Spatiotemporal Evaluation of Water Resources in Citarum Watershed during Weak La Nina and Weak El Nino
Abstract
1. Introduction
2. Materials and Methods
2.1. Field Site
2.2. Surface Water Data
2.3. Data Driven
3. Results and Discussion
3.1. Rainfall and Water Level Variability
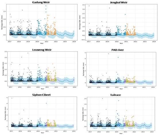
3.2. Water Resource Dynamics
4. Conclusions
Author Contributions
Funding
Data Availability Statement
Acknowledgments
Conflicts of Interest
References
- Hamada, J.-I.; Mori, S.; Kubota, H.; Yamanaka, M.D.; Haryoko, U.; Lestari, S.; Sulistyowati, R.; Syamsudin, F. Interannual rainfall variability over northwestern Java and its relation to the Indian Ocean dipole and El Niño southern oscillation events. Sola 2012, 8, 69–72. [Google Scholar] [CrossRef]
- Yamanaka, M.D.; Ogino, S.-Y.; Wu, P.-M.; Hamada, J.-I.; Mori, S.; Matsumoto, J.; Syamsudin, F. Maritime continent coastlines controlling Earth’s climate. Prog. Earth Planet. Sci. 2018, 5, 21–49. [Google Scholar] [CrossRef]
- Yamanaka, M.D. Physical climatology of Indonesian maritime continent: An outline to comprehend observational studies. Atmos. Res. 2016, 178, 231–259. [Google Scholar] [CrossRef]
- Boer, R.; Dasanto, B.D.; Perdinan, M. Climate Change and the Sustainable Use of Water Resources, Climate Change Management; Filho, W.L., Ed.; Springer: Berlin/Heidelberg, Germany, 2012. [Google Scholar] [CrossRef]
- Dimyati, M.; Rustanto, A.; Shiddiq, I.P.A.; Indratmoko, S.; Siswanto; Dimyati, R.D.; Nurlambang, T.; Zubair, A.; Fakhruddin, A.; Siddiq, A.; et al. Spatiotemporal relation of satellite-based meteorological to agricultural drought in the downstream Citarum watershed, Indonesia. Environ. Sustain. Indic. 2024, 22, 100339. [Google Scholar] [CrossRef]
- Muller, M. Dams have the power to slow climate change, (comment). Nature 2019, 566, 315–317. [Google Scholar] [CrossRef] [PubMed]
- Liersch, S.; Koch, H.; Hattermann, F.F. Management Scenarios of the Grand Ethiopian Renaissance Dam and Their Impacts under Recent and Future Climates. Water 2017, 9, 728–741. [Google Scholar] [CrossRef]
- Kazemi, H.; Sarukkalige, R.; Shao, Q. Evaluation of non-uniform groundwater level data using spatiotemporal modeling. Groundw. Sustain. Dev. 2021, 15, 100659. [Google Scholar] [CrossRef]
- Raj, A.S.; Oliver, D.H.; Srinivas, Y.; Viswanath, J. Wavelet based analysis on rainfall and water table depth forecasting using Neural Networks in Kanyakumari district, Tamil Nadu, India. Groundw. Sustain. Dev. 2017, 5, 178–186. [Google Scholar]
- Rivett, M.O.; Miller, A.V.M.; MacAllister, D.J.; Fallas, A.; Wanang, G.J.; Mleta, P.; Phiri, P.; Mannix, N.; Monjerezi, M.; Kalin, R.M. A conceptual model based framework for pragmatic groundwater-quality monitoring network design in the developing world: Application to the Chikwawa District, Malawi. Groundw. Sustain. Dev. 2018, 6, 213–226. [Google Scholar] [CrossRef]
- Patil, N.S.; Chetan, N.L.; Nataraja, M.; Suthar, S. Climate change scenarios and its effect on groundwater level in the Hiranyakeshi watershed. Groundw. Sustain. Dev. 2020, 10, 100323. [Google Scholar] [CrossRef]
- Hossain, M.Z.; Nikam, B.R.; Srivastav, S.K.; Gupta, P.K. Estimating groundwater resource and understanding recharge processes in the rapidly urbanizing Dhaka City, Bangladesh. Groundw. Sustain. Dev. 2021, 12, 100514. [Google Scholar] [CrossRef]
- Andualem, T.G.; Demeke, G.G.; Ahmed, I.; Dar, M.A.; Yibeltal, M. Groundwater recharge estimation using empirical methods from rainfall and streamflow records. J. Hydrol. Reg. Stud. 2021, 37, 100917. [Google Scholar] [CrossRef]
- Boer, R.; Rakhman, A.; Pulhin, J.; Schuster, S. Methodology for assessing vulnerability and climate risk of villages in Citarum Watershed, West Java, Indonesia. IOP Conf. Ser. Earth Environ. 2019, 363, 012007. [Google Scholar] [CrossRef]
- Rusli, S.R.; Weerts, A.H.; Taufiq, A.; Bense, V.F. Estimating water balance components and their uncertainty bounds in highly groundwater-dependent and data-scarce area: An example for the Upper Citarum basin. J. Hydrol. Reg. Stud. 2021, 37, 100911. [Google Scholar] [CrossRef]
- Liu, J.; Deng, J.; Chai, Y.; Yang, Y.; Zhu, B.; Li, S. Variation of the Water Level in the Yangtze River in Response to Natural and Anthropogenic Changes. Water 2019, 11, 2594–2612. [Google Scholar] [CrossRef]
- Fan, Z.; Wang, Z.; Li, Y.; Wang, W.; Tang, C.; Zeng, F. Water Level Fluctuation under the Impact of Lake Regulation and Ecological Implication in Huayang Lakes, China. Water 2020, 12, 702–725. [Google Scholar] [CrossRef]
- Rani, M.; Pande, A.; Kumar, K.; Joshi, H.; Rawat, D.S.; Kumar, D. Investigation of groundwater recharge prospect and hydrological response of groundwater augmentation measure in Upper Kosi watershed, Kumaun Himalaya, India. Groundw. Sustain. Dev. 2022, 16, 1000720. [Google Scholar] [CrossRef]
- Hou, A.Y.; Kakar, R.K.; Neeck, S.; Azarbarzin, A.A.; Kummerow, C.d.; Kojima, M.; Oki, R.; Nakamura, K.; Iguchi, T. The Global Precipitation Measurement Mission. Bull. Am. Meteorol. Soc. 2014, 95, 701–722. [Google Scholar] [CrossRef]
- Ushio, T.; Sasashige, K.; Kubota, T.; Shige, S.; Okamoto, K.; Aonashi, K.; Inoue, T.; Takahashi, N.; Iguchi, T.; Kachi, M.; et al. A Kalman Filter Approach to the Global Satellite Mapping of Precipitation (GSMaP) from Combined Passive Microwave and Infrared Radiometric Data. J. Meteorol. Soc. Jpn. 2009, 87A, 137–151. [Google Scholar] [CrossRef]
- Adekele, O.O.; Makinde, V.; Eruola, A.O.; Dada, O.F.; Ojo, A.O.; Aluko, T.J. Estimation of Groundwater Recharges Using Empirical Formulae in Odeda Local Government Area, Ogun State, Nigeria. Challenges 2015, 6, 271–281. [Google Scholar] [CrossRef]
- Islam, S.; Singh, R.K.; Khan, R.A. Methods of Estimating Groundwater Recharge. Int. J. Eng. Assoc. 2015, 5, 6–9. [Google Scholar]
- Bloomfield, P. Fourier Analysis of Time Series, 2nd ed.; John Wiley and Son: New York, NY, USA, 2000. [Google Scholar]
- Aguilera, H.; Guardiola-Albert, C.; Naranjo-Fernández, N.; Kohfahl, C. Towards flexible groundwater-level prediction for adaptive water management: Using Facebook’s Prophet forecasting approach. Hydrol. Sci. J. 2019, 64, 1504–1518. [Google Scholar] [CrossRef]
- Awasthi, N.; Tripathi, J.N.; Petropoulos, G.P.; Kumar, P.; Singh, A.K.; Dakhore, K.K.; Ghosh, K.; Gupta, D.K.; Srivastava, P.K.; Kalogeropoulos, K.; et al. Long-Term Spatiotemporal Investigation of Various Rainfall Intensities over Central India Using EO Datasets. Hydrology 2024, 11, 27. [Google Scholar] [CrossRef]
- Raghunath, H.M. Hydrology: Principles, Analysis, Design, 2nd ed.; New Age Int Limited: New Delhi, India, 2006. [Google Scholar]
- Fatkhuroyan, W.T.; Sukmana, A.; Kurniawan, R. Validation of Satellite Daily Rainfall Estimates Over Indonesia. Forum Geogr. 2018, 32, 2–13. [Google Scholar] [CrossRef]
- Sofiati, I.; Avia, L.Q. Analysis of Rainfall Data based on GSMaP and TRMM towards Observations Data in Yogyakarta. IOP Conf. Ser. Earth Environ. Sci. 2018, 166, 012031. [Google Scholar] [CrossRef]
- Priyambodoho, B.A.; Kure, S.; Yagi, R.; Januriyadi, N.F. Flood inundation simulations based on GSMaP data rainfall data in Jakarta, Indonesia. Prog. Earth Planet Sci. 2021, 8, 34. [Google Scholar] [CrossRef]
- Fu, Q.; Ruan, R.; Liu, Y. Accuracy Assessment of Global Satellite Mapping of Precipitation (GSMaP) Product over Poyang Lake Basin, China. Procedia Environ. Sci. 2011, 10, 2265–2271. [Google Scholar] [CrossRef]
- Yamamoto, K.; Sayama, T. Apip Impact of climate change on flood inundation in a tropical watershed in Indonesia. Prog. Earth Planet. Sci. 2021, 8, 5–13. [Google Scholar] [CrossRef]
- Van Gaalen, J.; Kruse, S.; Lafrenz, W.; Burroughs, S. Predicting water table response to rainfall events. Cent. Fla. Groundw. 2013, 51, 350–362. [Google Scholar] [CrossRef]
- Zhang, M.; Chen, Y.; Shen, Y.; Li, Y. Changes of precipitation extremes in arid Central Asia. Quat. Int. 2017, 436, 16–27. [Google Scholar] [CrossRef]
- Hidayat, R. Modulation of Indonesian Rainfall Variability by the Madden-Julian Oscillation. Procedia Environ. Sci. 2016, 33, 167–177. [Google Scholar] [CrossRef]
- Hidayat, R.; Kizu, S. Influence of the MaddenJulian Oscillation on Indonesian rainfall variability in austral summer. Int. J. Climatol. 2009, 30, 1816–1825. [Google Scholar] [CrossRef]
- Suryanta, J.; Nahib, I.; Turmudi, D.M.; Amhar, F.; Santikayasa, I.P.; Wahyudin, Y. Assessment of rainwater absorption zone in Citarum Watershed using GIS and AHP. IOP Conf. Ser. Earth Environ. Sci. 2022, 1109, 012055. [Google Scholar] [CrossRef]
- Ilbay-Yupa, M.; Ilbay, F.; Zubieta, R.; García-Mora, M.; Chasi, P. Impacts of Climate Change on the Precipitation and Streamflow Regimes in Equatorial Regions: Guayas Watershed. Water 2021, 13, 3138. [Google Scholar] [CrossRef]
- Di Chiano, M.G.; Marchioni, M.; Raimondi, A.; Sanfilippo, U.; Becciu, G. Probabilistic Approach to Tank Design in Rainwater Harvesting Systems. Hydrology 2023, 10, 59. [Google Scholar] [CrossRef]
- Zheng, Z.; Yan, Z.; Chen, J.; Han, J.; Xia, J.; Zhang, X.; Cai, S.; Liu, X. Evolving Threshold of Flood-Leading Precipitation in a User-Oriented Forecast System Based on the TIGGE Dataset. Front. Earth Sci. 2021, 9, 2021. [Google Scholar] [CrossRef]
- Han, P.F.; Wang, X.S.; Wan, L.; Jiang, X.W.; Hu, F.S. The exact groundwater divide on water table between two rivers: A fundamental model investigation. Water 2019, 11, 685. [Google Scholar] [CrossRef]
- Ochoa, C.G.; Jarvis, W.T.; Hall, J. A Hydrogeologic Framework for Understanding Surface Water and Groundwater Interactions in a Watershed System in the Willamette Basin in Western Oregon, USA. Geosciences 2022, 12, 109. [Google Scholar] [CrossRef]
- Abaurrea, J.; Asin, J.; Cebrian, A.C. Trend analysis of water quality series based on regression models with correlated errors. J. Hydrol. 2011, 400, 341–352. [Google Scholar] [CrossRef]
- Irwandi, H.; Rosid, M.S.; Mart, T. The effects of ENSO, climate change and human activities on the water level of Lake Toba, Indonesia: A critical literature review. Geosci. Lett. 2021, 8, 21. [Google Scholar] [CrossRef]
- Saha, G.C. Climate Change Induced Precipitation Effects on Water Resources in the Peace Region of British Columbia, Canada. Climate 2015, 3, 264–282. [Google Scholar] [CrossRef]
- Kouakou, E.; Koné, B.; N’Go, A.; Cissé, G.; Speranza, C.I. Ground water sensitivity to climate variability in the white Bandama basin, Ivory Coast. SpringerPlus 2014, 3, 226. [Google Scholar] [CrossRef] [PubMed]




















| No. | Stations | Latitude | Longitude | ||
|---|---|---|---|---|---|
| SESAME | GSMaP_NRT | SESAME | GSMaP_NRT | ||
| 1 | Cisomang River | −6.6924541 | −6.65 | 107.418 | 107.45 |
| 2 | Ciasem River | −6.2494061 | −6.25 | 106.9326 | 106.95 |
| 3 | Tailrace | −6.5210651 | −6.55 | 107.3893 | 107.35 |
| 4 | Cibeet Weir | −6.3910927 | −6.35 | 107.2209 | 107.25 |
| 5 | Siphon Cibeet | −6.3462995 | −6.35 | 107.2273 | 107.25 |
| 6 | LeuweungWeir | −6.3380958 | −6.35 | 107.3651 | 107.35 |
| 7 | Jengkol Weir | −6.3541052 | −6.35 | 107.6628 | 107.65 |
| 8 | PAB River | −6.6241547 | −6.65 | 107.6747 | 107.65 |
| 9 | Gadung Weir | −6.3955554 | −6.35 | 107.8273 | 107.85 |
| 10 | Cigadung River | −6.4328435 | −6.45 | 107.8265 | 107.85 |
Disclaimer/Publisher’s Note: The statements, opinions and data contained in all publications are solely those of the individual author(s) and contributor(s) and not of MDPI and/or the editor(s). MDPI and/or the editor(s) disclaim responsibility for any injury to people or property resulting from any ideas, methods, instructions or products referred to in the content. |
© 2024 by the authors. Licensee MDPI, Basel, Switzerland. This article is an open access article distributed under the terms and conditions of the Creative Commons Attribution (CC BY) license (https://creativecommons.org/licenses/by/4.0/).
Share and Cite
Susandi, A.; Darmawan, A.; Sulaiman, A.; Dewantoro, M.D.R.; Wijaya, A.R.; Riyadi, A.; Salim, A.; Darmawan, R.R.; Pratama, A.F. Spatiotemporal Evaluation of Water Resources in Citarum Watershed during Weak La Nina and Weak El Nino. Hydrology 2024, 11, 73. https://doi.org/10.3390/hydrology11060073
Susandi A, Darmawan A, Sulaiman A, Dewantoro MDR, Wijaya AR, Riyadi A, Salim A, Darmawan RR, Pratama AF. Spatiotemporal Evaluation of Water Resources in Citarum Watershed during Weak La Nina and Weak El Nino. Hydrology. 2024; 11(6):73. https://doi.org/10.3390/hydrology11060073
Chicago/Turabian StyleSusandi, Armi, Arief Darmawan, Albertus Sulaiman, Mouli De Rizka Dewantoro, Aristyo Rahadian Wijaya, Agung Riyadi, Agus Salim, Rafif Rahman Darmawan, and Angga Fauzan Pratama. 2024. "Spatiotemporal Evaluation of Water Resources in Citarum Watershed during Weak La Nina and Weak El Nino" Hydrology 11, no. 6: 73. https://doi.org/10.3390/hydrology11060073
APA StyleSusandi, A., Darmawan, A., Sulaiman, A., Dewantoro, M. D. R., Wijaya, A. R., Riyadi, A., Salim, A., Darmawan, R. R., & Pratama, A. F. (2024). Spatiotemporal Evaluation of Water Resources in Citarum Watershed during Weak La Nina and Weak El Nino. Hydrology, 11(6), 73. https://doi.org/10.3390/hydrology11060073

