Evaluation of Gridded Rainfall Products in Three West African Basins
Abstract
1. Introduction
2. Materials and Methods
2.1. Study Area
2.2. Data
2.2.1. Observed Rainfall Data
2.2.2. Gridded Precipitation Data
2.3. Methods
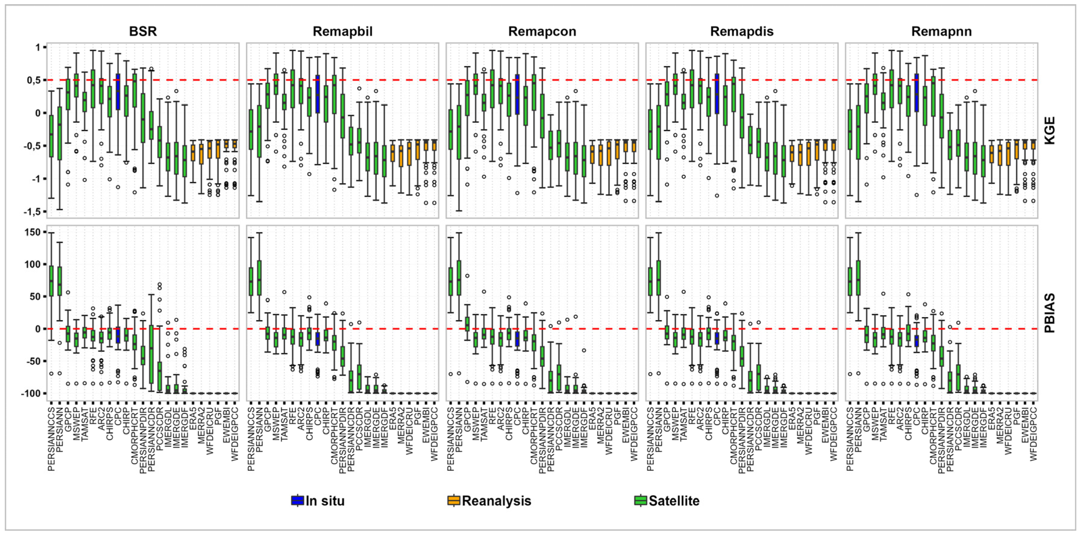
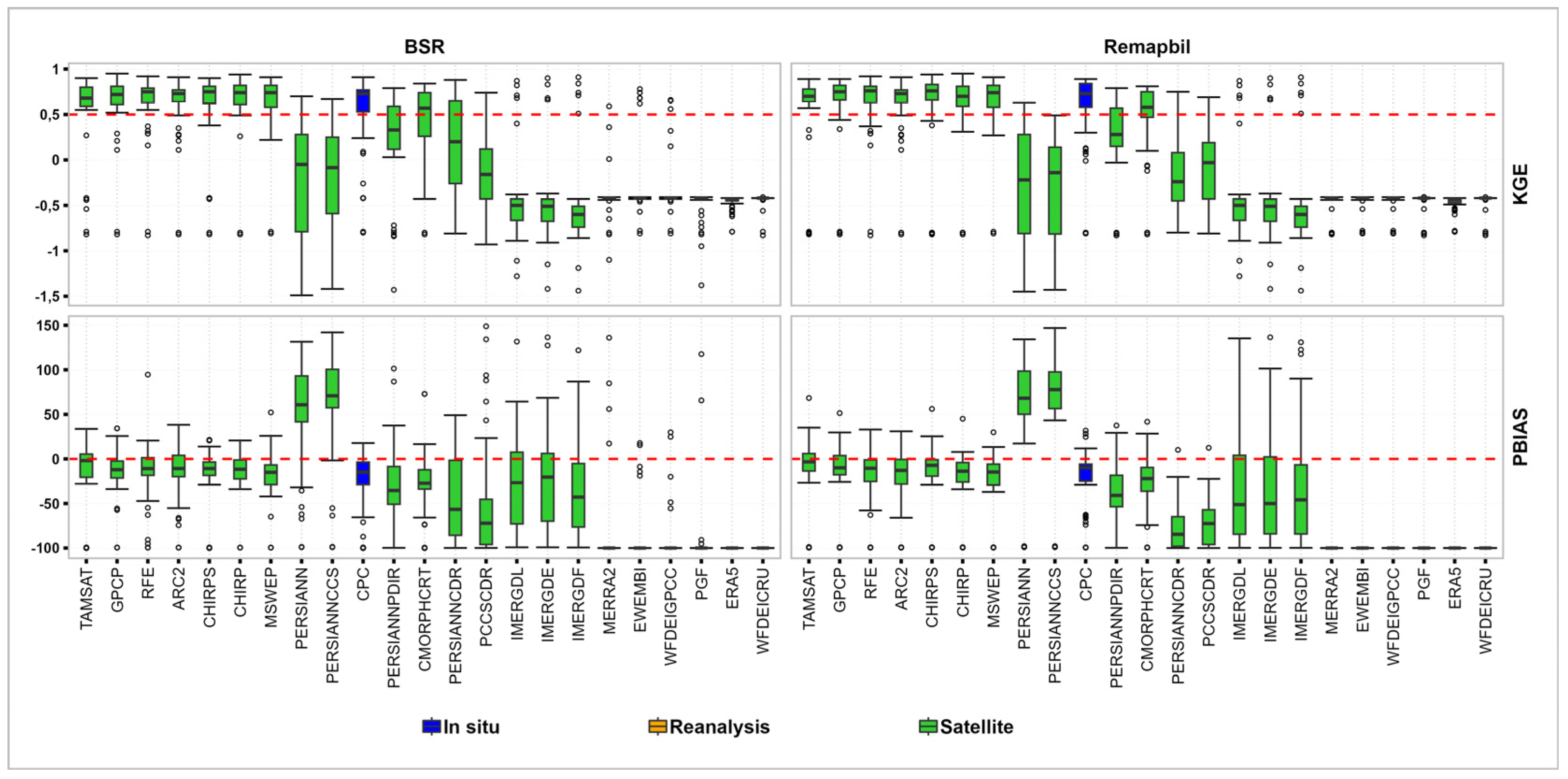
2.3.1. Temporal Resampling of Products
2.3.2. Spatial Resampling of Products
2.3.3. Evaluation of Gridded Precipitation Products
3. Results
3.1. Product Performance at Daily Time Intervals
3.2. Product Performance at Monthly Intervals
3.3. Seasonal Product Performance
4. Discussion
5. Conclusions
Author Contributions
Funding
Data Availability Statement
Acknowledgments
Conflicts of Interest
Appendix A. Spatial Resampling of Products

Appendix B. Performance of Products before and after Spatial Resampling



References
- Nations, U. World Population Prospects 2019—Volume II: Demographic Profiles; Department of Economic and Social Affairs: New York, NY, USA, 2019. [Google Scholar]
- Sivakumar, B. Global climate change and its impacts on water resources planning and management: Assessment and challenges. Stoch. Environ. Res. Risk Assess. 2011, 25, 583–600. [Google Scholar] [CrossRef]
- Vargas-Pineda, O.I.; Trujillo-González, J.M.; Torres-Mora, M.A. Supply–demand of water resource of a basin with high anthropic pressure: Case study Quenane-Quenanito Basin in Colombia. Air Soil Water Res. 2020, 13, 1178622120917725. [Google Scholar] [CrossRef]
- Carbonnel, J.P.; Hubert, P. Sur la sécheresse au Sahel d’Afrique de l’Ouest. Une rupture climatique dans les séries pluviométriques du Burkina Faso (ex Haute-Volta). In Comptes Rendus de l’Académie des Sciences. Série 2, Mécanique, Physique, Chimie, Sciences de l’Univers, Sciences de la Terre; Bnf Gallica: Paris, France, 1985; Volume 301, pp. 941–944. [Google Scholar]
- Nicholson, S.E. The spatial coherence of African rainfall anomalies: Interhemispheric teleconnections. J. Appl. Meteorol. Climatol. 1986, 25, 1365–1381. [Google Scholar] [CrossRef]
- Hubert, P.; Carbonnel, J.P. Approche statistique de l’aridification de l’Afrique de l’Ouest. J. Hydrol. 1987, 95, 165–183. [Google Scholar] [CrossRef]
- Hubert, P.; Carbonnel, J.P.; Chaouche, A. Segmentation des séries hydrométéorologiques—Application à des séries de précipitations et de débits de l’Afrique de l’ouest. J. Hydrol. 1989, 110, 349–367. [Google Scholar] [CrossRef]
- Olivry, J.C.; Bricquet, J.P.; Bamba, F.; Diarra, M. Le régime hydrologique du Niger supérieur et le déficit des deux dernières décennies. In Quelques Données Préliminaires sur l’Environnement et la Qualité des Apports du Niger au Sahel; FAO: Washington, DC, USA, 1994; pp. 9–25. [Google Scholar]
- Paturel, J.E.; Servat, E.; Kouame, B.; Lubes, H.; Fritsch, J.M.; Masson, J.M. Manifestations d’une variabilité hydrologique en Afrique de l’Ouest et Centrale. IAHS Publ. Ser. Proc. Rep. Intern. Assoc. Hydrol. Sci. 1997, 240, 21–30. [Google Scholar]
- Paturel, J.E.; Servat, E.; Delattre, M.O.; Lubès-Niel, H. Analyse de séries pluviométriques de longue durée en Afrique de l’Ouest et Centrale non sahélienne dans un contexte de variabilité climatique. Hydrol. Sci. J. 1998, 43, 937–946. [Google Scholar] [CrossRef]
- Servat, É.; Paturel, J.E.; Lubès-Niel, H.; Kouamé, B.R.; Masson, J.M.; Travaglio, M.; Marieu, B. De différents aspects de la variabilité de la pluviométrie en Afrique de l’Ouest et Centrale non sahélienne. Rev. Sci. L’Eau 1999, 12, 363–387. [Google Scholar] [CrossRef]
- Nicholson, S.E.; Some, B.; Kone, B. An analysis of recent rainfall conditions in West Africa, including the rainy seasons of the 1997 El Niño and the 1998 La Niña years. J. Clim. 2000, 13, 2628–2640. [Google Scholar] [CrossRef]
- Dacosta, H.; Kandia, K.Y.; Malou, R. La Variabilité Spatio-Temporelle des Précipitations au Sénégal depuis un Siècle; IAHS Press: Wallingford, UK, 2002; pp. 499–506. [Google Scholar]
- Mahé, G.; Paturel, J.E. 1896–2006 Sahelian annual rainfall variability and runoff increase of Sahelian Rivers. Comptes Rendus Geosci. 2009, 341, 538–546. [Google Scholar] [CrossRef]
- Bodian, A.; Dacosta, H.; Dezetter, A. Caractérisation spatio-temporelle du régime pluviométrique du haut bassin du fleuve Sénégal dans un contexte de variabilité climatique. Physio-Géo. Géographie Phys. Environ. 2011, 5, 107–124. [Google Scholar] [CrossRef]
- Descroix, L.; Djiba, S.; Sané, T.; Tarchiani, V. Eaux et Sociétés Face au Changement Climatique dans le Bassin de la Casamance: Actes de l’Atelier Scientifique et du Lancement de l’Initiative “Casamance: Un Réseau Scientifique au Service du Développement en Casamance” du 15–17 Juin 2015 à Hôtel KADIANDOUMAGNE de Ziguinchor, Sénégal; HAL Open Science: Lyon, France, 2015. [Google Scholar]
- Gascon, T. Impact de la Résolution Spatiale et Temporelle des Entrées Pluviométriques pour la Modélisation Hydrologique en Afrique de l’Ouest et Implication dans l’utilisation des Produits Satellitaires: Etude de Cas sur le Bassin de l’Ouémé au Benin. Ph.D. Thesis, Université Grenoble Alpes, Grenoble, France, 2016; 240p. [Google Scholar]
- Deme, A.; Gaye, A.T.; Hourdin, F. Les projections du climat. In Les Sociétés Rurales Face aux Changements Climatiques et Environnementaux en Afrique de l’Ouest; IRD Editions: Paris, France, 2017; p. 61. [Google Scholar]
- Baron, C.; Bonnassieux, A. Les enjeux de l’accès à l’eau en Afrique de l’Ouest: Diversité des modes de gouvernance et conflits d’usages. Monde Dév. 2011, 4, 17–32. [Google Scholar] [CrossRef]
- Biswas, A.K. Integrated water resources management: A reassessment: A water forum contribution. Water Int. 2004, 29, 248–256. [Google Scholar] [CrossRef]
- Savenije, H.H.; Van der Zaag, P. Integrated water resources management: Concepts and issues. Phys. Chem. Earth Parts A/B/C 2008, 33, 290–297. [Google Scholar] [CrossRef]
- El Bedawy, R. Water resources management: Alarming crisis for Egypt. J. Mgmt. Sustain. 2014, 4, 108. [Google Scholar] [CrossRef]
- Dörfliger, N.; Perrin, J. Ressources en eau: Une gestion nécessairement locale dans une approche globale. Geosciences 2011, 13, 94–101. [Google Scholar]
- Bodian, A.; Dezetter, A.; Dacosta, H. Apport de la modélisation pluie-débit pour la connaissance de la ressource en eau: Application au haut bassin du fleuve Sénégal. Climatologie 2012, 9, 109–125. [Google Scholar] [CrossRef]
- Faye, C. Gestion des Ressources en Eau en Afrique: Problèmes de Disponibilité des Données et Incertitudes Associées aux Mesures Hydrologiques au Sénégal. In Proceedings of the Congrès SHF: Hydrométrie 2017, Lyon, France, 14–15 March 2017. [Google Scholar]
- Bodian, A.; Diop, L.; Panthou, G.; Dacosta, H.; Deme, A.; Dezetter, A.; Ndiaye, P.M.; Diouf, I.; Vichel, T. Recent trend in hydroclimatic conditions in the Senegal River Basin. Water 2020, 12, 436. [Google Scholar] [CrossRef]
- Nicholson, S.E.; Some, B.; McCollum, J.; Nelkin, E.; Klotter, D.; Berte, Y.; Traore, A.K. Validation of TRMM and other rainfall estimates with a high-density gauge dataset for West Africa. Part II: Validation of TRMM rainfall products. J. Appl. Meteorol. 2003, 42, 1355–1368. [Google Scholar] [CrossRef]
- Bodian, A. Caractérisation de la variabilité temporelle récente des précipitations annuelles au Sénégal (Afrique de l’Ouest). Physio-Géo. Géographie Phys. Environ. 2014, 8, 297–312. [Google Scholar] [CrossRef]
- Tramblay, Y.; El Khalki, E.M.; Ciabatta, L.; Camici, S.; Hanich, L.; Saidi, M.E.M.; Brocca, L. River runoff estimation with satellite rainfall in Morocco. Hydrol. Sci. J. 2023, 68, 474–487. [Google Scholar] [CrossRef]
- Arkin, P.A.; Ardanuy, P.E. Estimating climatic-scale precipitation from space: A review. J. Clim. 1989, 2, 1229–1238. [Google Scholar] [CrossRef]
- Ashouri, H.; Hsu, K.L.; Sorooshian, S.; Braithwaite, D.K.; Knapp, K.R.; Cecil, L.D.; Prat, O.P. PERSIANN-CDR: Daily precipitation climate data record from multisatellite observations for hydrological and climate studies. Bull. Am. Meteorol. Soc. 2015, 96, 69–83. [Google Scholar] [CrossRef]
- Jiang, S.; Zhang, Z.; Huang, Y.; Chen, X.; Chen, S. Evaluating the TRMM multisatellite precipitation analysis for extreme precipitation and streamflow in Ganjiang River basin, China. Adv. Meteorol. 2017, 2017, 2902493. [Google Scholar] [CrossRef]
- Centella-Artola, A.; Bezanilla-Morlot, A.; Taylor, M.A.; Herrera, D.A.; Martinez-Castro, D.; Gouirand, I.; Alpizar, M. Evaluation of sixteen gridded precipitation datasets over the Caribbean region using gauge observations. Atmosphere 2020, 11, 1334. [Google Scholar] [CrossRef]
- Thiemig, V.; Rojas, R.; Zambrano-Bigiarini, M.; De Roo, A. Hydrological evaluation of satellite-based rainfall estimates over the Volta and Baro-Akobo Basin. J. Hydrol. 2013, 499, 324–338. [Google Scholar] [CrossRef]
- Satgé, F.; Defrance, D.; Sultan, B.; Bonnet, M.-P.; Seyler, F.; Rouché, N.; Pierron, F.; Paturel, J.-E. Evaluation of 23 gridded precipitation datasets across West Africa. J. Hydrol. 2020, 581, 124412. [Google Scholar] [CrossRef]
- Dembélé, M.; Zwart, S.J. Evaluation and comparison of satellite-based rainfall products in Burkina Faso, West Africa. Int. J. Remote Sens. 2016, 37, 3995–4014. [Google Scholar] [CrossRef]
- Didi, S.R.M.; Ly, M.; Kouakou, K.; Adeline, B.; Diédhiou, A.; Coulibaly, H.S.J.; Kaoudio, K.C.A.; Coulibaly, T.J.H.; Obahoundje Issiaka, S. Using the CHIRPS dataset to investigate historical changes in precipitation extremes in West Africa. Climate 2020, 8, 84. [Google Scholar] [CrossRef]
- Stisen, S.; Sandholt, I. Evaluation of remote-sensing-based rainfall products through predictive capability in hydrological runoff modelling. Hydrol. Process. Int. J. 2010, 24, 879–891. [Google Scholar] [CrossRef]
- Gosset, M.; Viarre, J.; Quantin, G.; Alcoba, M. Evaluation of several rainfall products used for hydrological applications over West Africa using two high-resolution gauge networks. Q. J. R. Meteorol. Soc. 2013, 139, 923–940. [Google Scholar] [CrossRef]
- Casse, C.; Gosset, M.; Peugeot, C.; Pedinotti, V.; Boone, A.; Tanimoun, B.A.; Decharme, B. Potential of satellite rainfall products to predict Niger River flood events in Niamey. Atmos. Res. 2015, 163, 162–176. [Google Scholar] [CrossRef]
- Bodian, A.; Dezetter, A.; Deme, A.; Diop, L. Hydrological evaluation of TRMM rainfall over the upper Senegal River basin. Hydrology 2016, 3, 15. [Google Scholar] [CrossRef]
- Poméon, T.; Jackisch, D.; Diekkrüger, B. Evaluating the performance of remotely sensed and reanalysed precipitation data over West Africa using HBV light. J. Hydrol. 2017, 547, 222–235. [Google Scholar] [CrossRef]
- Bâ, K.M.; Balcázar, L.; Diaz, V.; Ortiz, F.; Gómez-Albores, M.A.; Díaz-Delgado, C. Hydrological evaluation of PERSIANN-CDR rainfall over Upper Senegal River and Bani River basins. Remote Sens. 2018, 10, 1884. [Google Scholar] [CrossRef]
- Dembélé, M.; Schaefli, B.; van de Giesen, N.; Mariéthoz, G. Suitability of 17 rainfall and temperature gridded datasets for largescale hydrological modelling in West Africa. Hydrol. Earth Syst. Sci. Discuss. 2020, 2020, 1–39. [Google Scholar]
- Kouakou, C.; Paturel, J.E.; Satgé, F.; Tramblay, Y.; Defrance, D.; Rouché, N. Comparison of gridded precipitation estimates for regional hydrological modeling in West and Central Africa. J. Hydrol. Reg. Stud. 2023, 47, 101409. [Google Scholar] [CrossRef]
- Faye, C. méthode d’analyse statistique de données morphométriques: Corrélation de paramètres morphométriques et influence sur l’écoulement des sous-bassins du fleuve Sénégal. Cinq Cont. 2014, 4, 80–108. [Google Scholar]
- Ndiaye, M.P. Evaluation, Calibration et Analyse des Tendances Actuelles et Futures de l’Évapotranspiration de Référence dans le Bassin du Fleuve Sénégal. Ph.D. Thesis, Université Gaston Berger, Saint-Louis, Senegal, 2021; 169p. [Google Scholar]
- OMVS; HAUT-COMMISSARIAT. Projet de gestion des ressources en eau et de l’environnement du bassin du fleuve Sénégal: Composante 3: Analyse Diagnostique Transfrontalière et Plan d’Action Stratégique. In OMVS, Analyse Diagnostique Environnementale Transfrontalière du Bassin du Fleuve Sénégal, Synthèse Régionale; Rapport Final; African Water Information System: Dakar, Sénégal, 2007; 139p. [Google Scholar]
- Lamagat, J.P. Monographie Hydrologique du Fleuve Gambie Collection M&m; ORSTOM-OMVG: Dakar, Senegal, 1989; 250p. [Google Scholar]
- Faye, C. Caractérisation d’un bassin versant par l’analyse statistique des paramètres morphométriques: Cas du bassin versant de la Gambie (bassin continental Guineo-Sénégalais). Rev. Marocaine Géomorphologie 2018, 2, 110–127. [Google Scholar]
- Lamagat, J.P.; Albergel, J.; Bouchez, J.M.; Descroix, L. Monographie hydrologique du fleuve Gambie. In Ouvrage Publié avec le Concours du Ministère Français de la Cooperation; HAL Open Science: Lyon, France, 1990; 256p. [Google Scholar]
- Dacosta, H. Précipitations et Écoulements sur le Bassin de la Casamance. Ph.D. Thesis, Université Cheikh Anta Diop, Dakar, Senegal, 1989. [Google Scholar]
- Bodian, A.; Bacci, M.; Diop, M. Impact potentiel du changement climatique sur les ressources en eau de surface du bassin de la Casamance à partir des scénarios du CMIP5; Rapport n. 16; Programme d’Appui au Programme National d’Investissement en Agriculture du Sénégal (PAPSEN): Sédhiou, Sénégal, 2015; pp. 13–16+49. [Google Scholar]
- Sadio, P.M.; Mbaye, M.L.; Diatta, S.; Sylla, M.B. Hydro-climate variability and change in the Casamance river basin (Senegal). Houille Blanche-Rev. Int. L’Eau 2021, 6, 89–96. [Google Scholar]
- Vintrou, E. Cartographie et Caractérisation des Systèmes Agricoles au Mali par Télédétection à Moyenne Résolution Spatiale. Ph.D. Thesis, AgroParisTech, Paris, France, 2012. [Google Scholar]
- Novella, N.S.; Thiaw, W.M. African rainfall climatology version 2 for famine early warning systems. J. Appl. Meteorol. Climatol. 2013, 52, 588–606. [Google Scholar] [CrossRef]
- Funk, C.; Peterson, P.; Landsfeld, M.; Pedreros, D.; Verdin, J.; Shukla, S.; Michaelsen, J. The climate hazards infrared precipitation with stations—A new environmental record for monitoring extremes. Sci. Data 2015, 2, 1–21. [Google Scholar] [CrossRef] [PubMed]
- Beck, H.E.; Van Dijk, A.I.; Levizzani, V.; Schellekens, J.; Miralles, D.G.; Martens, B.; Roo, A.D. MSWEP: 3-hourly 0.25 global gridded precipitation (1979–2015) by merging gauge, satellite, and reanalysis data. Hydrol. Earth Syst. Sci. 2017, 21, 589–615. [Google Scholar] [CrossRef]
- Beck, H.E.; Wood, E.F.; Pan, M.; Fisher, C.K.; Miralles, D.G.; van Dijk, A.I.J.M.; Adler, R.F. MSWEP V2 global 3-hourly 0.1 precipitation: Methodology and quantitative assessment. Bull. Am. Meteorol. Soc. 2019, 100, 473–500. [Google Scholar] [CrossRef]
- Beck, H.E.; Pan, M.; Roy, T.; Weedon, G.P.; Pappenberger, F.; Van Dijk, A.I.; Wood, E.F. Daily evaluation of 26 precipitation datasets using Stage-IV gauge-radar data for the CONUS. Hydrol. Earth Syst. Sci. 2019, 23, 207–224. [Google Scholar] [CrossRef]
- Tarnavsky, E.; Grimes, D.; Maidment, R.; Black, E.; Allan, R.P.; Stringer, M.; Kayitakire, F. Extension of the TAMSAT satellite-based rainfall monitoring over Africa and from 1983 to present. J. Appl. Meteorol. Climatol. 2014, 53, 2805–2822. [Google Scholar] [CrossRef]
- Maidment, R.I.; Grimes, D.; Black, E.; Tarnavsky, E.; Young, M.; Greatrex, H.; Alcántara, E.M.U. A new, long-term daily satellite-based rainfall dataset for operational monitoring in Africa. Sci. Data 2017, 4, 170063. [Google Scholar] [CrossRef] [PubMed]
- Huffman, G.J.; Adler, R.F.; Morrissey, M.M.; Bolvin, D.T.; Curtis, S.; Joyce, R.; Susskind, J. Global precipitation at one-degree daily resolution from multisatellite observations. J. Hydrometeorol. 2001, 2, 36–50. [Google Scholar] [CrossRef]
- Hsu, K.L.; Gao, X.; Sorooshian, S.; Gupta, H.V. Precipitation estimation from remotely sensed information using artificial neural networks. J. Appl. Meteorol. Climatol. 1997, 36, 1176–1190. [Google Scholar] [CrossRef]
- Sorooshian, S.; Hsu, K.L.; Gao, X.; Gupta, H.V.; Imam, B.; Braithwaite, D. Evaluation of PERSIANN system satellite-based estimates of tropical rainfall. Bull. Am. Meteorol. Soc. 2000, 81, 2035–2046. [Google Scholar] [CrossRef]
- Hong, Y.; Hsu, K.L.; Sorooshian, S.; Gao, X. Precipitation estimation from remotely sensed imagery using an artificial neural network cloud classification system. J. Appl. Meteorol. 2004, 43, 1834–1853. [Google Scholar] [CrossRef]
- Nguyen, P.; Ombadi, M.; Gorooh, V.A.; Shearer, E.J.; Sadeghi, M.; Sorooshian, S.; Ralph, M.F. Persiann dynamic infrared–rain rate (PDIR-now): A near-real-time, quasi-global satellite precipitation dataset. J. Hydrometeorol. 2020, 21, 2893–2906. [Google Scholar] [CrossRef]
- Sadeghi, M.; Nguyen, P.; Naeini, M.R.; Hsu, K.; Braithwaite, D.; Sorooshian, S. PERSIANN-CCS-CDR, a 3-hourly 0.04 global precipitation climate data record for heavy precipitation studies. Sci. Data 2021, 8, 157. [Google Scholar] [CrossRef]
- Joyce, R.J.; Janowiak, J.E.; Arkin, P.A.; Xie, P. CMORPH: A method that produces global precipitation estimates from passive microwave and infrared data at high spatial and temporal resolution. J. Hydrometeorol. 2004, 5, 487–503. [Google Scholar] [CrossRef]
- Xie, P.; Joyce, R.; Wu, S.; Yoo, S.H.; Yarosh, Y.; Sun, F.; Lin, R. Reprocessed, bias-corrected CMORPH global high-resolution precipitation estimates from 1998. J. Hydrometeorol. 2017, 18, 1617–1641. [Google Scholar] [CrossRef]
- Xie, P.; Arkin, P.A. Analyses of global monthly precipitation using gauge observations, satellite estimates, and numerical model predictions. J. Clim. 1996, 9, 840–858. [Google Scholar] [CrossRef]
- Herman, A.; Kumar, V.B.; Arkin, P.A.; Kousky, J.V. Objectively determined 10-day African rainfall estimates created for famine early warning systems. Int. J. Remote Sens. 1997, 18, 2147–2159. [Google Scholar] [CrossRef]
- Huffman, G.J.; Bolvin, D.T.; Braithwaite, D.; Hsu, K.L.; Joyce, R.J.; Kidd, C.; Xie, P. Integrated multi-satellite retrievals for the global precipitation measurement (GPM) mission (IMERG). Satell. Precip. Meas. 2020, 1, 343–353. [Google Scholar]
- Gelaro, R.; McCarty, W.; Suárez, M.J.; Todling, R.; Molod, A.; Takacs, L.; Zhao, B. The modern-era retrospective analysis for research and applications, version 2 (MERRA-2). J. Clim. 2017, 30, 5419–5454. [Google Scholar] [CrossRef] [PubMed]
- Reichle, R.H.; Draper, C.S.; Liu, Q.; Girotto, M.; Mahanama, S.P.P.; Koster, R.D.; De Lannoy, G.J.M. Assessment of MERRA-2 land surface hydrology estimates. J. Clim. 2017, 30, 2937–2960. [Google Scholar] [CrossRef]
- Hersbach, H.; de Rosnay, P.; Bell, B.; Schepers, D.; Simmons, A.; Soci, C.; Abdalla, S.; Alonso-Balmaseda, M.; Balsamo, G.; Bechtold, P.; et al. Operational Global Reanalysis: Progress, Future Directions and Synergies with NWP; ERA Report Series; ECMWF: Reading, UK, 2018. [Google Scholar]
- Lange, S. EartH2Observe, WFDEI and ERA-Interim Data Merged and Bias-Corrected for ISIMIP (EWEMBI); GFZ Data Services; PIK: Potsdam, Germany, 2016. [Google Scholar]
- Sheffield, J.; Goteti, G.; Wood, E.F. Development of a 50-year high-resolution global dataset of meteorological forcings for land surface modeling. J. Clim. 2006, 19, 3088–3111. [Google Scholar] [CrossRef]
- Weedon, G.P.; Balsamo, G.; Bellouin, N.; Gomes, S.; Best, M.J.; Viterbo, P. The WFDEI meteorological forcing data set: WATCH Forcing Data methodology applied to ERA-Interim reanalysis data. Water Resour. Res. 2014, 50, 7505–7514. [Google Scholar] [CrossRef]
- Xie, P.; Chen, M.; Yang, S.; Yatagai, A.; Hayasaka, T.; Fukushima, Y.; Liu, C. A gauge-based analysis of daily precipitation over East Asia. J. Hydrometeorol. 2007, 8, 607–626. [Google Scholar] [CrossRef]
- Chen, M.; Shi, W.; Xie, P.; Silva, V.B.; Kousky, V.E.; Wayne Higgins, R.; Janowiak, J.E. Assessing objective techniques for gauge-based analyses of global daily precipitation. J. Geophys. Res. Atmos. 2008, 113, D4. [Google Scholar] [CrossRef]
- Levizzani, V.; Bauer, P.; Turk, F.J. Measuring Precipitation from Space: EURAINSAT and the Future; Springer Science & Business Media: Berlin/Heidelberg, Germany, 2007; Volume 28. [Google Scholar]
- Nguyen, P.; Ombadi, M.; Sorooshian, S.; Hsu, K.; AghaKouchak, A.; Braithwaite, D.; Thorstensen, A.R. The PERSIANN family of global satellite precipitation data: A review and evaluation of products. Hydrol. Earth Syst. Sci. 2018, 22, 5801–5816. [Google Scholar] [CrossRef]
- Levizzani, V.; Kidd, C.; Kirschbaum, D.B.; Kummerow, C.D.; Nakamura, K.; Turk, F.J. Satellite Precipitation Measurement; Springer: Cham, Switzerland, 2020. [Google Scholar]
- Balme, M.; Galle, S.; Lebel, T. Démarrage de la saison des pluies au Sahel: Variabilité aux échelles hydrologique et agronomique, analysée à partir des données EPSAT-Niger. Sécheresse 2005, 16, 15–22. [Google Scholar]
- Teegavarapu, R.S.; Meskele, T.; Pathak, C.S. Geo-spatial grid-based transformations of precipitation estimates using spatial interpolation methods. Comput. Geosci. 2012, 40, 28–39. [Google Scholar] [CrossRef]
- Da Silva, A.S.A.; Stosic, B.; Menezes, R.S.C.; Singh, V.P. Comparison of interpolation methods for spatial distribution of monthly precipitation in the state of Pernambuco, Brazil. J. Hydrol. Eng. 2019, 24, 04018068. [Google Scholar] [CrossRef]
- Jones, P.W. A User’s Guide for SCRIP: A Spherical Coordinate Remapping and Interpolation Package; Los Alamos National Laboratory: Los Alamos, NM, USA, 1998.
- Kim, K.H.; Shim, P.S.; Shin, S. An alternative bilinear interpolation method between spherical grids. Atmosphere 2019, 10, 123. [Google Scholar] [CrossRef]
- Jones, P.W. First-and second-order conservative remapping schemes for grids in spherical coordinates. Mon. Weather Rev. 1999, 127, 2204–2210. [Google Scholar] [CrossRef]
- Diaconescu, E.P.; Gachon, P.; Laprise, R. On the remapping procedure of daily precipitation statistics and indices used in regional climate model evaluation. J. Hydrometeorol. 2015, 16, 2301–2310. [Google Scholar] [CrossRef]
- Tomczak, M. Spatial interpolation and its uncertainty using automated anisotropic inverse distance weighting (IDW)-cross-validation/jackknife approach. J. Geogr. Inf. Decis. Anal. 1998, 2, 18–30. [Google Scholar]
- Olaofe, Z.O. On the remapping and identification of potential wind sites in nigeria. Energy Power Eng. 2015, 7, 477–499. [Google Scholar] [CrossRef][Green Version]
- Jorgensen, D.P.; Hildebrand, P.H.; Frush, C.L. Feasibility test of an airborne pulse—Doppler meteorological radar. J. Appl. Meteorol. Climatol. 1983, 22, 744–757. [Google Scholar] [CrossRef][Green Version]
- Sharif, H.O.; Ogden, F.L. Mass-conserving remapping of radar data onto two-dimensional cartesian coordinates for hydrologic applications. J. Hydrometeorol. 2014, 15, 2190–2202. [Google Scholar] [CrossRef]
- Gupta, H.V.; Kling, H.; Yilmaz, K.K.; Martinez, G.F. Decomposition of the mean squared error and NSE performance criteria: Implications for improving hydrological modelling. J. Hydrol. 2009, 377, 80–91. [Google Scholar] [CrossRef]
- Nash, J.E.; Sutcliffe, J.V. River flow forecasting through conceptual models part I—A discussion of principles. J. Hydrol. 1970, 10, 282–290. [Google Scholar] [CrossRef]
- Knoben, W.J.; Freer, J.E.; Woods, R.A. Inherent benchmark or not? Comparing Nash–Sutcliffe and Kling–Gupta efficiency scores. Hydrol. Earth Syst. Sci. 2019, 23, 4323–4331. [Google Scholar] [CrossRef]
- Vrugt, J.A.; de Oliveira, D.Y. Confidence intervals of the Kling-Gupta efficiency. J. Hydrol. 2022, 612, 127968. [Google Scholar] [CrossRef]
- Diop, S.B. Evaluation, Calibration et Analyse des Tendances de l’Évapotranspiration de Référence dans les Bassins des Fleuves Casamance et Gambie. Master’s Thesis, Université Gaston Berger, Saint-Louis, Senegal, 2021; 68p. [Google Scholar]
- Gaye, I.T. Modélisation des Impacts du Changement Climatique sur les Ressources en Eau du Bassin Versant du Bafing (Haut Bassin du Fleuve du Sénégal). Master’s Thesis, Université Assane Seck de Ziguinchor, Ziguinchor, Senegal, 2022; 69p. [Google Scholar]
- Zambrano-Bigiarini, M. Package ‘hydroGOF’. Goodness-of-Fit Functions for Comparison of Simulated and Observed, Version 0.6-0; R Core Team: Vienna, Austria, 2017.
- Sharifi, E.; Saghafian, B.; Steinacker, R. Downscaling satellite precipitation estimates with multiple linear regression, artificial neural networks, and spline interpolation techniques. J. Geophys. Res. Atmos. 2019, 124, 789–805. [Google Scholar] [CrossRef]











| Datasets | Full Product Name | Data Sources | Types | Start of Operation | Spatial Resolution | Temporal Resolution | References |
|---|---|---|---|---|---|---|---|
| ARC v2.0 | Africa Rainfall Estimate Climatology v2.0 | IS, S | Satellite | 1983-P | 0.1° × 0.1° | Daily | [56] |
| CHIRP v2.0 | Climate Hazards Group InfraRed v2.0 | S, R, A | Satellite | 1981-P | 0.05° | Daily | [57] |
| CHIRPS v2.0 | Climate Hazard Group InfraRed Precipitation with Stations v2.0 | IS, S, R, A | Satellite | 1981-P | 0.05° | Daily | [57] |
| MSWEP v2.2 | Multi-Source Weighted-Ensemble Precipitation V2.2 | IS, S, R, A | Satellite | 1979-P | 0.1° × 0.1° | 3-hourly | [58,59,60] |
| TAMSAT v3.0 | Tropical Applications of Meteorology using SATellite and ground-based observations v.3 | IS, S | Satellite | 1983-P | 0.0375° × 0.0375° | Daily | [61,62] |
| GPCP-1DD v1.2 | Global Precipitation Climatology Project 1-Degree Daily Combination v1.2 | IS, S | Satellite | 1997-P | 1° × 1° | Daily | [63] |
| PERSIANN | Precipitation Estimation from Remotely Sensed Information using Artificial Neural Networks | S | Satellite | 2000-P | 0.25° × 0.25° | 6h | [64,65] |
| PERSIANN-CDR v1r1 | Precipitation Estimation from Remotely Sensed Information using Artificial Neural Networks Climate Data Record | IS, S | Satellite | 1983-P | 0.25° × 0.25° | Daily | [30] |
| PERSIANN-CCS | PERSIANN-Cloud Classification System | S | Satellite | 2003-P | 0.4° × 0.4° | Daily | [66] |
| PERSIANN-PDIR-NOW | PERSIANN-Dynamic Infrared Rain Rate near real-time | Satellite | 2000-P | 0.4° × 0.4° | Daily | [67] | |
| PERSIANN-CCS-CDR | PERSIANN-Cloud Classification System- Climate Data Record | IS, S | Satellite | 1983-P | 0.4° × 0.4° | Daily | [68] |
| CMORPH-CRT v1.0 | Climate Prediction Center MORPHing technique bias corrected v1.0 | IS, S | Satellite | 1998-2019 | 0.25° × 0.25° | Daily | [69,70] |
| RFE v2.0 | Climate Prediction Center African Rainfall Estimate | IS, S | Satellite | 2001-P | 0.1° × 0.1° | Daily | [71,72] |
| IMERGDE v06 | Integrated Multi-satellitE Retrievals for GPM (IMERG) Early | IS, S | Satellite | 2000-P | 0.1° × 0.1° | Daily | [73] |
| IMERGDL v06 | Integrated Multi-satellitE Retrievals for GPM (IMERG) Late | IS, S | Satellite | 2000-P | 0.1° × 0.1° | Daily | [73] |
| IMERGDF v06 | Integrated Multi-satellitE Retrievals for GPM (IMERG) Final | IS, S | Satellite | 2000-P | 0.1° × 0.1° | Daily | [73] |
| MERRA-2 | Modern-Era Retrospective Analysis for Research and Applications 2 | IS, S, R | Reanalysis | 1980-P | 0.5° × 0.5° | Hourly | [74,75] |
| ERA5 | European Centre for Medium-range Weather Forecasts ReAnalysis 5 (ERA5) | R | Reanalysis | 1979-P | 0.25° × 0.25° | Hourly | [76] |
| EWEMBI v1.1 | EartH2Observe, WFDEI, and ERA-Interim data Merged and Bias-corrected for ISIMIP (EWEMBI) | IS, R | Reanalysis | 1979-2016 | 0.5° × 0.5° | Daily | [77] |
| PGF v3 | Princeton University Global Meteorological Forcing | IS, R | Reanalysis | 1979-2016 | 0.25° × 0.25° | Daily | [78] |
| WFDEI-CRU | WATCH Forcing Data ERAInterim (WFDEI) corrected using Climatic Research Unit (CRU) | IS, R | Reanalysis | 1979-2018 | 0.5° × 0.5° | 3-hourly/day | [79] |
| WFDEI-GPCC | WATCH Forcing Data ERAInterim (WFDEI) corrected using Global Precipitation Climatology Centre | IS, R | Reanalysis | 1979-2016 | 0.5° × 0.5° | 3-hourly/day | [80] |
| CPC v.1 | Climate Prediction Center Unified v.1 | IS | In situ | 1979-P | 0.5° × 0.5° | Daily | [81,82] |
| Criteria | Formulas | Extents | Optimum Values |
|---|---|---|---|
| KGE | −∞, 1 | 1 (1) | |
| PBIAS (%) | −∞, +∞ | 0 (2) |
Disclaimer/Publisher’s Note: The statements, opinions and data contained in all publications are solely those of the individual author(s) and contributor(s) and not of MDPI and/or the editor(s). MDPI and/or the editor(s) disclaim responsibility for any injury to people or property resulting from any ideas, methods, instructions or products referred to in the content. |
© 2024 by the authors. Licensee MDPI, Basel, Switzerland. This article is an open access article distributed under the terms and conditions of the Creative Commons Attribution (CC BY) license (https://creativecommons.org/licenses/by/4.0/).
Share and Cite
Goudiaby, O.; Bodian, A.; Dezetter, A.; Diouf, I.; Ogilvie, A. Evaluation of Gridded Rainfall Products in Three West African Basins. Hydrology 2024, 11, 75. https://doi.org/10.3390/hydrology11060075
Goudiaby O, Bodian A, Dezetter A, Diouf I, Ogilvie A. Evaluation of Gridded Rainfall Products in Three West African Basins. Hydrology. 2024; 11(6):75. https://doi.org/10.3390/hydrology11060075
Chicago/Turabian StyleGoudiaby, Omar, Ansoumana Bodian, Alain Dezetter, Ibrahima Diouf, and Andrew Ogilvie. 2024. "Evaluation of Gridded Rainfall Products in Three West African Basins" Hydrology 11, no. 6: 75. https://doi.org/10.3390/hydrology11060075
APA StyleGoudiaby, O., Bodian, A., Dezetter, A., Diouf, I., & Ogilvie, A. (2024). Evaluation of Gridded Rainfall Products in Three West African Basins. Hydrology, 11(6), 75. https://doi.org/10.3390/hydrology11060075

