The Use of Fluorescent Organic Matter as a Natural Transit Time Tracer in the Unsaturated Zone of the Fontaine De Vaucluse Karst System
Abstract
1. Introduction
2. Materials and Methods
2.1. The Study Site
| Spring | Catchment Area | Karstification | UZ Thickness | Lithology | Land Cover |
|---|---|---|---|---|---|
| Millet | ~2.5 km2 | Complex karstification-anastomoses | Thick ~ 70 m | Cretaceous/Barremian limestones (marine) | Forest, lavender cultivation |
| St Trinit | ~2 km2 | High degree, large karst conduit | Thin ~ 10 to 20 m | Cretaceous/Aptian limestones (marine) | Anthropogenic activities, organic farming, town |
| La Nesque | ~1 km2 | Low degree, conduits of centimetric scale at the outlet | Thin ~ 10 to 20 m | Marneous limestones, Oligocene (lacustrine) | Lavender cultivation |
| Fontaine de Vaucluse | ~1160 km2 | Variable but high in average | Very thick ~ 800 m | Cretaceous limestones (marine) | Cultivations, cities, forests |
| LSBB | ≤1 km2 | Variable | 35 à 518 m | Cretaceous limestones (marine) | Forest and cultivation |

2.2. Sampling and Fluorescence Analysis Methods
2.3. Study Layout
3. Results and Discussion
3.1. Organic Matter Sources and Fate
3.1.1. Identification of Fluorescent Organic Matter Types in the Fontaine De Vaucluse System
3.1.2. The Source and Fate of Fluorescent Organic Matter in the LSBB Hydrosystem
- (1)
- Soil organic matter is supplied by the surface biocenosis. Some of it may be solubilized by rainwater infiltration and incorporated into soil water [40].
- (2)
- (3)
- Infiltration of rainwater improves the connection between water-bearing soil pores, and can also contribute to the solubilization of soil organic matter, including humic-like C substances. Infiltration of dissolved organic matter results from a mixture of rainwater and soil water [5].
- (4)
- During transport within the unsaturated zone, organic matter can be adsorbed or delayed (especially humic-like C compounds [36]) and degraded, resulting in the production of other fluorescent compounds [27]. Both molecule breakage during degradation and the production of protein-like compounds can lead to the release of inorganic compounds such as free ions (mineralization process [10]).
- (5)
- According to the continuum of soil organic matter decomposition proposed by [5], degradation results in the release of simpler molecules down to inorganic carbon. Therefore, protein-like compounds can be degraded to inorganic matter. However, the degradation model of [4] also suggests that, to a lesser extent, simpler molecules can be reused to synthesize larger molecules. Humic-like M substances are large molecules derived from microbial products (simpler molecules [10]). Since protein-like substances are simple molecules derived from microbial activity, it seems very likely that protein-like compounds could be reused to produce humic-like M compounds if the continuum of soil organic matter decomposition is applied to aquatic organic matter. Since this degradation process is less direct, it seems logical that humic-like M substances would be present in lower concentrations than other fluorescent compounds. This is what is observed in LSBB waters (see Section 3.1.1 and Table 2). For the same reason, the presence and relative increase in humic-like M compounds may be associated with longer transit times. This assumption is consistent with [41] which observed a higher proportion of microbial humic-like compounds in deep groundwater during non-monsoon seasons.
- (6)
- As humic-like C, humic-like M compounds can either be adsorbed or may be degraded again.
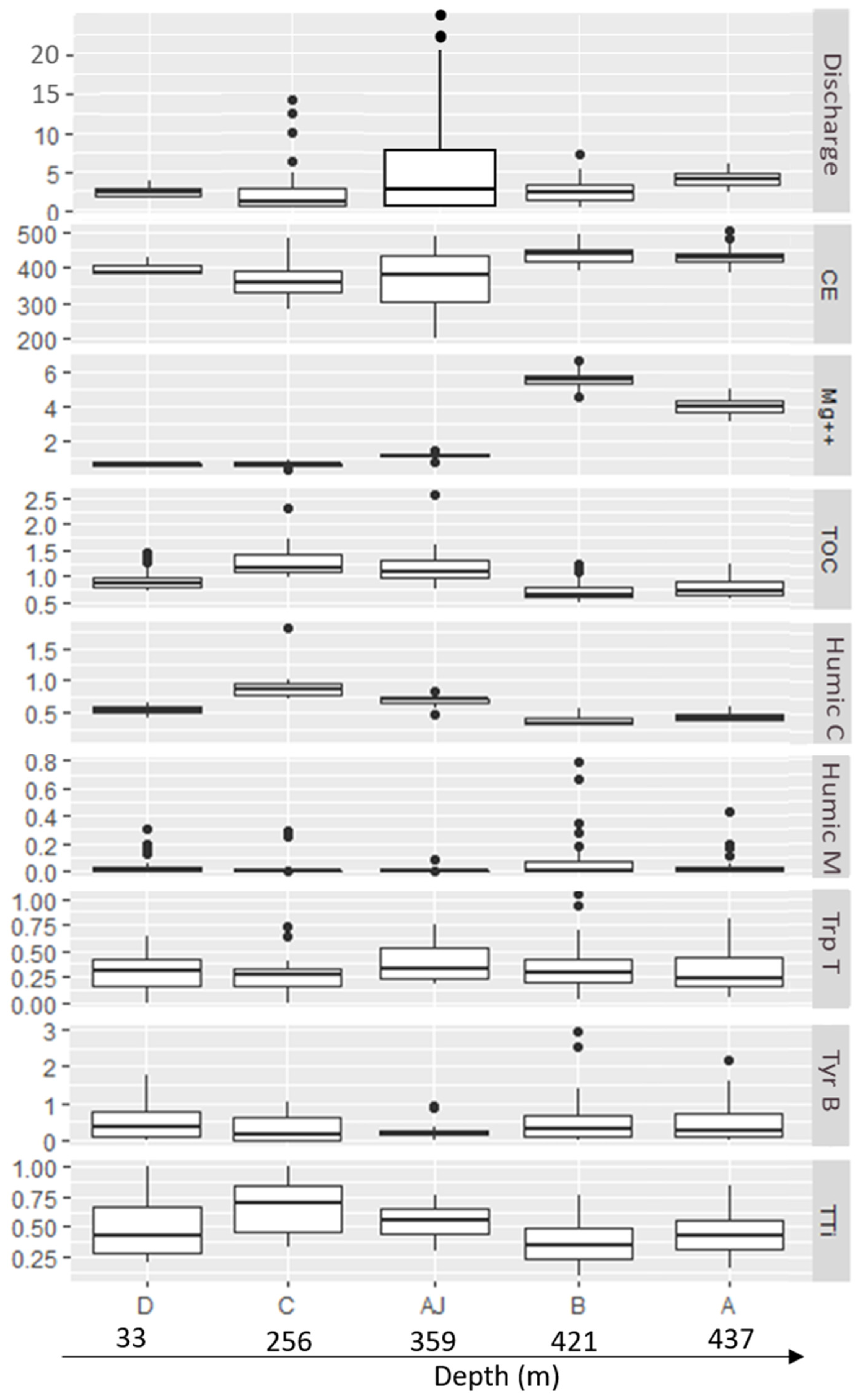
3.2. Consistency of Relative Transit Times Derived from Fluorescent Compounds Contents—An Assessment at LSBB
3.2.1. Characterization of LSBB Flows Based on Discharge and Major Elements Variations
3.2.2. Contribution of Fluorescent Organic Compounds to Relative Transit Time Assessment at LSBB
3.3. Limits of the Use of Fluorescent Compound Intensity as a Transit Time Tracer and Transit Time Index (TTi) Added Value
4. Conclusions
Author Contributions
Funding
Data Availability Statement
Acknowledgments
Conflicts of Interest
References
- Stevanović, Z. Karst Waters in Potable Water Supply: A Global Scale Overview. Environ. Earth Sci. 2019, 78, 662. [Google Scholar] [CrossRef]
- White, W.B. Karst Hydrology: Recent Developments and Open Questions. Eng. Geol. 2002, 65, 85–105. [Google Scholar] [CrossRef]
- Baker, A.; Lamont-Black, J. Fluorescence of Dissolved Organic Matter as a Natural Tracer of Ground Water. Ground Water 2001, 39, 745–750. [Google Scholar] [CrossRef] [PubMed]
- Lehmann, J.; Kleber, M. The Contentious Nature of Soil Organic Matter. Nature 2015, 528, 60–68. [Google Scholar] [CrossRef]
- Kalbitz, K.; Solinger, S.; Park, J.-H.; Michalzik, B.; Matzner, E. Controls on the dynamics of dissolved organic matter in soils: A review. Soil Sci. 2000, 165, 277–304. [Google Scholar] [CrossRef]
- Bracken, L.J.; Wainwright, J.; Ali, G.A.; Tetzlaff, D.; Smith, M.W.; Reaney, S.M.; Roy, A.G. Concepts of Hydrological Connectivity: Research Approaches, Pathways and Future Agendas. Earth-Sci. Rev. 2013, 119, 17–34. [Google Scholar] [CrossRef]
- Covino, T. Hydrologic Connectivity as a Framework for Understanding Biogeochemical Flux through Watersheds and along Fluvial Networks. Geomorphology 2017, 277, 133–144. [Google Scholar] [CrossRef]
- Ewald, M.; Berger, P.; Visser, S.A. UV-Visible Absorption and Fluorescence Properties of Fulvic Acids of Microbial Origin as Functions of Their Molecular Weights. Geoderma 1988, 43, 11–20. [Google Scholar] [CrossRef]
- Zsolnay, A.; Baigar, E.; Jimenez, M.; Steinweg, B.; Saccomandi, F. Differentiating with Fluorescence Spectroscopy the Sources of Dissolved Organic Matter in Soils Subjected to Drying. Chemosphere 1999, 38, 45–50. [Google Scholar] [CrossRef] [PubMed]
- Coble, P.G.; Spencer, R.G.M.; Baker, A.; Reynolds, D.M. Aquatic Organic Matter Fluorescence. In Aquatic Organic Matter Fluorescence; Coble, P.G., Lead, J., Baker, A., Reynolds, D.M., Spencer, R.G.M., Eds.; Cambridge University Press: Cambridge, UK, 2014; pp. 75–122. [Google Scholar] [CrossRef]
- Sorensen, J.P.R.; Carr, A.F.; Nayebare, J.; Diongue, D.M.L.; Pouye, A.; Roffo, R.; Gwengweya, G.; Ward, J.S.T.; Kanoti, J.; Okotto-Okotto, J.; et al. Tryptophan-like and Humic-like Fluorophores Are Extracellular in Groundwater: Implications as Real-Time Faecal Indicators. Sci. Rep. 2020, 10, 15379. [Google Scholar] [CrossRef] [PubMed]
- Frank, S.; Goeppert, N.; Goldscheider, N. Fluorescence-Based Multi-Parameter Approach to Characterize Dynamics of Organic Carbon, Faecal Bacteria and Particles at Alpine Karst Springs. Sci. Total Environ. 2018, 615, 1446–1459. [Google Scholar] [CrossRef] [PubMed]
- Blondel, T.; Emblanch, C.; Batiot-Guilhe, C.; Dudal, Y.; Boyer, D. Punctual and Continuous Estimation of Transit Time from Dissolved Organic Matter Fluorescence Properties in Karst Aquifers, Application to Groundwaters of ‘Fontaine de Vaucluse’ Experimental Basin (SE France). Environ. Earth Sci. 2012, 65, 2299–2309. [Google Scholar] [CrossRef]
- Ohno, T. Fluorescence Inner-Filtering Correction for Determining the Humification Index of Dissolved Organic Matter. Environ. Sci. Technol. 2002, 36, 742–746. [Google Scholar] [CrossRef] [PubMed]
- Schmidt, M.W.I.; Torn, M.S.; Abiven, S.; Dittmar, T.; Guggenberger, G.; Janssens, I.A.; Kleber, M.; Kögel-Knabner, I.; Lehmann, J.; Manning, D.A.C.; et al. Persistence of Soil Organic Matter as an Ecosystem Property. Nature 2011, 478, 49–56. [Google Scholar] [CrossRef] [PubMed]
- Serène, L.; Batiot-Guilhe, C.; Mazzilli, N.; Emblanch, C.; Babic, M.; Dupont, J.; Simler, R.; Blanc, M.; Massonnat, G. Transit Time Index (TTi) as an Adaptation of the Humification Index to Illustrate Transit Time Differences in Karst Hydrosystems: Application to the Karst Springs of the Fontaine de Vaucluse System (Southeastern France). Hydrol. Earth Syst. Sci. 2022, 26, 5035–5049. [Google Scholar] [CrossRef]
- Garry, B. Etude Des Processus d’écoulements de La Zone Non Saturée Pour La Modélisation Des Aquifères Karstiques—Expérimentation Hydrodynamique et Hydrochimique Sur Les Sites Du Laboratoire Souterrain à Bas Bruit (LSBB) de Rustrel et de Fontaine de Vaucluse. Ph.D. Thesis, Université d’Avignon et des Pays de Vaucluse, Avignon, France, 2007. [Google Scholar]
- Blondel, T. Traçage Spatial et Temporel Des Eaux Souterraines Dans Les Hydrosystèmes Karstiques Par Les Matières Organiques Dissoutes—Expérimentation et Application Sur Les Sites Du Laboratoire Souterrain à Bas Bruit (LSBB) de Rustrel—Pays d’apt et de Fontaine de Vaucluse. Ph.D. Thesis, Université d’Avignon et des Pays de Vaucluse, Avignon, France, 2008. [Google Scholar]
- Batiot, C. Etude Expérimentale Du Cycle Du Carbone En Régions Karstiques: Apport Du Carbone Organique et Du Carbone Minéral à La Connaissance Hydrogéologique Des Systèmes. Ph.D. Thesis, Université d’Avignon et des Pays de Vaucluse, Avignon, France, 2002. [Google Scholar]
- Emblanch, C.; Blavoux, B.; Puig, J.-M.; Mudry, J. Dissolved Organic Carbon of Infiltration within the Autogenic Karst Hydrosystem. Geophys. Res. Lett. 1998, 25, 1459–1462. [Google Scholar] [CrossRef]
- Lastennet, R. Rôle de La Zone Non Saturée Dans Le Fonctionnement Des Aquifères Karstiques: Approche Par l’étude Physico-Chimique et Isotopique Du Signal d’entrée et Des Exutoires Du Massif Du Ventoux (Vaucluse). Ph.D. Thesis, Université d’Avignon et des Pays du Vaucluse, Avignon, France, 1994. [Google Scholar]
- Ollivier, C. Caractérisation et Spatialisation de La Recharge Des Hydrosystèmes Karstiques: Application à l’aquifère de Fontaine de Vaucluse, France. Ph.D. Thesis, Université d’Avignon, Avignon, France, 2020. [Google Scholar]
- Barbel-Périneau, A. Caractérisation du fonctionnement de la zone non saturée des aquifères karstiques: Approche directe par études hydrodynamiques et hydrochimiques sur le Bassin de Recherche, d’Expérimentation et d’Observation de Fontaine de Vaucluse—Laboratoire Souterrain à Bas Bruit de Rustrel—Pays d’Apt. Ph.D. Thesis, Université d’Avignon et des Pays de Vaucluse, Avignon, France, 2013. [Google Scholar]
- Serène, L.; Mazzilli, N.; Batiot-Guilhe, C.; Emblanch, C.; Gillon, M.; Babic, M.; Dupont, J.; Simler, R.; Blanc, M. Questioning Calculation and Interpretation of Fluorescence Indices in Natural Waters Studies. J. Hydrol. 2025, 650, 132524. [Google Scholar] [CrossRef]
- Thurman, E. Organic Chemistry of Natural Waters; Martinus Nijhof/Dr. W. Junk Publishers: Dordrecht, The Netherlands, 1985. [Google Scholar]
- Batiot, C.; Liñán, C.; Andreo, B.; Emblanch, C.; Carrasco, F.; Blavoux, B. Use of Total Organic Carbon (TOC) as Tracer of Diffuse Infiltration in a Dolomitic Karstic System: The Nerja Cave (Andalusia, Southern Spain): TOC as a Tracer of Diffuse Infiltration. Geophys. Res. Lett. 2003, 30, 22. [Google Scholar] [CrossRef]
- Stedmon, C.A.; Cory, R.M. Biological Origins and Fate of Fluorescent Dissolved Organic Matter in Aquatic Environments. In Aquatic Organic Matter Fluorescence; Coble, P.G., Lead, J., Baker, A., Reynolds, D.M., Spencer, R.G.M., Eds.; Cambridge University Press: Cambridge, UK, 2014; pp. 278–300. [Google Scholar] [CrossRef]
- Parlanti, E.; Wörz, K.; Geoffroy, L.; Lamotte, M. Dissolved Organic Matter Fluorescence Spectroscopy as a Tool to Estimate Biological Activity in a Coastal Zone Submitted to Anthropogenic Inputs. Org. Geochem. 2000, 31, 1765–1781. [Google Scholar] [CrossRef]
- Baker, A.; Spencer, R.G.M. Characterization of Dissolved Organic Matter from Source to Sea Using Fluorescence and Absorbance Spectroscopy. Sci. Total Environ. 2004, 333, 217–232. [Google Scholar] [CrossRef] [PubMed]
- Chen, H.; Liao, Z.; Gu, X.; Xie, J.; Li, H.; Zhang, J. Anthropogenic Influences of Paved Runoff and Sanitary Sewage on the Dissolved Organic Matter Quality of Wet Weather Overflows: An Excitation–Emission Matrix Parallel Factor Analysis Assessment. Environ. Sci. Technol. 2017, 51, 1157–1167. [Google Scholar] [CrossRef]
- Coble, P.G. Characterization of Marine and Terrestrial DOM in Seawater Using Excitation-Emission Matrix Spectroscopy. Mar. Chem. 1996, 51, 325–346. [Google Scholar] [CrossRef]
- Quiers, M.; Batiot-Guilhe, C.; Bicalho, C.C.; Perrette, Y.; Seidel, J.-L.; Van Exter, S. Characterisation of Rapid Infiltration Flows and Vulnerability in a Karst Aquifer Using a Decomposed Fluorescence Signal of Dissolved Organic Matter. Env. Earth Sci. 2014, 71, 553–561. [Google Scholar] [CrossRef]
- Chen, W.; Westerhoff, P.; Leenheer, J.A.; Booksh, K. Fluorescence Excitation−Emission Matrix Regional Integration to Quantify Spectra for Dissolved Organic Matter. Environ. Sci. Technol. 2003, 37, 5701–5710. [Google Scholar] [CrossRef]
- Stedmon, C.A.; Markager, S. Tracing the Production and Degradation of Autochthonous Fractions of Dissolved Organic Matter by Fluorescence Analysis. Limnol. Oceanogr. 2005, 50, 1415–1426. [Google Scholar] [CrossRef]
- Xia, F.; Liu, Z.; Zhao, M.; Li, Q.; Li, D.; Cao, W.; Zeng, C.; Hu, Y.; Chen, B.; Bao, Q.; et al. High Stability of Autochthonous Dissolved Organic Matter in Karst Aquatic Ecosystems: Evidence from Fluorescence. Water Res. 2022, 220, 118723. [Google Scholar] [CrossRef]
- Frank, S.; Goeppert, N.; Goldscheider, N. Field Tracer Tests to Evaluate Transport Properties of Tryptophan and Humic Acid in Karst. Groundwater 2021, 59, 59–70. [Google Scholar] [CrossRef] [PubMed]
- Jiang, Y.; Li, R.; Yang, Y.; Yu, M.; Xi, B.; Li, M.; Xu, Z.; Gao, S.; Yang, C. Migration and Evolution of Dissolved Organic Matter in Landfill Leachate-Contaminated Groundwater Plume. Resour. Conserv. Recycl. 2019, 151, 104463. [Google Scholar] [CrossRef]
- McKnight, D.M.; Bencala, K.E.; Zellweger, G.W.; Aiken, G.R.; Feder, G.L.; Thom, K.A. Sorption of Dissolved Organic Carbon by Hydrous Aluminium and Iron-Oxydes Occuring at the Confluence of Deer Creek with the Snake River, Summit County, Colorado. Environ. Sci. Technol. 1992, 26, 1388–1396. [Google Scholar] [CrossRef]
- Thurman, E.M.; Wershaw, R.L.; Malcolm, R.L.; Pinckney, D.J. Molecular Size of Aquatic Humic Substances. Org. Geochem. 1982, 4, 27–35. [Google Scholar] [CrossRef]
- Duchaufour, P.; Faivre, P.; Poulenard, J.; Gury, M. Introduction à La Science Du Sol—Sol, Végétation, Environnement, 7th ed.; Sciences Sup: Dunod, Argentina, 2020. [Google Scholar]
- Yang, Y.; Yuan, X.; Deng, Y.; Xie, X.; Gan, Y.; Wang, Y. Seasonal Dynamics of Dissolved Organic Matter in High Arsenic Shallow Groundwater Systems. J. Hydrol. 2020, 589, 125120. [Google Scholar] [CrossRef]
- Barbel-Périneau, A.; Barbiero, L.; Danquigny, C.; Emblanch, C.; Mazzilli, N.; Simler, L.; Valles, V. Karst Flow Processes Explored through Analysis of Long-Term Unsaturated-Zone Discharge Hydrochemistry: A 10-Year Study in Rustrel, France. Hydrogeol. J. 2019, 27, 1711–1723. [Google Scholar] [CrossRef]
- Moral, F.; Cruz-Sanjulián, J.J.; Olías, M. Geochemical Evolution of Groundwater in the Carbonate Aquifers of Sierra de Segura (Betic Cordillera, Southern Spain). J. Hydrol. 2008, 360, 281–296. [Google Scholar] [CrossRef]
- Carrière, S.D.; Chalikakis, K.; Sénéchal, G.; Danquigny, C.; Emblanch, C. Combining Electrical Resistivity Tomography and Ground Penetrating Radar to Study Geological Structuring of Karst Unsaturated Zone. J. Appl. Geophys. 2013, 94, 31–41. [Google Scholar] [CrossRef]
- Serene, L.; Batiot-Guilhe, C.; Emblanch, C.; Mazzilli, N.; Massonat, G. Natural Fluorescence of Organic Matter Excitation-Emission Matrix (EEM) and 2D Spectas at 254 Nm Excitation Wavelength of Underground Water from Fontaine de Vaucluse System (2020 to 2021), Dataset. 2024. Available online: https://data.oreme.org/doi/view/8d6104e1-ae78-4b4e-8e50-198ccc5b19c9#2024 (accessed on 28 January 2025).







| Parameter | Spring | Min | Max | Mean | SD | SD/Mean |
|---|---|---|---|---|---|---|
| Humic-like C (C and AC) | St Trinit | 0.33 | 2.31 | 0.78 | 0.54 | 0.70 |
| Millet | 0.44 | 0.75 | 0.60 | 0.09 | 0.15 | |
| Nesque | 0.87 | 1.79 | 1.06 | 0.17 | 0.16 | |
| A | 0.35 | 0.60 | 0.43 | 0.06 | 0.14 | |
| B | 0.29 | 0.56 | 0.37 | 0.07 | 0.19 | |
| C | 0.72 | 1.81 | 0.92 | 0.25 | 0.27 | |
| D | 0.42 | 0.66 | 0.55 | 0.06 | 0.11 | |
| AJ | 0.49 | 0.84 | 0.69 | 0.09 | 0.13 | |
| Humic-like M (P1 or AM) | St Trinit | 0.03 | 12.6 | 1.13 | 2.71 | 2.40 |
| Millet | 1.1 × 10−20 | 1.8 | 0.23 | 0.50 | 2.14 | |
| Nesque | 1.3 × 10−20 | 0.25 | 0.1 | 0.10 | 0.97 | |
| A | 0 | 0.43 | 0.08 | 0.11 | 1.35 | |
| B | 0 | 0.78 | 0.17 | 0.23 | 1.33 | |
| C | 0 | 0.30 | 0.08 | 0.14 | 1.71 | |
| D | 0 | 0.30 | 0.08 | 0.10 | 1.14 | |
| AJ | 0.01 | 0.09 | 0.05 | 0.06 | 1.21 | |
| Tryptophan (T and AT) | St Trinit | 0.07 | 1.99 | 0.64 | 0.42 | 0.65 |
| Millet | 0.01 | 2.47 | 0.46 | 0.46 | 1 | |
| Nesque | 1.7 × 10−3 | 1.58 | 0.46 | 0.30 | 0.66 | |
| A | 0.05 | 0.80 | 0.29 | 0.17 | 0.58 | |
| B | 0.04 | 1.05 | 0.33 | 0.24 | 0.72 | |
| C | 0.05 | 0.73 | 0.29 | 0.18 | 0.64 | |
| D | 0 | 0.64 | 0.30 | 0.17 | 0.56 | |
| AJ | 0.18 | 0.75 | 0.39 | 0.20 | 0.51 | |
| Tyrosine (B and AB) | St Trinit | 0.01 | 2.59 | 0.65 | 0.62 | 0.96 |
| Millet | 0.04 | 2.16 | 0.77 | 0.63 | 0.82 | |
| Nesque | 0.09 | 2.57 | 0.90 | 0.79 | 0.88 | |
| A | 0 | 2.18 | 0.55 | 0.59 | 1.07 | |
| B | 0.02 | 2.96 | 0.58 | 0.70 | 1.21 | |
| C | 0 | 1.05 | 0.43 | 0.38 | 0.88 | |
| D | 0 | 1.76 | 0.61 | 0.58 | 0.94 | |
| AJ | 0 | 1.76 | 0.61 | 0.58 | 0.94 |
| A | B | C | D | AJ | |
|---|---|---|---|---|---|
| CE sd/mean | 0.06 | 0.05 | 0.09 | 0.03 | 0.22 |
| TTi sd/mean | 0.47 | 0.49 | 0.31 | 0.47 | 0.27 |
| Magnesium sd/mean | 0.11 | 0.08 | 0.11 | 0.11 | 0.12 |
| Discharge sd/mean | 0.26 | 0.68 | 0.94 | 0.22 | 2.33 |
Disclaimer/Publisher’s Note: The statements, opinions and data contained in all publications are solely those of the individual author(s) and contributor(s) and not of MDPI and/or the editor(s). MDPI and/or the editor(s) disclaim responsibility for any injury to people or property resulting from any ideas, methods, instructions or products referred to in the content. |
© 2025 by the authors. Licensee MDPI, Basel, Switzerland. This article is an open access article distributed under the terms and conditions of the Creative Commons Attribution (CC BY) license (https://creativecommons.org/licenses/by/4.0/).
Share and Cite
Serène, L.; Mazzilli, N.; Batiot-Guilhe, C.; Emblanch, C.; Babic, M.; Dupont, J.; Simler, R.; Blanc, M. The Use of Fluorescent Organic Matter as a Natural Transit Time Tracer in the Unsaturated Zone of the Fontaine De Vaucluse Karst System. Hydrology 2025, 12, 24. https://doi.org/10.3390/hydrology12020024
Serène L, Mazzilli N, Batiot-Guilhe C, Emblanch C, Babic M, Dupont J, Simler R, Blanc M. The Use of Fluorescent Organic Matter as a Natural Transit Time Tracer in the Unsaturated Zone of the Fontaine De Vaucluse Karst System. Hydrology. 2025; 12(2):24. https://doi.org/10.3390/hydrology12020024
Chicago/Turabian StyleSerène, Leïla, Naomi Mazzilli, Christelle Batiot-Guilhe, Christophe Emblanch, Milanka Babic, Julien Dupont, Roland Simler, and Matthieu Blanc. 2025. "The Use of Fluorescent Organic Matter as a Natural Transit Time Tracer in the Unsaturated Zone of the Fontaine De Vaucluse Karst System" Hydrology 12, no. 2: 24. https://doi.org/10.3390/hydrology12020024
APA StyleSerène, L., Mazzilli, N., Batiot-Guilhe, C., Emblanch, C., Babic, M., Dupont, J., Simler, R., & Blanc, M. (2025). The Use of Fluorescent Organic Matter as a Natural Transit Time Tracer in the Unsaturated Zone of the Fontaine De Vaucluse Karst System. Hydrology, 12(2), 24. https://doi.org/10.3390/hydrology12020024

