Abstract
The Water–Ecosystem–Agriculture (WEA) relationship is pivotal to the sustainable development of arid and semi-arid areas. The WEA nexus in these areas is essential for making policies towards sustainable development. This study aims to explore the WEA nexus in three large inland river basins (Heihe River Basin, Shiyang River Basin, and Shule River Basin) in the Hexi Corridor, Northwest China, using an integrated hydrological modeling approach. The integrated model was calibrated and validated against observed streamflow data, achieving Nash–Sutcliffe Efficiencies ranging from 0.83 to 0.94 in the validation period. The major findings are as follows. First, altering the amount of irrigation water significantly affects hydrological and ecological processes in both midstream and downstream areas, influencing the WEA nexus. For example, a 20% reduction in irrigation demand led to a 0.46 billion m3/year recovery in midstream groundwater storage and a 4.3% increase in downstream ecosystem health, but resulted in a 5.4% decrease in midstream agricultural productivity. Second, intense trade-offs among agricultural productivity, ecosystem health, and groundwater sustainability were identified. These trade-offs are highly sensitive to water management strategies, particularly those affecting groundwater sustainability. Third, implementing stricter groundwater-level drawdown constraints significantly improved groundwater sustainability and ecosystem health. Fourth, this study highlighted unique WEA nexus characteristics in each of the three basins. This study provides insights into the understanding the complex WEA nexus, and the quantitative results underscore the trade-offs and synergies within the WEA nexus, providing a foundation for informed decision-making in water resource management.
1. Introduction
There are currently about 400 million people living in arid and semi-arid regions, which account for approximately 30% of the global area []. Due to the scarcity of precipitation and significant spatiotemporal distribution variability in arid and semi-arid regions, the climate is dry and the evapotranspiration is high, resulting in extremely scarce water resources, a fragile ecological environment, strong sensitivity, and susceptibility to climate change and human activities []. Over the past half-century, human water demand has sharply increased, but the corresponding water resource management methods are not mature. The rapid development of the economy in arid and semi-arid regions has led to issues such as water scarcity, ecosystem degradation, and food security. The relationships between water resources, the ecology system, and agriculture are complex []. Exploring their mutual feedback process is helpful for making decisions on water, ecological, and food management methods, and promoting sustainable development in the region.
In recent years, the concept of a system nexus has become a new hot topic in the field of sustainable development []. Nexus refers to the interaction between multiple systems, as well as their synergistic or trade-off relationships. Nexus has gained significant attention in the international community, since it provides new insights to achieving sustainable resource management [,]. At the Bonn Conference in 2011, the nexus approach was widely discussed and applied to the coupling system of water–energy–food []. Thereafter, many studies have been conducted to explore the Water–Ecosystem–Agriculture (WEA) nexus from various perspectives and regions [].
The Hexi Corridor is a typical arid and semi-arid region in Northwest China. It has a vast area, complex administrative divisions, and diverse changes in geomorphic units []. The region is mainly composed of three major inland river basins: Shiyang River Basin (SYB), Heihe River Basin (HRB), and Shule River Basin (SRB). The three major inland river basins provide water resources for food production, life, and ecology in the region. The three basins are facing similar water resource problems. The midstream oasis area is widely planted with crops and is an important irrigated agricultural area in the northwest inland region of China. Due to climate drought, scarce precipitation, rapid population growth, and rising temperatures caused by global warming, the problem of water scarcity in these three inland river basins is becoming increasingly severe, such as the overexploitation of midstream groundwater and the sharp deterioration of the downstream ecological environment []. How to balance the relationship between the social economy, water resources, and downstream ecological environment is a key issue concerning the sustainable development of water resources. This issue is typical in northwest China and even in inland arid regions around the world [,].
A set of model-based studies have been carried out in the three basins, providing insights into the water resources [,,], ecologic system [], and agricultural issues [,]. Most of existing studies focus on an individual system, like agriculture or ecosystem. There is a complex interdependent and collaborative relationship between agricultural activities in the middle reaches and the downstream ecosystem. Employing the concept of nexus to study the Water–Ecology–Agriculture (WEA) system under intensive human impacts using integrated hydrological modeling has not been attempted for the three inland basins. The recent significant development in integrated hydrological models and ecohydrological models provides a powerful tool to study the WEA nexus. The most commonly used models include SWAT [], GSFLOW [], HEIFLOW [], and ParFLOW []. Wang et al. applied a Spatiotemporal Equilibrium–Water Transformation-based Water–Agriculture–Ecology nexus (SEWT-WAE) model in the Aksu River Basin in Xinjiang, China to study the WEA nexus []. Wu et al. conducted a water–ecology–food nexus study in the Dagu River Basin in China using the SWAT model. In Hexi Corridor, taking the three inland river basins as a whole to model them using integrated models has not been attempted.
The main objectives of this study are as follows: (1) construct an integrated ecohydrological model for the inland river basins in Hexi Corridor to simulate ecohydrological processes with the consideration of human activities; (2) simulate different water management scenarios to reveal the complex relationship between agricultural productivity, groundwater storage, and ecosystem health under the nexus perspective; and (3) explore the path of achieving coordinated improvement of water resources, ecology, and agriculture through adaptive water resource management strategies.
2. Study Area and Methods
2.1. Study Area
The study area (Figure 1) is located in northern Qilian Mountains along the northern margin of the Qinghai–Tibetan Plateau, Northwest China, with a total area of 234,904 km2 []. The study area is part of the Hexi Corridor, a historically significant arid and semi-arid region that traditionally spans the area between the Qilian Mountains to the south and the Gobi Desert to the north. The Hexi Corridor is typically defined as the corridor stretching from the Shiyang River Basin in the east to the Shule River Basin in the west, encompassing the Heihe River Basin in between. However, it traditionally excludes the vast Gobi Desert regions north of the Shule River and Hei River. In this study, we extend the scope of the Hexi Corridor to include the downstream desert areas of the Shule River Basin and Hei River Basin. This extension is necessary to comprehensively analyze the interactions between midstream agricultural activities and the ecological conditions in the downstream regions. The study area is thus composed of three large inland river basins, including SYB, HRB and SLB. The areas of the SYB, HRB, and SLB are 40,334 km2, 143,321 km2, and 102,684 km2, respectively. The HRB and SLB are the second and third largest inland river basins in China, respectively.
Figure 1.
The location of the study area.
The three inland basins have similar landscapes. From upstream to downstream, the elevation decreases, and the water availability decreases []. The upstream is mountainous and has steep-sided valleys, and it is mainly the source of rivers flowing into the midstream. The midstream is characterized by alluvial fans and plains. The landscape changes from glaciers and alpine biomes in the upstream area to steppes and agricultural ecosystems in the midstream and to riparian ecosystems and vast areas of desert in the downstream.
The study area is dominated by an arid continental climate, with the annual precipitation decreasing from east to west. Upstream, the mean annual precipitation is approximately 450 mm for SYB, 414 mm for HRB, and 235 mm for SLB. The annual mean temperature of the study area ranges from 5.8 to 9.3 °C. The climatic conditions in the upper Qilian Mountains area vary significantly across time and space due to the influence of the different climate systems. The SYB is influenced by the monsoon, while the HRB and SLB are influenced by the westerlies [].
The upstream drainage system of SYB consists of seven tributaries, i.e., the Gulang, Huangyang, Zamu, Jinta, Xiying, Dongda, and Xida rivers. The annual runoff of the seven tributaries is approximately 1.56 billion m3. The upstream drainage system of HRB consists of a main stream (the Heihe River) and more than 30 tributaries. The Heihe River flows through Yingluoxia to midstream, enters downstream at Zhengyixia, and disappears in two terminal lakes (i.e., the East and West Juyan Lakes). The upstream drainage system of SLB consists of a main stream (the Shule River) and a tributary (the Dang River). The Shule River flows northwest and enters midstream at Changmabao and disappears in the terminal lake named Halaqi Lake.
2.2. Modeling Data
The most up-to-date data for modeling and analyzing the hydrological cycle were collected in the study area. Digital Elevation Model (DEM) data were obtained from the Shuttle Radar Topography Mission (SRTM) with a resolution of 90 m released by NASA (https://srtm.csi.cgiar.org/, accessed on 10 December 2024). Land-use data are obtained from land-use dataset in China, which groups the land use into 25 types. Soil data are from China Soil Database (CSDC, available at http://vdb3.soil.csdb.cn, accessed on 10 December 2024). Meteorological data, including precipitation, air temperature, humidity, wind speed, and atmosphere pressure, serve as driving force of the model. The meteorological data are obtained from China meteorological forcing dataset (TPDC, available at http://data.tpdc.ac.cn/en/data/8028b944-daaa-4511-8769-965612652c49/, accessed on 10 December 2024).
An observation dataset was collected to evaluate model performance. The monthly streamflow data of the upstream hydrological stations from 2000 to 2015 in the three basins were collected from the Water Resources Department of Gansu Province. There are two hydrological stations in the SYB, including Jiutiaoling at the Xiying River and Shagousi at the Dongda River. There are three hydrological stations in the HRB, including Yingluoxia at the Heihe River, Xindi at the Hongshuiba River and Jiayuguan at the Beida River. There is only one hydrological station in the SLB, the Changmabao at the Shule River. Monthly groundwater-level observations from 2000 to 2007 were collected from the Water Resources Department of Gansu Province.
We collected monthly groundwater levels observed at 210 monitoring wells (well locations are shown in Figure 1). There are 157 monitoring wells located in HRB, 41 monitoring wells located in SYB, and 12 monitoring wells located in SLB. The wells are distributed throughout the major aquifers in the modeling domain and thus they are representative of the regional aquifer conditions.
2.3. Model Setup and Calibration
The integrated ecohydrological model used in this study is HEIFLOW (Hydrological-Ecological Integrated watershed-scale FLOW model). The HEIFLOW model originated from the three-dimensional distributed hydrological model GSFLOW (Groundwater and Surface-Water Flow model) developed by the United States Geological Survey in 2008. HEIFLOW can simulate the major processes of surface water and groundwater. The surface water is simulated using the Precipitation Runoff Modeling System (PRMS), which divides the watershed into Hydrological Response Units (HRUs). Surface runoff and lateral flow among HRUs are simulated by a so-called “Cascading-Flow Procedure”. The groundwater is simulated using the MODFLOW model (Modular Groundwater Flow model) with finite difference grids. HEIFLOW provides a general ecohydrological module (GEHM) to simulate vegetation growth []. The major ecohydrological variables simulated by GEHM include leaf-area index (LAI), vegetation biomass, evapotranspiration (ET), and the separated soil evaporation (E) and transpiration (T) in each HRU. HEIFLOW also provides a water resource allocation (WRA) module to simulate complex irrigation activities and water management policies in integrated hydrologic modeling [].
The setup and parameterization of the integrated model for the study area follows our previous study [,]. The integrated model is constructed by a GUI (Graphic User Interface) software called Visual HEIFLOW (version 1.2.3) []. The spatial resolution of uniform 2 km × 2 km grids is used as the basic computational units for both surface and subsurface flow simulation, i.e., HRUs and groundwater cells. The subsurface of the integrated model was constructed based on the regional conceptual model, which was built by integrating hydrogeological data and existing models. In the vertical direction, the subsurface was divided into three layers based on the regional conceptual model. The three layers represent the shallow unconfined aquifer, the aquitard aquifer, and the deep confined aquifer, respectively. The parameters related to groundwater flow were assigned and adjusted through the zonation method. Each layer was divided into a set of zones. Model grid cells in the same zone have the same parameter values. For lateral groundwater boundary conditions, no-flow is applied to the model domain boundary. The river network was represented by 2422 river segments, each of which contains multiple reaches, with a total of 16,627 river reaches.
GEHM was used to simulate dynamic growth process of vegetation. For the physiological parameters of vegetation in GEHM, the same vegetation type shares a set of vegetation parameters. Due to the wide range of regions and various vegetation types in the study area, it is difficult to assign parameters for each type of vegetation. According to the vegetation type and geographical location, the vegetation in the study area was divided into 16 categories. Table 1 presents main parameters of GEHM for the 16 vegetation types.
Table 1.
Main parameters of ecological module.
The model simulates human water resource utilization activities using the WRA module. The middle and lower reaches of the three basins have a large area of cultivated land and densely distributed irrigation areas. This study collected the information of 65 irrigation districts in the basins according to literature reports (Figure 2), including 46 irrigation districts in HRB, 6 irrigation districts in SLB, and 12 irrigation districts in SYB. The information includes the amount of surface-water diversion, the proportion of surface water and groundwater in irrigation water, and the canal coefficient. The spatial distribution of irrigation districts is shown in Figure 2. Most of the irrigation districts are irrigated by mixing surface water and groundwater, and a few are irrigated by pure surface water or pure groundwater.
Figure 2.
The spatial distribution of the irrigation district in the three inland river basins.
The modeling period is from 1 January 2000 to 31 December 2015, with a total length of 5844 days. The time step of the model is 1 day. The first year, 2000, is considered as a “spin-up” period to eliminate the impact of initial conditions; the calibration period is from 2007 to 2011, and the validation period is from 2012 to 2015. The model performance was validated with long-term observations of streamflow and the groundwater-level and remote-sensing products of ET. To evaluate the model performance, three indexes were adopted, including Nash–Sutcliffe Efficiency (NSE) and regression coefficient of determination (R2).
2.4. Water–Ecosystem–Agriculture Nexus Analysis
In this study, we conducted a nexus analysis based on the “disturbance-evolution” method developed by []. The main steps of this method are as follows: first, design multiple disturbance scenarios (such as climate change, land management, water resource development, etc.); second, for each disturbance scenario, the integrated hydrological model is used to simulate the changes in the state variables of each system; third, the covariant relationship of each system under the disturbance is quantitatively estimated and the main characteristics of nexus are extracted.
Four types of disturbance scenarios are hypothesized to investigate the WEA nexus in the study area (Table 2). The scenarios in Type A involve increasing or reducing the total amount of irrigation. Four scenarios are designed in Type A; the total amount of irrigation is increased by 20% and by 10% in scenarios A1 and A2, respectively, and the total amount of irrigation is decreased by 10% and by 20% in scenarios A3 and A4, respectively. The scenarios in Type B are designed to simulate the impact of changing the groundwater pumping amount on the WEA nexus. From scenario B1 to B4, the groundwater pumping amount is increased by 20%, increased by 10%, decreased by 10%, and decreased by 20%, respectively. The scenarios in Type C are designed to simulate the impact of changing the surface-water diversion amount on the WEA nexus. From scenario C1 to C4, the surface-water diversion amount is increased by 20%, increased by 10%, decreased by 10%, and decreased by 20%, respectively. Scenarios in Type D are designed regarding the influence of groundwater management policy on the WEA nexus. Maximum allowable groundwater-level drawdowns (GLDs) are set to 4 m, 3 m, 2 m, and 1 m in the scenarios D1 to D4, respectively. GLD is a policy parameter in HEIFLOW. It is used to represent a groundwater management policy of preventing over-pumping. If the groundwater-level drawdown (with regard to a reference level defined by the manager) exceeds the GLD, pumping is stopped.
Table 2.
Hypothetical scenarios of different water resource management policies.
To comprehensively analyze the impact of various scenarios on the WEA nexus in the study area, this study adopted the Change Index [] to calculate the changes between each scenario and the baseline scenario:
where is the value of a variable in a certain scenario; and is the value of this variable in the baseline scenario. A positive value indicates that the system is improving.
3. Results
3.1. Model Performance
Figure 3 presents the simulated and observed monthly hydrographs in the three basins during the calibration period (2001–2008) and validation period (2009–2015). Table 3 provides model performance statistics during calibration and validation periods. It can be seen that the hydrographs show a good match between the simulated and observed streamflow at six hydrological stations in both the calibration and validation periods. The monthly NSE ranges from 0. 83 to 0.94 in validation period, indicating the robustness of the model simulations. In the HRB, the NSE values for Yingluoxia, Jiayuguan, and Xindi in the validation period are 0.94, 0.93 and 0.93, respectively, and the corresponding R2 values are 0.95, 0.89, and 0.95, respectively. In the SYB, the NSE values for Jiutiaoling and Shagousi are 0.90 and 0.83, respectively, and the corresponding R2 values are 0.92 and 0.778, respectively. In the SLB, the NSE value for Changmabao is 0.90, and the corresponding R2 value is 0.91. Comparatively, the model performs better in the HRB and performs relatively poor in SLB. The lower performance in SLB may be due to the inaccurate precipitation input. Due to differences in altitude and underlying surface, precipitation in mountainous areas exhibits strong spatial heterogeneity. The gridded precipitation data may not effectively capture the spatial heterogeneity, especially in the Qilian Mountains, resulting in the inaccuracy of the streamflow simulation.


Figure 3.
Comparison of observed and simulated monthly streamflow at six hydrological stations: (a) Yingluoxia in HRB; (b) Jiayuguan in HRB; (c) Xindi in HRB; (d) Jiutiaoling in SYB; (e) Shagousi in SYB; and (f) Changmabao in SLB. The mid line in the figure indicates the calibration and validation period.
Table 3.
Model performance during calibration and validation periods for streamflow at hydrological stations in the Heihe River Basin (HRB), Shiyang River Basin (SYB), and Shule River Basin (SLB).
Figure 4 presents a comparison between the simulated and observed average groundwater level from 2001 to 2010 at the 94 observation wells during the calibration period. The figure indicates a reasonable match between observed and simulated GWLs. The R2 is 0.99 and the RMSE is 10.5 m. Considering that the difference between the highest and lowest GWL across the model domain is over 1500 m, the discrepancy is reasonable.
Figure 4.
A comparison of observed and simulated averaged groundwater level: the average groundwater levels at the 210 observation wells during the validation period (2007–2012).
3.2. Regional Water Budgets
The area simulated by the model is an inland river basin, with no inflow or outflow of surface runoff. According to the model boundary setting, there is no inflow or outflow of groundwater throughout the simulation period. The overall water balance of the watershed can be calculated by the following formula:
where P is precipitation, ET is evapotranspiration, and ΔS is total water storage change. A positive value of ΔS indicates an increase in water storage, while a negative value indicates a decrease in water storage. SWin and GWin are surface-water boundary inflow and groundwater boundary inflow, respectively. SWout and GWout are surface-water boundary outflow and groundwater boundary outflow, respectively.
SWin + GWin +P = ET + SWout + GWout + ΔS
Figure 5 shows the simulation results of the annual average water budget in the study area. The input water of the basin is 36.59 × 109 m3/year, all of which comes from precipitation. The water output is 36.93 × 109 m3/year, all of which comes from evapotranspiration. The water volume in the basin has been in negative equilibrium for many years, with water storage decreasing by 0.34 × 109 m3 annually. The interaction between surface water and groundwater is strong, with surface water recharging groundwater (S2G) at 5.43 × 109 m3/year and groundwater discharging to surface water (G2S) at 5.10 × 109 m3/year. The change in surface-water storage is −7.0×106 m3/year, and the change in groundwater storage is −0.33×109 m3/year.
3.3. Surface Water–Groundwater Interactions
The interaction between surface water and groundwater is a key process in the hydrological cycle, and the exchange of water between the two has a significant impact on maintaining the ecological system in the region. The major processes of the surface water–groundwater interaction include groundwater recharge from soil zone percolation, groundwater exfiltration to soil zone or to land surface, river leakage to groundwater, and groundwater discharge to river.
Figure 6a shows the spatial distribution of groundwater recharge flux. The annual groundwater recharge flux of the entire study area is 13 mm/a, which is about 10% of the annual precipitation. From the figure, it can be seen that the spatial distribution of saturation zone recharge is related to land use. The farmlands in the middle reaches have higher groundwater recharge due to large amounts of irrigation. In the vast areas of bare land and Gobi Desert in the middle and lower reaches, the groundwater recharge is relatively low. In the upper reaches, the groundwater recharge is medium. Figure 6b presents a spatial pattern of groundwater–river interaction. The red color indicates gaining reaches (i.e., groundwater discharge to river), and blue color indicates losing reaches (i.e., streams lose water to groundwater). It can be seen that the gaining reaches are mainly distributed in the valley in the upstream and in the edge of the plain in the midstream. The losing reaches are mainly distributed in the downstream.
Figure 5.
Overall water budget for the modeling domain. Where P is precipitation, ET is evapotranspiration, ΔS is total water storage change; SWin and GWin are surface-water boundary inflow and groundwater boundary inflow, respectively; SWout and GWout are surface-water boundary outflow and groundwater boundary outflow, respectively; S2G is surface water recharging groundwater, and G2S is groundwater discharging to surface water.
Figure 6.
Spatial distribution of surface water–groundwater interaction flux: (a) groundwater recharge; and (b) groundwater–river interaction.
4. Discussion
4.1. Ecohydrological Responses to Water Resource Management Scenarios
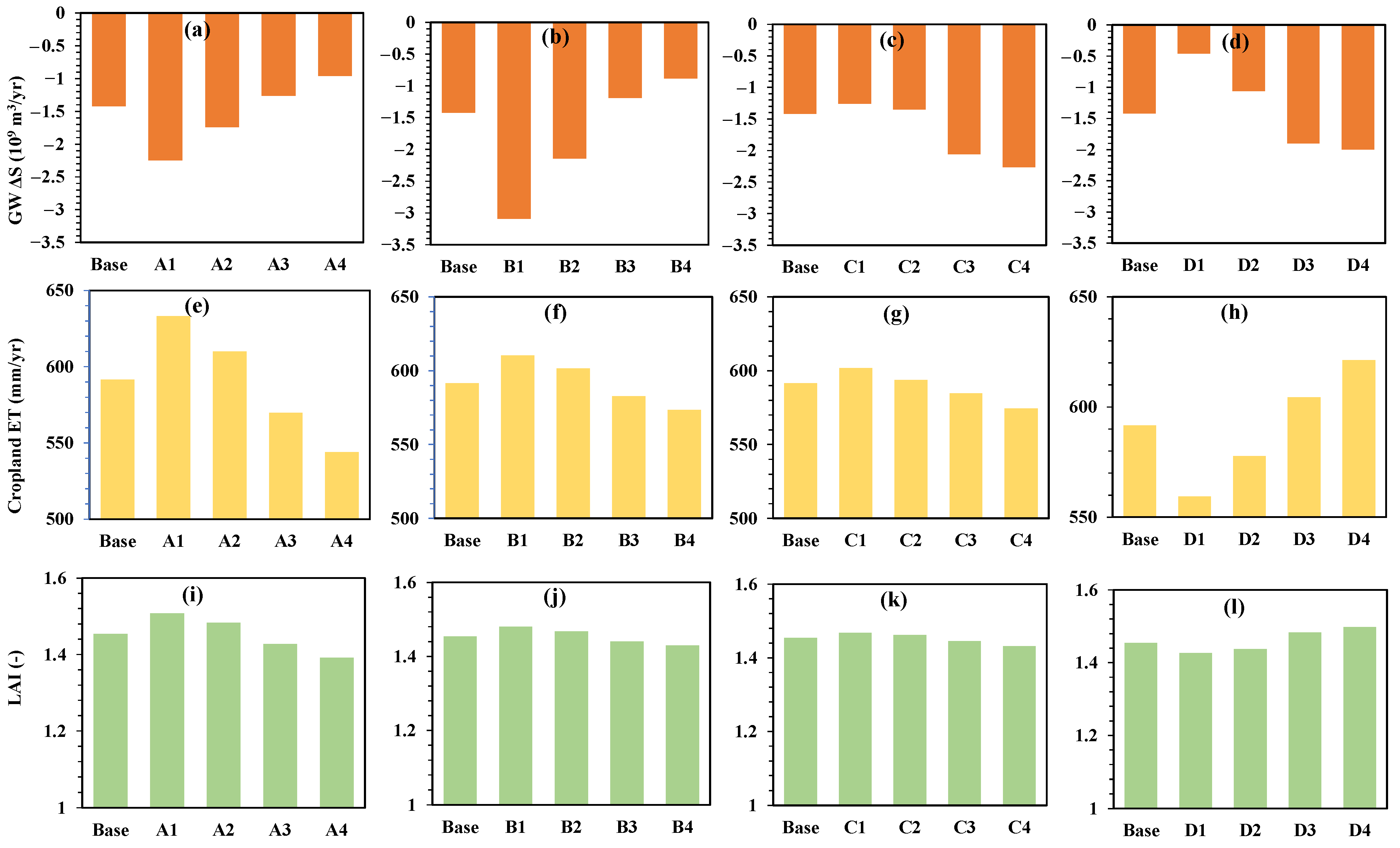
Figure 7 illustrates the changes in major WEA nexus variables (i.e., cropland ET in the midstream, groundwater storage in the midstream and LAI in the downstream) under the three types’ scenarios to the baseline scenario. The sub-plots in the same row represent the changes in WEA nexus variables compared to the baseline. The sub-plots in the same column belong to the same type of scenario. As shown in the first row, decreasing the total irrigation amount (scenarios A1 to A4), or merely decreasing the groundwater pumping amount (scenarios B1 to B4), leads to the recovery of midstream groundwater storage. When the total irrigation amount decreases by 20% in comparison with the baseline scenario, the midstream groundwater storage recovers by 0.46 billion m3 per year. Similarly, when the groundwater pumping amount decreases by 20%, the midstream groundwater storage recovers by 0.54 billion m3 per year. It is interesting that merely decreasing streamflow diversion (scenarios C1 to C4) leads to the further depletion of groundwater storage in the midstream. The reason is that decreasing streamflow diversion results in a decrease in areal recharge to groundwater, which in turn results in the depletion of groundwater storage. Increasing the maximum allowable groundwater drawdown (scenarios D1 to D4) also results in the depletion of groundwater storage due to a larger amount of groundwater pumping. In other words, implementing a strict GLD constraint would have significant effect on raising groundwater levels. For instance, when setting the GLD equal to 1 m (scenario D1), the midstream groundwater storage change will increase from −1.42 to 0.46 billion m3 per year, meaning that groundwater storage recovers by 0.96 billion m3 per year. Thus, implementing strict groundwater withdraw management is beneficial for replenishing the regional groundwater storage.
Figure 7.
Response of major Water–Ecosystem–Agriculture Nexus variables: (a–d) groundwater storage change (GW ΔS) in the midstream; (e–h) cropland evapotranspiration (ET) in the midstream; and (i–l) leaf-area index (LAI) in the downstream for the four types of scenarios.
As illustrated in the second row, it is obvious that increasing the total irrigation amount leads to the increase in cropland ET, and vice versa (scenarios A1 to A4). Merely increasing streamflow diversion or groundwater pumping also leads to the increase in cropland ET, and vice versa (scenarios B1 to B4, and scenarios C1 to C4). When implementing GLD constraints (scenarios D1 to D4), the irrigation amount will decrease, and cropland ET will also decrease accordingly. The response of LAI is similar to cropland ET. The increase in ET and LAI can be attributed to the increase in soil moisture and the enhancement of vegetation transpiration.
4.2. The Holistic Analysis of the Water–Ecosystem–Agriculture Nexus
Figure 8 provides comprehensive visual representations of the WEA nexus between water resources, food production, and ecosystem health in the study area across scenarios. The horizontal axis represents the agriculture index, the vertical axis represents the ecosystem index, and the water index is distinguished by bubbles with different size. Solid bubbles indicate negative values, while hollow bubbles represent positive values.
Figure 8.
The basin-wide Water–Ecosystem–Agriculture nexus in response to water management changes under the four types of scenarios: (a) Scenario Type A; (b) Scenario Type B; (c) Scenario Type C; and (d) Scenario Type D. The x and y axes represent the change indices (CIs) of the cropland ET in the midstream and the LAI in the downstream. The sizes of the bubbles reflect the absolute value of the CI of groundwater storage change in the midstream (water index). Hollow bubbles indicate positive CI values, and solid bubbles indicate negative values. A1 to A4 represent scenarios A1 to A4, and similarly, B1 to B4, C1 to C4, and D1 to D4 follow the same pattern.
Figure 8a shows the complex interactions between water, agriculture, and ecosystems under the scenarios of changing total irrigation amounts (A1 to A4). In scenario A1, where the total irrigation amount increases by 20%, the agricultural index has the largest value, while the water index and ecological index are negative. Similarly, in scenario A2 where the total irrigation amount increases by 10%, the agricultural index has a smaller positive value, while the other two indices remain negative. This indicates that developing agriculture will have a negative impact on midstream groundwater storage and the downstream ecosystem. In the scenario of reduced total irrigation amounts (A3, A4), the water index and ecological index are improving, but it will affect agricultural development. Specifically, scenario A4 shows that when the total irrigation amount decreases by 20%, the groundwater storage has a significant increase, around 32.5%. The scenario also showed the highest ecological index value of 4.3%, highlighting the improvement of the ecosystem. However, in this scenario, the agricultural index value will decrease, highlighting the trade-off between improving ecology and developing agriculture.
Figure 8b presents the WEA nexus under scenarios of different groundwater pumping amounts. Scenario B1, with a 20% increase in groundwater pumping amount, has a negative ecological index value (−1.8%) and water index value (−117.6%), but has a positive agriculture index value (3.2%). This indicates that increasing pumping has negative impact on both groundwater and ecosystem, but has positive impact on agricultural productivity. In contrast, scenario B4, with a 20% decrease in groundwater pumping amount, has a positive ecological index value (1.7%) and water index value (38.0%), but a negative agriculture index value (−3.1%), suggesting that decreasing groundwater pumping is beneficial for groundwater sustainability and ecosystem health but is detrimental to agricultural production. As illustrated in Figure 8c, increasing surface-water diversion (scenarios C1 and C2) is beneficial for agricultural productivity but is harmful to the ecosystem in the downstream and groundwater sustainability in the midstream. Conversely, decreasing surface-water diversion (scenarios C3 and C4) is beneficial for the ecosystem in the downstream and groundwater sustainability in the midstream, but is harmful to agricultural productivity. Scenario types B and C highlight the trade-off between agriculture development, groundwater sustainability, and ecosystem health under different water use strategies.
Figure 8d illustrates the WEA nexus under scenarios of setting different GWL constraints (D1 to D4). It can be seen that as the GWL constraints become stricter, the water index is significantly improved, rising from −40.8% in D4 to 67.6% in D1. Concurrently, the ecological index also shows an increasing trend from D1 to D4. This suggests that stricter groundwater drawdown limits are not only beneficial for sustaining groundwater resources in the midstream, but also beneficial for the ecosystem in the downstream. However, these environmental benefits are at the cost of agricultural productivity, as reflected in the agriculture index, which declines from 5.0% in D4 to −5.4% in D1. This decline highlights the trade-off between environmental sustainability and agriculture production.
4.3. Comparative Analysis of the WEA Nexus Across Different Basins
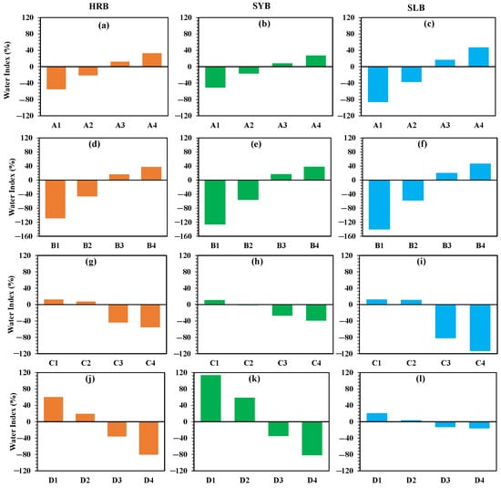
Figure 9 compares WEA nexus within the HRB, SYB, and SLB under the four types of scenarios. Analogous to Figure 8, the bubble sizes in Figure 9 represent the magnitude of the water index, with specific numerical values omitted to enhance visual clarity. Figure 10 delineates the precise water index values for each scenario type across the three basins. In general, the WEA nexus characteristics within each basin mirror those observed across the entire modeling domain, yet each basin exhibits unique WEA nexus traits.
Figure 9.
A comparison of the Water–Ecosystem–Agriculture nexus between HRB, SYB, and SLB under the four types of scenarios: (a) Scenario Type A; (b) Scenario Type B; (c) Scenario Type C; and (d) Scenario Type D. The sizes of the bubbles reflect the absolute value of the CI of groundwater storage change in the midstream (water index). Hollow bubbles indicate positive CI values, and solid bubbles indicate negative values.
Figure 10.
The water index for the three basins: HRB, SYB, and SLB. A1 to A4 represent scenarios A1 to A4, and similarly, B1 to B4, C1 to C4, and D1 to D4 follow the same pattern (a–l). The scenario descriptions are provided in Table 2.
As depicted in Figure 9, the agricultural index in the SLB demonstrates heightened sensitivity to anthropogenic disturbances compared to the other basins, evidenced by its more pronounced variability. The SLB is characterized by the most limited water resources among three basins, resulting in its agricultural sector being more reliant on water resource availability and more susceptible to fluctuations in water quantity. The ecological index in the SYB is notably responsive to human-induced disturbances, as reflected by its significant variation across the four subplots of Figure 9. The downstream region of the SYB harbors the most vulnerable ecosystem, which is acutely sensitive to the streamflow discharged from the midstream. Across all four scenario types, the streamflow reaching the downstream is subject to the influence of human activities, to which the downstream ecosystem is particularly sensitive.
Figure 10 reveals that the water index in the HRB exhibits less variation than in the SYB and SLB under scenario types A, B, and C (see Table 2), suggesting that the HRB’s groundwater system possesses a robust resilience to human disturbances, with the exception of the GLD constraint. The HRB is distinguished by the most substantial surface runoff and intensive interaction between surface water and groundwater. This dynamic facilitates a more thorough exploitation of water resources at the basin level, thereby reinforcing the resilience of the groundwater system.
4.4. Implications for Water Resource Management
A more intuitive summary of the WEA nexus characteristics revealed by the “disturbance-evolution” simulation in the study area is presented in Figure 11. Figure 11a shows that increasing total irrigation amounts improves the agricultural sector but accelerate groundwater depletion in the midstream and causes ecological deterioration in the downstream. In contrast, decreasing the total irrigation amounts results in the improvement of both midstream groundwater and the downstream ecosystem. Figure 9b shows that merely reducing groundwater pumping has a negative impact on the agriculture sector but has a positive impact on the downstream ecosystem, and has a slight impact on midstream groundwater storage. Figure 11b shows that merely reducing surface-water diversion has a negative impact on the agriculture sector but has a positive impact on the downstream ecosystem, and has significant impact on midstream groundwater storage. Figure 11c shows that merely reducing surface-water diversion has negative impact both on agriculture sector and midstream groundwater storage, but has a positive impact on the downstream ecosystem. Figure 11d shows that implementing stricter GLD constraints has positive impact both on midstream groundwater storage and the downstream ecosystem, but has negative impact on agriculture sector.
Figure 11.
The collaborative evolution laws and system correlation characteristics of water resources, ecological environment, and agriculture under four types of scenarios in the study area: (a) Scenario Type A; (b) Scenario Type B; (c) Scenario Type C; and (d) Scenario Type D. Solid arrows indicate positive influence, hollow arrows indicate negative influence, and the width of the arrow indicates the strength of the influence. The scenario descriptions are provided in Table 2.
The above analysis provides comprehensive insight on the complex trade-offs between groundwater resource sustainability, agricultural productivity, and the ecosystem. In the study area, the WEA nexus presents a synergistic or trade-off response to different water management strategies. It is difficult to achieve “win-win-win” for the WEA sectors. Sustainable water management that balances the needs of water availability, agricultural production, and ecosystem conservation is urgently required. Possible strategies include implementing drip irrigations, promoting mulching technology, utilizing Internet of Things (IoT) technology to implement large-scale precise control of groundwater levels, and developing integrated land-use planning to balance agricultural production with ecosystem conservation goals in the middle and lower reaches. These strategies can help create a harmonious balance between water conservation, ecosystem health, and agricultural productivity. The WEA nexus analysis provides information on sustainable development policies aimed at protecting water resources, food security, and environmental health in the constantly changing climate and resource challenges.
5. Conclusions
In this study, an integrated ecohydrological model was developed for three major inland river basins in the Hexi Corridor of Northwest China. The model was used to explore the complex interactions within the Water–Ecosystem–Agriculture (WEA) nexus under various water management scenarios. The key findings are as follows:
First, altering the amount of irrigation water significantly affects hydrological and ecological processes in both midstream and downstream areas, influencing the WEA nexus. For instance, a 20% reduction in irrigation demand led to a recovery of 0.46 billion m3/year in midstream groundwater storage and a 4.3% increase in downstream ecosystem health, but resulted in a 5.4% decrease in midstream agricultural productivity. Conversely, a 20% increase in irrigation demand improved agricultural productivity by 3.2%, but depleted groundwater storage by 1.17 billion m3/year and degraded ecosystem health by 1.8%.
Second, this study revealed intense trade-offs among agricultural productivity, ecosystem health, and groundwater sustainability. These trade-offs are highly sensitive to water management strategies, particularly those affecting groundwater sustainability. For example, reducing groundwater pumping demand by 20% (scenario B4) led to a 38.0% improvement in groundwater sustainability and a 1.7% improvement in ecosystem health, but caused a 3.1% decline in agricultural productivity. Similarly, reducing surface-water diversion demand by 20% (scenario C4) improved groundwater sustainability by 32.5% and ecosystem health by 4.3%, but reduced agricultural productivity by 5.4%.
Third, implementing stricter groundwater-level drawdown constraints significantly improved groundwater sustainability and ecosystem health. For instance, setting the GLD to 1 m (scenario D1) resulted in a 67.6% improvement in groundwater storage and a 5.4% decline in agricultural productivity, highlighting the trade-off between environmental sustainability and agricultural production.
Fourth, this study highlighted unique WEA nexus characteristics in each of the three basins (HRB, SYB, and SLB). The SLB, with its limited water resources, showed heightened sensitivity to changes in water availability, while the SYB’s downstream ecosystem was particularly vulnerable to midstream water management practices. The HRB exhibited more resilience to water management changes due to its robust surface water–groundwater interactions.
This study contributes to a deeper understanding of the WEA nexus in the Hexi Corridor and offers practical recommendations for sustainable water resource management in similar arid regions worldwide. The findings highlight the complexity of balancing water resources, agriculture, and ecosystem conservation, and the urgent need for innovative management approaches to address these challenges. The quantitative results underscore the trade-offs and synergies within the WEA nexus, providing a foundation for informed decision-making in water resource management. Several limitations are associated with this study. First, the integrated ecohydrological model, although robust, relies on certain assumptions and simplifications, particularly in representing complex human activities such as irrigation practices and groundwater pumping. These simplifications may not fully capture the heterogeneity of water-use patterns across different regions and agricultural practices. Two, this study primarily focuses on the midstream and downstream connections, with less emphasis on the upstream hydrological processes, which could also play a significant role in the WEA nexus. Finally, the scenarios analyzed in this study are based on hypothetical changes in water management policies, and their practical implementation may face socio-economic and political challenges that were not considered in this research. Future research would aim to address these limitations and further enhance the understanding of the WEA nexus in arid regions.
Author Contributions
Y.C., writing—original draft preparation; Y.T., writing—review and editing, supervision, and funding acquisition. All authors have read and agreed to the published version of the manuscript.
Funding
This research was funded by the National Natural Science Foundation of China (No. 42071244).
Data Availability Statement
The data generated from this study are available from the corresponding author on reasonable request.
Acknowledgments
This research was also supported by Center for Computational Science and Engineering of Southern University of Science and Technology.
Conflicts of Interest
Author Yuan Chen is employed by the company Shenzhen Zhishu Environmental Technology Co., Ltd. The remaining author declare that the research was conducted in the absence of any commercial or financial relationships that could be construed as a potential conflict of interest.
References
- Li, C.; Fu, B.-J.; Wang, S.; Stringer, L.; Yaping, W.; Li, Z.; Liu, Y.; Zhou, W. Drivers and impacts of changes in China’s drylands. Nat. Rev. Earth Environ. 2021, 2, 858–873. [Google Scholar] [CrossRef]
- Huang, J.; Yu, H.; Guan, X.; Wang, G.; Guo, R. Accelerated dryland expansion under climate change. Nat. Clim. Change 2016, 6, 166–171. [Google Scholar] [CrossRef]
- Zhang, W.; Tian, Y.; Sun, Z.; Zheng, C. How does plastic film mulching affect crop water productivity in an arid river basin? Agric. Water Manag. 2021, 258, 107218. [Google Scholar] [CrossRef]
- Cai, X.; Wallington, K.; Shafiee-Jood, M.; Marston, L. Understanding and managing the food-energy-water nexus—Opportunities for water resources research. Adv. Water Resour. 2018, 111, 259–273. [Google Scholar] [CrossRef]
- De Fraiture, C.; Molden, D.; Wichelns, D. Investing in water for food, ecosystems, and livelihoods: An overview of the comprehensive assessment of water management in agriculture. Agric. Water Manag. 2010, 97, 495–501. [Google Scholar] [CrossRef]
- Fisher, J.; Melton, F.; Middleton, E.; Hain, C.; Anderson, M.; Allen, R.; McCabe, M.; Hook, S.; Baldocchi, D.; Townsend, P.; et al. The Future of Evapotranspiration: Global requirements for ecosystem functioning, carbon and climate feedbacks, agricultural management, and water resources. Water Resour. Res. 2017, 53, 2618–2626. [Google Scholar] [CrossRef]
- Hoff, H. Understanding the Nexus: Background Paper for the Bonn2011 Conference: The Water, Energy and Food Security Nexus; Stockholm Environment Institute: Stockholm, Sweden, 2011. [Google Scholar]
- Sun, Z.; Zheng, Y.; Li, X.; Tian, Y.; Han, F.; Zhong, Y.; Liu, J.; Zheng, C. The Nexus of Water, Ecosystems, and Agriculture in Endorheic River Basins: A System Analysis Based on Integrated Ecohydrological Modeling. Water Resour. Res. 2018, 54, 7534–7556. [Google Scholar] [CrossRef]
- He, Y.; Jiang, X.; Wang, N.; Zhang, S.; Ning, T.; Zhao, Y.; Hu, Y. Changes in mountainous runoff in three inland river basins in the arid Hexi Corridor, China, and its influencing factors. Sustain. Cities Soc. 2019, 50, 101703. [Google Scholar] [CrossRef]
- Li, X.; Zhang, L.; Zheng, Y.; Yang, D.; Wu, F.; Tian, Y.; Han, F.; Gao, B.; Li, H.; Zhang, Y.; et al. Novel hybrid coupling of ecohydrology and socioeconomy at river basin scale: A watershed system model for the Heihe River basin. Environ. Model. Softw. 2021, 141, 105058. [Google Scholar] [CrossRef]
- Elliott, J.; Deryng, D.; Müller, C.; Frieler, K.; Konzmann, M.; Gerten, D.; Glotter, M.; Flörke, M.; Wada, Y.; Best, N.; et al. Constraints and potentials of future irrigation water availability on agricultural production under climate change. Proc. Natl. Acad. Sci. USA 2014, 111, 3239–3244. [Google Scholar] [CrossRef]
- Li, M.; Fu, Q.; Singh, V.P.; Liu, D.; Li, T. Stochastic multi-objective modeling for optimization of water-food-energy nexus of irrigated agriculture. Adv. Water Resour. 2019, 127, 209–224. [Google Scholar] [CrossRef]
- Huang, F.; Chunyu, X.; Zhang, D.; Chen, X.; Ochoa, C.G. A framework to assess the impact of ecological water conveyance on groundwater-dependent terrestrial ecosystems in arid inland river basins. Sci. Total Environ. 2020, 709, 136155. [Google Scholar] [CrossRef] [PubMed]
- Yao, Y.; Zheng, C.; Liu, J.; Cao, G.; Xiao, H.; Li, H.; Li, W. Conceptual and numerical models for groundwater flow in an arid inland river basin. Hydrol. Process. 2015, 29, 1480–1492. [Google Scholar] [CrossRef]
- Wang, S.; Zhao, Q.; Pu, T. Assessment of water stress level about global glacier-covered arid areas: A case study in the Shule River Basin, northwestern China. J. Hydrol. Reg. Stud. 2021, 37, 100895. [Google Scholar] [CrossRef]
- Gao, B.; Qin, Y.; Wang, Y.; Yang, D.; Zheng, Y. Modeling Ecohydrological Processes and Spatial Patterns in the Upper Heihe Basin in China. Forests 2016, 7, 10. [Google Scholar] [CrossRef]
- Lu, Z.; Feng, Q.; Xiao, S.; Xie, J.; Zou, S.; Yang, Q.; Si, J. The impacts of the ecological water diversion project on the ecology-hydrology-economy nexus in the lower reaches in an inland river basin. Resour. Conserv. Recycl. 2021, 164, 105154. [Google Scholar] [CrossRef]
- Porporato, A.; Feng, X.; Manzoni, S.; Mau, Y.; Parolari, A.J.; Vico, G. Ecohydrological modeling in agroecosystems: Examples and challenges. Water Resour. Res. 2015, 51, 5081–5099. [Google Scholar] [CrossRef]
- Thornton, J.M. Mountain streamflow threatened by irreversible simulated groundwater declines. Nat. Water 2024, 2, 403–404. [Google Scholar] [CrossRef]
- Han, F.; Zheng, Y.; Tian, Y.; Li, X.; Zheng, C.; Li, X. Accounting for field-scale heterogeneity in the ecohydrological modeling of large arid river basins: Strategies and relevance. J. Hydrol. 2021, 595, 126045. [Google Scholar] [CrossRef]
- Condon, L.E.; Atchley, A.L.; Maxwell, R.M. Evapotranspiration depletes groundwater under warming over the contiguous United States. Nat. Commun. 2020, 11, 873. [Google Scholar] [CrossRef]
- Wang, T.; Su, X.; Wu, H. Water-agriculture-ecology nexus synergetic management based on spatiotemporal equilibrium and water transformation: A case study in Aksu River Basin, China. Agric. Water Manag. 2024, 303, 109061. [Google Scholar] [CrossRef]
- Hu, S.; Ma, R.; Sun, Z.; Ge, M.; Zeng, L.; Huang, F.; Bu, J.; Wang, Z. Determination of the optimal ecological water conveyance volume for vegetation restoration in an arid inland river basin, northwestern China. Sci. Total Environ. 2021, 788, 147775. [Google Scholar] [CrossRef] [PubMed]
- Wang, X.; Chen, R.; Li, H.; Li, K.; Liu, J.; Liu, G. Detection and attribution of trends in flood frequency under climate change in the Qilian Mountains, Northwest China. J. Hydrol. Reg. Stud. 2022, 42, 101153. [Google Scholar] [CrossRef]
- Xie, C.; Zhao, L.; Eastoe, C.J.; Wang, N.; Dong, X. An isotope study of the Shule River Basin, Northwest China: Sources and groundwater residence time, sulfate sources and climate change. J. Hydrol. 2022, 612, 128043. [Google Scholar] [CrossRef]
- Zheng, Y.; Tian, Y.; Du, E.; Han, F.; Wu, Y.; Zheng, C.; Li, X. Addressing the water conflict between agriculture and ecosystems under environmental flow regulation: An integrated modeling study. Environ. Model. Softw. 2020, 134, 104874. [Google Scholar] [CrossRef]
- Tian, Y.; Zheng, Y.; Han, F.; Zheng, C.; Li, X. A comprehensive graphical modeling platform designed for integrated hydrological simulation. Environ. Model. Softw. 2018, 108, 154–173. [Google Scholar] [CrossRef]
Disclaimer/Publisher’s Note: The statements, opinions and data contained in all publications are solely those of the individual author(s) and contributor(s) and not of MDPI and/or the editor(s). MDPI and/or the editor(s) disclaim responsibility for any injury to people or property resulting from any ideas, methods, instructions or products referred to in the content. |
© 2025 by the authors. Licensee MDPI, Basel, Switzerland. This article is an open access article distributed under the terms and conditions of the Creative Commons Attribution (CC BY) license (https://creativecommons.org/licenses/by/4.0/).