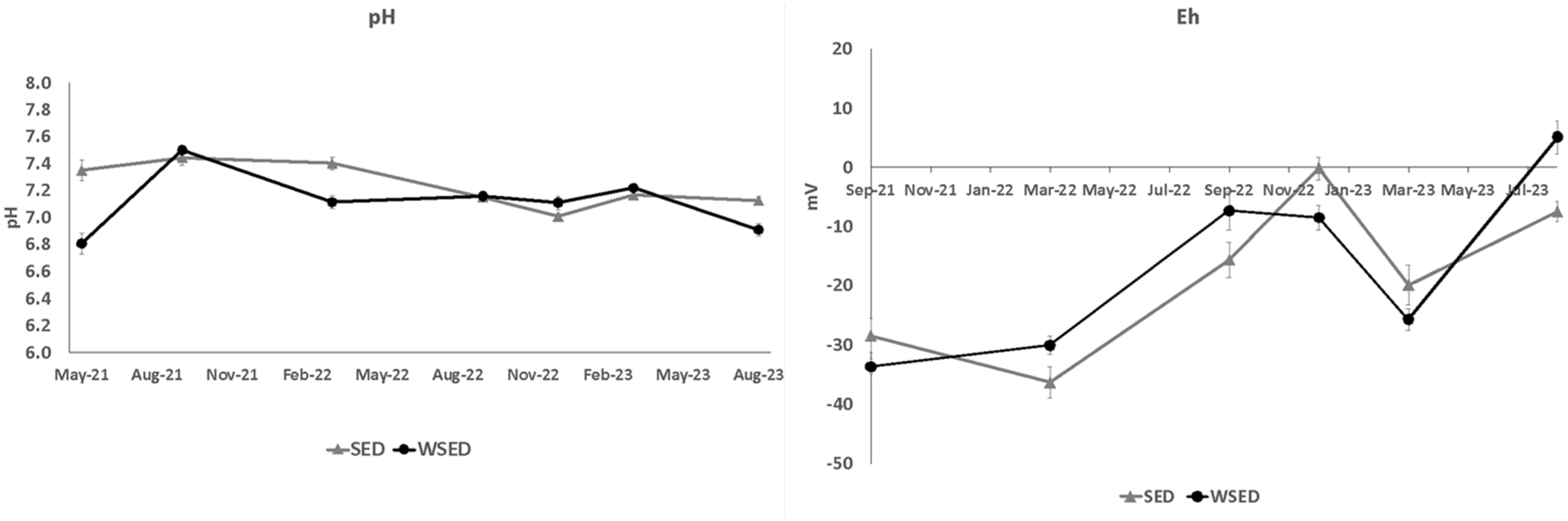
3.6. Sediment
3.7. Possible Scenario for Wood Degradation in Waterlogged Lake Conditions
4. Conclusions
Supplementary Materials
Author Contributions
Funding
Data Availability Statement
Acknowledgments
Conflicts of Interest
References
- Adrian, R.; O’Reilly, C.M.; Zagarese, H.; Baines, S.B.; Hessen, D.O.; Keller, W.; Livingstone, D.M.; Sommaruga, R.; Straile, D.; Van Donk, E.; et al. Lakes as sentinels of climate change. Limnol. Oceanogr. 2009, 54 Pt 2, 2283–2297. [Google Scholar] [CrossRef]
- Gosling, S.N.; Arnell, N.W. A global assessment of the impact of climate change on water scarcity. Clim. Change 2016, 134, 371–385. [Google Scholar] [CrossRef]
- Pi, X.; Luo, Q.; Feng, L.; Xu, Y.; Tang, J.; Liang, X.; Ma, E.; Cheng, R.; Fensholt, R.; Brandt, M.; et al. Mapping global lake dynamics reveals the emerging roles of small lakes. Nat. Commun. 2022, 13, 5777. [Google Scholar] [CrossRef] [PubMed]
- Shin, S.; Her, Y.; Muñoz-Carpena, R.; Yu, X.; Martinez, C.; Singh, A. Climate change impacts on water quantity and quality of a watershed-lake system using a spatially integrated modeling framework in the Kissimmee River—Lake Okeechobee system. J. Hydrol. Reg. Stud. 2023, 47, 101408. [Google Scholar] [CrossRef]
- Mao, Z.; Cheng, J.; Xu, L.; Jiang, M.; You, H. Comprehensive Assessment of Water Quality of China’s Largest Freshwater Lake Under the Impact of Extreme Floods and Droughts. Hydrology 2025, 12, 192. [Google Scholar] [CrossRef]
- Woolway, R.I.; Sharma, S.; Weyhenmeyer, G.A.; Debolskiy, A.; Golub, M.; Mercado-Bettín, D.; Perroud, M.; Stepanenko, V.; Tan, Z.; Grant, L.; et al. Phenological shifts in lake stratification under climate change. Nat. Commun. 2021, 12, 2318. [Google Scholar] [CrossRef]
- Botrel, M.; Maranger, R. Global historical trends and drivers of submerged aquatic vegetation quantities in lakes. Glob. Change Biol. 2023, 29, 2493–2509. [Google Scholar] [CrossRef]
- North American Lake Management Society Climate Change Impacts on Lakes. Available online: https://www.nalms.org/nalms-position-papers/climate-change-impacts-on-lakes/ (accessed on 15 July 2025).
- Vad, C.F.; Hanny-Endrédi, A.; Kratina, P.; Abonyi, A.; Mironova, E.; Murray, D.S.; Samchyshyna, L.; Tsakalakis, I.; Smeti, E.; Spatharis, S.; et al. Spatial insurance against a heatwave differs between trophic levels in experimental aquatic communities. Glob. Change Biol. 2023, 29, 3054–3071. [Google Scholar] [CrossRef]
- Rogora, M.; Frate, L.; Carranza, M.L.; Freppaz, M.; Stanisci, A.; Bertani, I.; Bottarin, R.; Brambilla, A.; Canullo, R.; Carbognani, M.; et al. Assessment of climate change effects on mountain ecosystems through a cross-site analysis in the Alps and Apennines. Sci. Total Environ. 2018, 624, 1429–1442. [Google Scholar] [CrossRef]
- Kelly, M.R.; Moriarty, V.W.; Kolar, H.R.; Auger, G.A.R.; Henderson, M.E.; Watson, C.D.; Relyea, R.A.; Scholz, C.A.; Driscoll, C.T.; Rose, K.C. A sequence of weather-driven hydrodynamic events stimulates the formation of harmful algal blooms on an oligotrophic lake. Limnol. Oceanogr. 2024, 69, 1826–1844. [Google Scholar] [CrossRef]
- Kaya, Y. Slope-aware and self-adaptive forecasting of water levels: A transparent model for the Great Lakes under climate variability. J. Hydrol. 2025, 662, 133948. [Google Scholar] [CrossRef]
- Kaya, Y. Evaluation of ICESat-2 Laser Altimetry for Inland Water Level Monitoring: A Case Study of Canadian Lakes. Water 2025, 17, 1098. [Google Scholar] [CrossRef]
- High, K.E.; Penkman, K.E.H. A review of analytical methods for assessing preservation in waterlogged archaeological wood and their application in practice. Herit. Sci. 2020, 8, 83. [Google Scholar] [CrossRef]
- Matthiesen, H.; Hollesen, J.; Dunlop, R.; Seither, A.; de Beer, J. In situ Measurements of Oxygen Dynamics in Unsaturated Archaeological Deposits. Archaeometry 2015, 57, 1078–1094. [Google Scholar] [CrossRef]
- Humar, M.; Balzano, A.; Kržišnik, D.; Lesar, B. Assessment of Wooden Foundation Piles after 125 Years of Service. Forests 2021, 12, 143. [Google Scholar] [CrossRef]
- Romagnoli, M.; Galotta, G.; Antonelli, F.; Sidoti, G.; Humar, M.; Kržišnik, D.; Čufar, K.; Davidde Petriaggi, B. Micro-morphological, physical and thermogravimetric analyses of waterlogged archaeological wood from the prehistoric village of Gran Carro (Lake Bolsena-Italy). J. Cult. Herit. 2018, 33, 30–38. [Google Scholar] [CrossRef]
- Sidoti, G.; Antonelli, F.; Galotta, G.; Moscatelli, C.; Kržišnik, D.; Vinciguerra, V.; Tamantini, S.; Marabottini, R.; Macro, N.; Romagnoli, M. Mineral compounds in oak waterlogged archaeological wood and volcanic lake compartments. EGUsphere 2023, 20, 3137–3149. [Google Scholar]
- Barbaro, B.; Severi, E. L’abitato Sommerso della Prima età del Ferro del Gran Carro di Bolsena: Verso una Nuova Prospettiva Analysis Archaeologica. 2018, pp. 25–51. Available online: http://digital.casalini.it/9788854911420 (accessed on 15 July 2025).
- Williams, J. Thirty Years of Monitoring in England—What Have We Learnt? Conserv. Manag. Archaeol. Sites 2012, 14, 442–457. [Google Scholar] [CrossRef]
- Mosello, R.; Arisci, S.; Bruni, P. Lake Bolsena (Central Italy): An updating study on its water chemistry. J. Limnol. 2004, 63, 1–12. [Google Scholar] [CrossRef]
- Carollo, A.; Barbanti, L.; Gerletti, M.; Ferrari, I.; Nocentini, A.M.; Bonomi, G.; Ruggiu, D.; Tonolli, L. Indagini Limnologiche sui Laghi di Bolsena, Bracciano, Vico e Trasimeno; Istituto di Ricerca sulle Acque (IRSA), Consiglio Nazionale delle Ricerche (CNR): Verbania Pallanza, Italy, 1974; p. 179. [Google Scholar]
- Mosello, R.; Bruni, P.; Rogora, M.; Tartari, G.; Dresti, C. Long-term change in the trophic status and mixing regime of a deep volcanic lake (Lake Bolsena, Central Italy). Limnologica 2018, 72, 1–9. [Google Scholar] [CrossRef]
- Persiani, C. Il lago di Bolsena nella Preistoria. In Sul filo della Corrente—La Navigazione Nelle Acque Interne in Italia Centrale, Dalla Preistoria All’età Moderna; Petitti, P., Ed.; Società Cooperativa ARX: Montefiascone, Italy, 2009; pp. 39–82. [Google Scholar]
- Kottek, M.; Grieser, J.; Beck, C.; Rudolf, B.; Rubel, F. World Map of the Köppen-Geiger Climate Classification Updated. Meteorol. Z. 2006, 15, 259–263. [Google Scholar] [CrossRef]
- Blasi, C. Fitoclimatologia del Lazio. Università La Sapienza; Regione Lazio: Rome, Italy, 1994. [Google Scholar]
- Civil Protection Department. Hydrometeorological Network; Regione Lazio: Rome, Italy, 2023. [Google Scholar]
- ARSIAL. Agrometeorological Network; Regione Lazio: Rome, Italy, 2023. [Google Scholar]
- ARPA Lazio. Sistema Informativo Regionale Ambientale del Lazio; Regione Lazio: Rome, Italy, 2023. [Google Scholar]
- Bruni, P. Stato Ecologico del Lago di Bolsena 2022; Associazione Bolsena Lago d’Europa: Bolsena, Italy, 2022. [Google Scholar]
- Nanni, G.; Minutolo, A. Report Città-Clima 2023—Speciale Alluvioni; Legambiente: Rome, Italy, 2023. [Google Scholar]
- Kendall, M.G. A new measure of rank correlation. Biometrika 1938, 30, 81–93. [Google Scholar] [CrossRef]
- Mann, H.B. Nonparametric tests against trend. Econom. J. Econom. Soc. 1945, 13, 245–259. [Google Scholar] [CrossRef]
- Sen, P.K. Estimates of the regression coefficient based on Kendall’s tau. J. Am. Stat. Assoc. 1968, 63, 1379–1389. [Google Scholar] [CrossRef]
- Şen, Z. Innovative Trend Analysis Methodology. J. Hydrol. Eng. 2012, 17, 1042–1046. [Google Scholar] [CrossRef]
- JRC. Photovoltaic Geographical Information System (PVGIS); European Commission, Joint Research Centre (JRC): Brussels, Belgium, 2023. [Google Scholar]
- Moscatelli, M.C.; Marabottini, R.; Tamantini, S.; Di Buduo, G.M.; Galotta, G.; Antonelli, F.; Romagnoli, M. Sediments surrounding waterlogged archaeological wood: Could arsenic be involved in preserving wooden pile dwelling from microbial decay? The Gran Carro case study (Lake Bolsena, central Italy). J. Cult. Herit. 2025, 75, 12–22. [Google Scholar] [CrossRef]
- Van Reeuwijk, L.P. Procedures for Soil Analysis, 6th ed.; Technical Paper No. 9; International Soil Reference and Information Centre (ISRIC): Wageningen, The Netherlands, 2002. [Google Scholar]
- Salmaso, N.; Mosello, R.; Garibaldi, L.; Decet, F.; Maria, C.; Brizzio; Cordella, P. Vertical mixing as a determinant of trophic status in deep lakes: A case study from two lakes south of the Alps (Lake Garda and Lake Iseo). Educ. J. Limnol. 2002, 62, 33–41. [Google Scholar] [CrossRef]
- Cui, Y.; Zhang, X.; Liu, Y. Radiative and Aerodynamic Contribution to Evaporation: Eddy-Covariance Comparison Between a Plain and a Plateau Lake. Earth Space Sci. 2021, 8, e2021EA001913. [Google Scholar] [CrossRef]
- Wang, Y.; Meili, N.; Fatichi, S. Ecohydrological responses to solar radiation changes. Hydrol. Earth Syst. Sci. 2025, 29, 381–396. [Google Scholar] [CrossRef]
- Heck, K.; Coltman, E.; Schneider, J.; Helmig, R. Influence of Radiation on Evaporation Rates: A Numerical Analysis. Water Resour. Res. 2020, 56, e2020WR027332. [Google Scholar] [CrossRef]
- Williamson, C.E.; Saros, J.E.; Vincent, W.F.; Smol, J.P. Lakes and reservoirs as sentinels, integrators, and regulators of climate change. Limnol. Oceanogr. 2009, 54 Pt 2, 2273–2282. [Google Scholar] [CrossRef]
- North, R.P.; North, R.L.; Livingstone, D.M.; Köster, O.; Kipfer, R. Long-term changes in hypoxia and soluble reactive phosphorus in the hypolimnion of a large temperate lake: Consequences of a climate regime shift. Glob. Change Biol. 2014, 20, 811–823. [Google Scholar] [CrossRef] [PubMed]
- Tranvik, L.J.; Downing, J.A.; Cotner, J.B.; Loiselle, S.A.; Striegl, R.G.; Ballatore, T.J.; Dillon, P.; Finlay, K.; Fortino, K.; Knoll, L.B.; et al. Lakes and reservoirs as regulators of carbon cycling and climate. Limnol. Oceanogr. 2009, 54 Pt 2, 2298–2314. [Google Scholar] [CrossRef]
- Blanchette, R.A. A review of microbial deterioration found in archaeological wood from different environments. Int. Biodeterior. Biodegrad. 2000, 46, 189–204. [Google Scholar] [CrossRef]
- Huisman, D.J.; Kretschmar, E.I.; Lamersdorf, N. Characterising physicochemical sediment conditions at selected bacterial decayed wooden pile foundation sites in the Netherlands, Germany, and Italy. Int. Biodeterior. Biodegrad. 2008, 61, 117–125. [Google Scholar] [CrossRef]
- Björdal, C.G.; Elam, J. Bacterial degradation of nine wooden foundation piles from Gothenburg historic city center and correlation to wood quality, environment, and time in service. Int. Biodeterior. Biodegrad. 2021, 164, 105288. [Google Scholar] [CrossRef]
- Søndergaard, M. Redox Potential. In Encyclopedia of Inland Waters; Likens, G.E., Ed.; Academic Press: Oxford, UK, 2009; pp. 852–859. [Google Scholar]
- Manahan, S.E. Environmental Chemistry, 7th ed.; Lewis Publishers: Boca Raton, FL, USA, 2000. [Google Scholar]
- Bruni, P. Il livello del lago di Bolsena; Associazione Bolsena Lago d’Europa: Bolsena, Italy, 2022. [Google Scholar]
- Li, N.; Zhang, Y.; Zhang, Y.; Shi, K.; Qian, H.; Yang, H.; Niu, Y.; Qin, B.; Zhu, G.; Woolway, R.I.; et al. The unprecedented 2022 extreme summer heatwaves increased harmful cyanobacteria blooms. Sci. Total Environ. 2023, 896, 165312. [Google Scholar] [CrossRef]
- Munson, B.H.; Axler, R.; Hagley, C.; Host, G.; Merrick, G.; Richards, C. pH. Available online: https://waterontheweb.org/under/waterquality/ph.html (accessed on 15 July 2025).
- Di Matteo, L.; Dragoni, W.; Giontella, C.; Melillo, M. Impact of Climatic Change on the Management of Complex Systems: The Case of the Bolsena Lake and Its Aquifer, Central Italy. In Proceedings of the 33rd International Geological Congress—Hydrogeology, Olso, Norway, 6–14 August 2008; Paliwal, B.S., Ed.; Scientific publisher, Jodhpur (India): Olso, Norway, 2008. [Google Scholar]
- Livingstone, D.M. A Change of Climate Provokes a Change of Paradigm: Taking Leave of Two Tacit Assumptions about Physical Lake Forcing. Int. Rev. Hydrobiol. 2008, 93, 404–414. [Google Scholar] [CrossRef]
- Straile, D.; Livingstone, D.M.; Weyhenmeyer, G.A.; George, D.G. The Response of Freshwater Ecosystems to Climate Variability Associated with the North Atlantic Oscillation. In The North Atlantic Oscillation: Climatic Significance and Environmental Impact; American Geophysical Union: Washington, DC, USA, 2003; pp. 263–279. [Google Scholar]
- Di Francesco, S.; Biscarini, C.; Montesarchio, V.; Manciola, P. On the role of hydrological processes on the water balance of Lake Bolsena, Italy. Lakes Reserv. Sci. Policy Manag. Sustain. Use 2016, 21, 45–55. [Google Scholar] [CrossRef]
- Jordan, B.A. Site characteristics impacting the survival of historic waterlogged wood: A review. Int. Biodeterior. Biodegrad. 2001, 47, 47–54. [Google Scholar] [CrossRef]
- Kretschmar, E.I.; Keijer, H.; Nelemans, P.; Lamersdorf, N. Investigating physicochemical sediment conditions at decayed wooden pile foundation sites in Amsterdam. Int. Biodeterior. Biodegrad. 2008, 61, 85–95. [Google Scholar] [CrossRef]
- US EPA. Supplemental Guidance for Developing Soil Screening Levels for Superfund Sites. In Soil Screening Guidance; United States Environmental Protection Agency (US EPA): Washington, DC, USA, 2002. [Google Scholar]
- Blanchette, R.A.; Nilsson, T.; Daniel, G.; Abad, A. Biological Degradation of Wood. In Archaeological Wood: Properties, Chemistry and Preservation; Rowell, R.M., Barbour, R.J., Eds.; American Chemical Society: Washington, DC, USA, 1990; Volume 225, pp. 141–174. [Google Scholar]
- Antonelli, F.; Galotta, G.; Sidoti, G.; Zikeli, F.; Nisi, R.; Davidde Petriaggi, B.; Romagnoli, M. Cellulose and lignin nano-scale consolidants for waterlogged archaeological wood. Front. Chem. 2020, 8, 32. [Google Scholar] [CrossRef]
- Yang, J.; Jiang, H.; Dong, H.; Wang, H.; Wu, G.; Hou, W.; Liu, W.; Zhang, C.; Sun, Y.; Lai, Z. amoA-encoding archaea and thaumarchaeol in the lakes on the northeastern Qinghai-Tibetan Plateau, China. Front. Microbiol. 2013, 4, 56429. [Google Scholar] [CrossRef]
- Yadav, A.N.; Yadav, N.; Kour, D.; Kumar, A.; Yadav, K.; Kumar, A.; Rastegari, A.A.; Sachan, S.G.; Singh, B.; Chauhan, V.S.; et al. Chapter 1—Bacterial community composition in lakes. In Freshwater Microbiology; Bandh, S.A., Shafi, S., Shameem, N., Eds.; Academic Press: Oxford, UK, 2019; pp. 1–71. [Google Scholar]
- Nilsson, T.; Björdal, C. Culturing wood-degrading erosion bacteria. Int. Biodeterior. Biodegrad. 2008, 61, 3–10. [Google Scholar] [CrossRef]













| Parameter | Abbreviation (Measurement Unit) | Source | Acquisition Type | Original Temporal Resolution | Spatial Resolution | Period | Derived Indices * | Final Resolution |
|---|---|---|---|---|---|---|---|---|
| Air temperatures | Ta (°C) | PC, ARSIAL | Weather station | Daily mean, max and min | Point | 1990–2023 | FD0, SU30, TR20, CDD | Monthly/yearly mean |
| Precipitation | P (mm) | PC, ARSIAL | Weather station | Daily total | Point | 1990–2023 | R0, R1, R10, R20, R50 CWD | Monthly/yearly mean |
| Water temperature | Tw (°C) | ARPA | Randomized sampling | 1–2 sampling per season | Point | 2014–2019 | – | Monthly mean |
| pH | pH (pH) | ARPA | Randomized sampling | 1–2 sampling per season | Point | 2014–2019 | – | Monthly mean |
| Dissolved oxygen | DO (mg/L) | ARPA | Randomized sampling | 1–2 sampling per season | Point | 2014–2019 | – | Monthly mean |
| Electrical conductivity | EC (µS/cm) | ARPA | Randomized sampling | 1–2 sampling per season | Point | 2014–2019 | – | Monthly mean |
| Water level | L (m) | ARSIAL | Randomized sampling | Daily mean, max and min | Point | 2022 | – | Monthly mean |
| Water temperature | Tw (°C) | Probe | In situ sensor | Hourly | Point | Jul 2022–Sep 2023 | – | Monthly mean |
| pH | pH (pH) | Probe | In situ sensor | Hourly | Point | Jul 2022–Sep 2023 | – | Monthly mean |
| Dissolved oxygen | DO (mg/L) | Probe | In situ sensor | Hourly | Point | Jul 2022–Sep 2023 | – | Monthly mean |
| Electrical conductivity | EC (µS/cm) | Probe | In situ sensor | Hourly | Point | Jul 2022–Sep 2023 | – | Monthly mean |
| Redox potential | Eh (mV) | Probe | In situ sensor | Hourly | Point | Jul 2022–Sep 2023 | – | Monthly mean |
| Salinity | Sal (g/kg) | Probe | In situ sensor | Hourly | Point | Jul 2022–Sep 2023 | – | Monthly mean |
| Global horizontal irradiation | GHI (kWh/m2) | EU PV-GIS | Satellite-derived dataset | Hourly | Gridded, 0.05° (~5 km) | 2005–2023 | – | Monthly/yearly mean |
| pH | pH (pH) | Probe | Randomized sampling | 1 sampling per season | Point | May 2021–Aug 2023 | – | Seasonal mean |
| Redox potential | Eh (mV) | Probe | Randomized sampling | 1 sampling per season | Point | May 2021–Aug 2023 | – | Seasonal mean |
| Available Phosphorous | AP | Probe | Randomized sampling | 1 sampling per season | Point | May 2021–Aug 2023 | – | Seasonal mean |
| Total Phosphorous | TP | Probe | Randomized sampling | 1 sampling per season | Point | May 2021–Aug 2023 | – | Seasonal mean |
| ID | Indicator Name | Definitions |
|---|---|---|
| FD0 | Frost days | Number of days when Tmin ≤ 0 °C |
| SU30 | Hot days * | Number of days when Tmax ≥ 30 °C |
| TR20 | Tropical nights | Number of days when Tmin ≥ 20 °C |
| R0 | Dry days | Number of days when PRCP < 1 mm |
| R10 | Heavy precipitation days | Number of days when PRCP ≥ 10 mm |
| CDD | Consecutive dry days | Maximum number of consecutive days with PRCP < 1 mm |
| CWD | Consecutive wet days | Maximum number of consecutive days with PRCP ≥ 1 mm |
| 2014–2019 | P (mm) 1 | Ta 2 (°C) |
|---|---|---|
| Jan | 74.5 | 6.5 |
| Feb | 82.8 | 6.6 |
| Mar | 92.1 | 9.4 |
| Apr | 49.9 | 13.4 |
| May | 65.1 | 16.9 |
| Jun | 47.6 | 21.3 |
| Jul | 38.4 | 24.4 |
| Aug | 32.3 | 24.3 |
| Sep | 67.3 | 20.0 |
| Oct | 83.8 | 15.8 |
| Nov | 123.0 | 11.3 |
| Dec | 83.7 | 7.7 |
| Cumulative | 840.4 | - |
| Mean | 70.0 ± 24.5 | 14.8 ± 6.4 |
| Variable | Description | Unit |
|---|---|---|
| Tmax | Daily maximum temperature | °C |
| Tmin | Daily minimum temperature | °C |
| Tmed | Daily mean temperature | °C |
| Tmax_lag1 | Daily maximum temperature with 1-day lag | °C |
| Tmin_lag1 | Daily minimum temperature with 1-day lag | °C |
| Tmed_lag1 | Daily mean temperature with 1-day lag | °C |
| Tmax_lag2 | Daily maximum temperature with 2-day lag | °C |
| Tmin_lag2 | Daily minimum temperature with 2-day lag | °C |
| Tmed_lag2 | Daily mean temperature with 2-day lag | °C |
| Tmax_lag3 | Daily maximum temperature with 3-day lag | °C |
| Tmin_lag3 | Daily minimum temperature with 3-day lag | °C |
| Tmed_lag3 | Daily mean temperature with 3-day lag | °C |
| P | Total daily precipitation | mm |
| P_lag1 | Total daily precipitation with 1-day lag | mm |
| P_lag2 | Total daily precipitation with 2-day lag | mm |
| P_lag3 | Total daily precipitation with 3-day lag | mm |
| Lmed | Daily mean water level | cm |
| Lmed_lag1 | Daily mean water level with 1-day lag | cm |
| Lmed_lag2 | Daily mean water level with 2-day lag | cm |
| Lmed_lag3 | Daily mean water level with 3-day lag | cm |
| Tw | Water temperature | °C |
| Osat | Oxygen saturation | % |
| DO | Dissolved oxygen | mg/L |
| pH | pH of the water | pH |
| Eh | Redox potential | mV |
| EC | Electrical conductivity | μS/cm |
| Sal | Salinity | g/kg |
| TDS | Total dissolved solids | Ppm |
| Variable | Mann–Kendall Test | Sen’s Slope | |
|---|---|---|---|
| z-Score | p-Value | ||
| Tmax | −12.54 | 0 | −0.18 |
| Tmin | −10.8 | 0 | −0.1 |
| Tmed | −12.54 | 0 | −0.14 |
| Tmax_lag1 | −12.7 | 0 | −0.18 |
| Tmin_lag1 | −10.89 | 0 | −0.1 |
| Tmed_lag1 | −12.47 | 0 | −0.14 |
| Tmax_lag2 | −12.58 | 0 | −0.18 |
| Tmin_lag2 | −10.91 | 0 | −0.1 |
| Tmed_lag2 | −12.34 | 0 | −0.14 |
| Tmax_lag3 | −12.37 | 0 | −0.18 |
| Tmin_lag3 | −11 | 0 | 0 |
| Tmed_lag3 | −12.23 | 0 | 0 |
| P | 3.55 | 0 | 0 |
| P_lag1 | 3.15 | 0 | 0 |
| P_lag2 | 3.24 | 0 | 0 |
| P_lag3 | 3.82 | 0 | 0 |
| Lmed | −2.58 | 0.01 | 0 |
| Lmed_lag1 | −2.82 | 0 | 0 |
| Lmed_lag2 | −3.11 | 0 | 0 |
| Lmed_lag3 | −3.41 | 0 | 0 |
| Tw | −14.37 | 0 | −0.11 |
| Osat | −5.8 | 0 | −0.11 |
| DO | 5.67 | 0 | 0.01 |
| pH | −2.08 | 0.04 | 0 |
| Eh | −15.07 | 0 | 0.04 |
| EC | −1.48 | 0.14 | 0 |
| Sal | −2.14 | 0.03 | 0 |
| TDS | −1.45 | 0.15 | −0.18 |
Disclaimer/Publisher’s Note: The statements, opinions and data contained in all publications are solely those of the individual author(s) and contributor(s) and not of MDPI and/or the editor(s). MDPI and/or the editor(s) disclaim responsibility for any injury to people or property resulting from any ideas, methods, instructions or products referred to in the content. |
© 2025 by the authors. Licensee MDPI, Basel, Switzerland. This article is an open access article distributed under the terms and conditions of the Creative Commons Attribution (CC BY) license (https://creativecommons.org/licenses/by/4.0/).
Share and Cite
Tamantini, S.; Moscatelli, M.C.; Cappelli, F.; Barbaro, B.; Severi, E.; Antonelli, F.; Galotta, G.; Ciabattoni, M.; Romagnoli, M. Climate Change and Its Potential Impact on the Conservation of Wooden Pole Dwellings in Lake Bolsena: Insights from Climate Proxy Data and High-Frequency Water Monitoring. Hydrology 2025, 12, 235. https://doi.org/10.3390/hydrology12090235
Tamantini S, Moscatelli MC, Cappelli F, Barbaro B, Severi E, Antonelli F, Galotta G, Ciabattoni M, Romagnoli M. Climate Change and Its Potential Impact on the Conservation of Wooden Pole Dwellings in Lake Bolsena: Insights from Climate Proxy Data and High-Frequency Water Monitoring. Hydrology. 2025; 12(9):235. https://doi.org/10.3390/hydrology12090235
Chicago/Turabian StyleTamantini, Swati, Maria Cristina Moscatelli, Francesco Cappelli, Barbara Barbaro, Egidio Severi, Federica Antonelli, Giulia Galotta, Marco Ciabattoni, and Manuela Romagnoli. 2025. "Climate Change and Its Potential Impact on the Conservation of Wooden Pole Dwellings in Lake Bolsena: Insights from Climate Proxy Data and High-Frequency Water Monitoring" Hydrology 12, no. 9: 235. https://doi.org/10.3390/hydrology12090235
APA StyleTamantini, S., Moscatelli, M. C., Cappelli, F., Barbaro, B., Severi, E., Antonelli, F., Galotta, G., Ciabattoni, M., & Romagnoli, M. (2025). Climate Change and Its Potential Impact on the Conservation of Wooden Pole Dwellings in Lake Bolsena: Insights from Climate Proxy Data and High-Frequency Water Monitoring. Hydrology, 12(9), 235. https://doi.org/10.3390/hydrology12090235

