Evaluation of BMPs in Flatland Watershed with Pumped Outlet
Abstract
1. Introduction
2. Materials and Methods
2.1. Description of Study Area
2.2. Model Input Datasets
2.2.1. DEM
2.2.2. Climate Data
2.2.3. Soils
2.2.4. Land Use and Land Cover (LULC)
3. SWAT Model Built-up and BMP Implementation
3.1. Delineation of Flow Paths
3.2. Incorporation a Pumping Outlet in SWAT Model
3.3. Delineation of Watersheds and Sub-Watersheds, and Generation of HRUs
3.4. Model Calibration
3.5. Best Management Practices (BMPs)
3.5.1. Implementation of BMPs
3.5.2. Potential BMPs for J1 and J2 Watersheds
4. Results and Discussion
4.1. Flow Calibration
4.2. Sediment Calibration
4.3. Phosphorus Calibration
4.4. BMP Scenarios
4.4.1. Effectiveness of Current BMPs
4.4.2. Scenarios for Existing BMPs
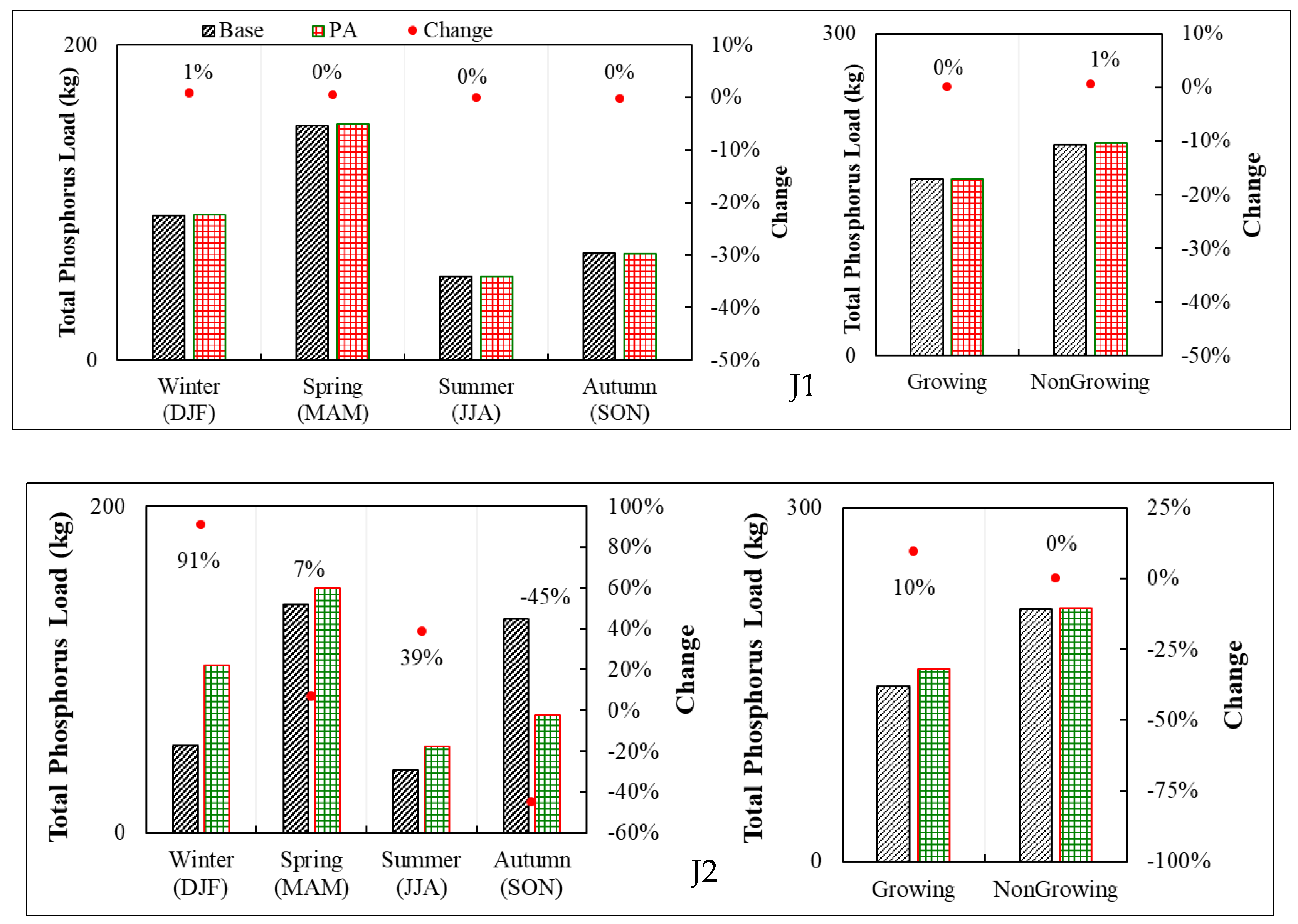
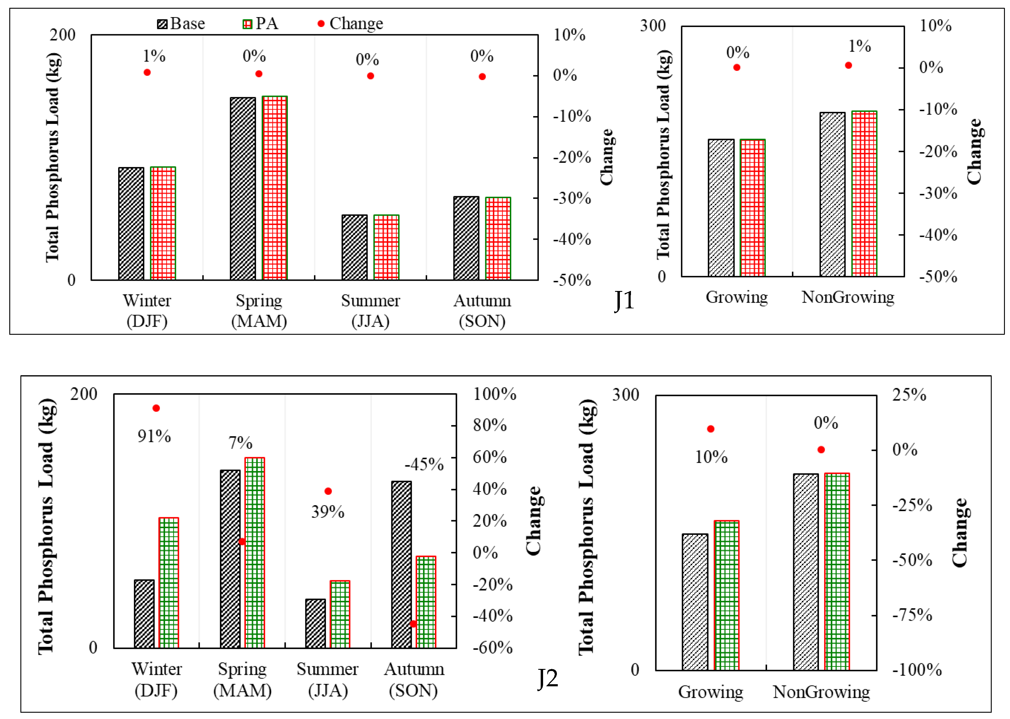
Retiring the P Application BMP from the Existing BMPs for J1 and J2 Watersheds
Retiring Conservation Tillage from the Existing BMPs
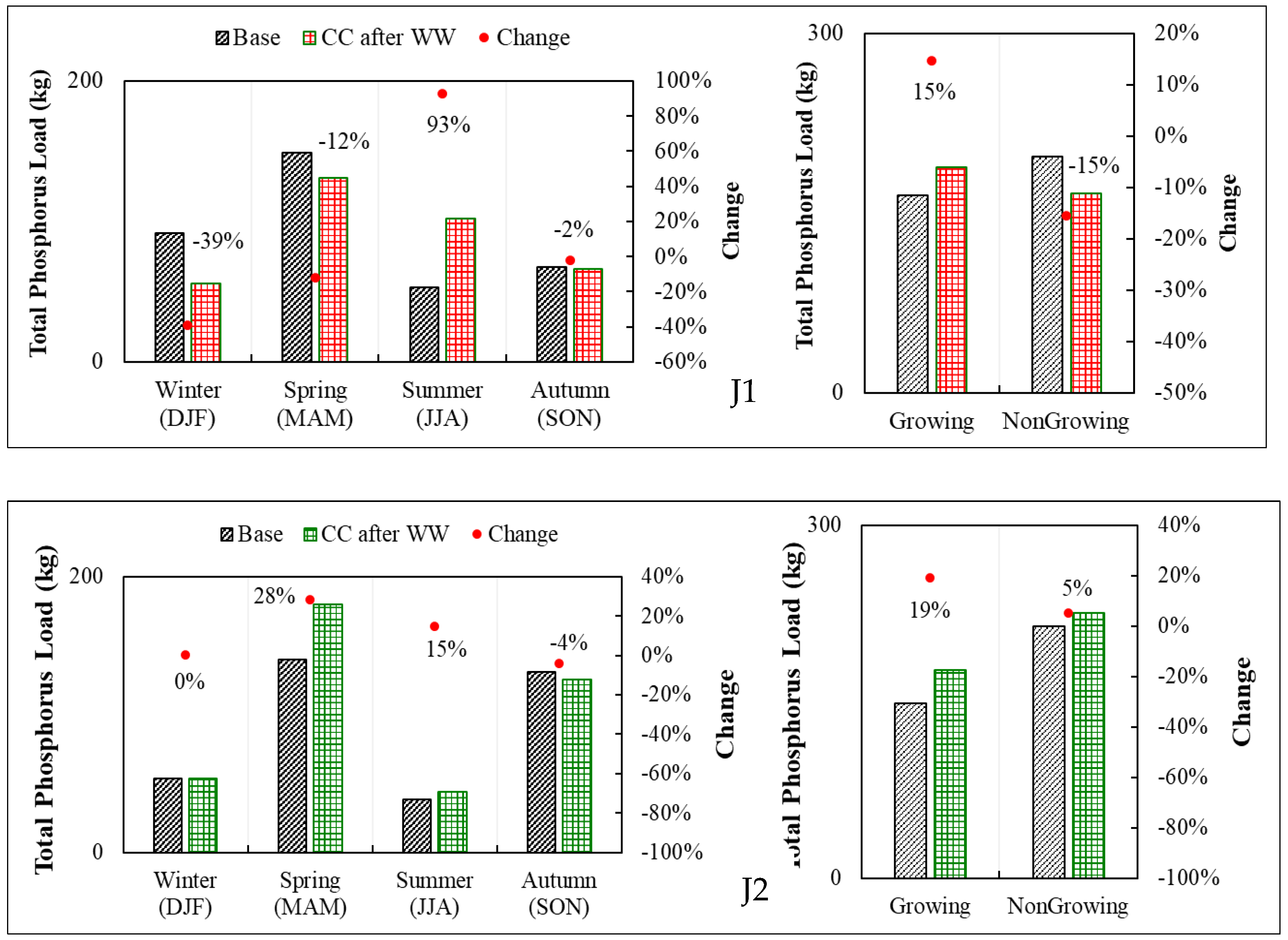
Retiring the Cover Crop from the Existing BMPs
Retiring Vegetative Buffer Strips from the Existing BMPs
4.4.3. Scenarios for Possible BMPs
5. Conclusions
Supplementary Materials
Author Contributions
Funding
Data Availability Statement
Acknowledgments
Conflicts of Interest
References
- Gandhi, N.; Gewurtz, S.B.; Drouillard, K.G.; Kolic, T.; MacPherson, K.; Reiner, E.J.; Bhavsar, S.P. Dioxins in Great Lakes fish: Past, present and implications for future monitoring. Chemosphere 2019, 222, 479–488. [Google Scholar] [CrossRef]
- Shear, H. The Great Lakes, an ecosystem rehabilitated, but still under threat. Environ. Monit. Assess. 2006, 113, 199–225. [Google Scholar] [CrossRef]
- Lynam, M.M.; Oriol, L.; Mann, T.; Dvonch, J.T.; Barres, J.A.; Gratz, L.; White, E.M.; Landis, M.S.; Mahowald, N.; Steiner, A.L. Atmospheric dry and wet deposition of total phosphorus to the great lakes. Atmos. Environ. 2023, 313, 120049. [Google Scholar] [CrossRef] [PubMed]
- Bridgeman, T.B.; Chaffin, J.D.; Kane, D.D.; Conroy, J.D.; Panek, S.E.; Armenio, P.M. From river to lake: Phosphorus partitioning and algal community compositional changes in Western Lake Erie. J. Great Lakes Res. 2012, 38, 90–97. [Google Scholar] [CrossRef]
- Khan, M. 7.54 Phosphorus discharges from great lakes water authority’s water resource recovery facility. CHECKUP 2023, 1, 431. [Google Scholar]
- Joosse, P.J.; Baker, D.B. Context for re-evaluating agricultural source phosphorus loadings to the Great Lakes. Can. J. Soil Sci. 2011, 91, 317–327. [Google Scholar] [CrossRef]
- Fermanich, K.; Meyers, M.; Loken, L.C.; Bischoff-Gray, M.; Turco, R.; Stahlheber, K.; Duriancik, L.; Dornbush, M.; Komiskey, M. Challenges in linking soil health to edge-of-field water quality across the Great Lakes basin. J. Environ. Qual. 2023, 52, 508–522. [Google Scholar] [CrossRef] [PubMed]
- Singh, N.K.; Van Meter, K.J.; Basu, N.B. Widespread increases in soluble phosphorus concentrations in streams across the transboundary Great Lakes Basin. Nat. Geosci. 2023, 10, 893–900. [Google Scholar] [CrossRef]
- Michalak, A.M.; Anderson, E.J.; Beletsky, D.; Boland, S.; Bosch, N.S.; Bridgeman, T.B.; Chaffin, J.D.; Cho, K.; Confesor, R.; Daloğlu, I.; et al. Record-setting algal bloom in Lake Erie caused by agricultural and meteorological trends consistent with expected future conditions. Proc. Natl. Acad. Sci. USA 2013, 110, 6448–6452. [Google Scholar] [CrossRef] [PubMed]
- Scavia, D.; Allan, J.D.; Arend, K.K.; Bartell, S.; Beletsky, D.; Bosch, N.S.; Brandt, S.B.; Briland, R.D.; Daloğlu, I.; DePinto, J.V.; et al. Assessing and addressing the re-eutrophication of Lake Erie: Central basin hypoxia. J. Great Lakes Res. 2014, 40, 226–246. [Google Scholar] [CrossRef]
- Liu, Y.; Yang, W.; Leon, L.; Wong, I.; McCrimmon, C.; Dove, A.; Fong, P. Hydrologic modeling and evaluation of Best Management Practice scenarios for the Grand River watershed in Southern Ontario. J. Great Lakes Res. 2016, 42, 1289–1301. [Google Scholar] [CrossRef]
- Stang, C.; Gharabaghi, B.; Rudra, R.; Golmohammadi, G.; Mahboubi, A.A.; Ahmed, S.I. Conservation management practices: Success story of the Hog Creek and Sturgeon River watersheds, Ontario, Canada. J. Soil Water Conserv. 2016, 71, 237–248. [Google Scholar] [CrossRef]
- Merriman, K.R.; Russell, A.M.; Rachol, C.M.; Daggupati, P.; Srinivasan, R.; Hayhurst, B.A.; Stuntebeck, T.D. Calibration of a field-scale Soil and Water Assessment Tool (SWAT) model with field placement of best management practices in Alger Creek, Michigan. Sustainability 2018, 10, 851. [Google Scholar] [CrossRef]
- Merriman, K.R.; Daggupati, P.; Srinivasan, R.; Hayhurst, B. Assessment of site-specific agricultural Best Management Practices in the Upper East River watershed, Wisconsin, using a field-scale SWAT model. J. Great Lakes Res. 2019, 45, 619–641. [Google Scholar] [CrossRef]
- Shrestha, N.K.; Akhtar, T.; Ghimire, U.; Rudra, R.P.; Goel, P.K.; Shukla, R.; Daggupati, P. Can-GLWS: Canadian great lakes weather service for the soil and water assessment tool (SWAT) modelling. J. Great Lakes Res. 2021, 47, 242–251. [Google Scholar] [CrossRef]
- Zhang, Z.; Montas, H.; Shirmohammadi, A.; Leisnham, P.; Negahban-Azar, M. Effectiveness of BMP plans in different land covers, with random, targeted, and optimized allocation. Sci. Total Environ. 2023, 892, 164428. [Google Scholar] [CrossRef]
- Sharma, S.; Bijukshe, S.; Puppala, S.S. Monitoring, Modeling and Planning Best Management Practices (BMPs) in the Atwood and Tappan Lake Watersheds with Stakeholders Engagements. Water 2023, 15, 3028. [Google Scholar] [CrossRef]
- Daggupati, P.; Douglas-Mankin, K.R.; Sheshukov, A.Y.; Barnes, P.L.; Devlin, D.L. Field-level targeting using SWAT: Mapping output from HRUs to fields and assessing limitations of GIS input data. Trans. ASABE 2011, 54, 501–514. [Google Scholar] [CrossRef]
- Hanief, A.; Laursen, A.E. Meeting updated phosphorus reduction goals by applying best management practices in the Grand River watershed, southern Ontario. Ecol. Eng. 2019, 130, 169–175. [Google Scholar] [CrossRef]
- Zhang, B.; Shrestha, N.K.; Rudra, R.; Shukla, R.; Daggupati, P.; Goel, P.K.; Allataifeh, N. Threshold storm approach for locating phosphorus problem areas: An application in three agricultural watersheds in the Canadian Lake Erie basin. J. Great Lakes Res. 2020, 46, 132–143. [Google Scholar] [CrossRef]
- Miele, P.; Shukla, R.; Prasher, S.; Rudra, R.P.; Daggupati, P.; Goel, P.K.; Stammler, K.; Gupta, A.K. Assessing the Impact of BMPs on Water Quality and Quantity in a Flat Agricultural Watershed in Southern Ontario. Resources 2023, 12, 142. [Google Scholar] [CrossRef]
- Venishetty, V.; Parajuli, P.B. Assessment of BMPs by Estimating Hydrologic and Water Quality Outputs Using SWAT in Yazoo River Watershed. Agriculture 2022, 12, 477. [Google Scholar] [CrossRef]
- Singh, S.; Hwang, S.; Arnold, J.G.; Bhattarai, R. Evaluation of Agricultural BMPs’ Impact on Water Quality and Crop Production Using SWAT+ Model. Agriculture 2023, 13, 1484. [Google Scholar] [CrossRef]
- Buakhao, W.; Kangrang, A. DEM resolution impact on the estimation of the physical characteristics of watersheds by using SWAT. Adv. Civ. Eng. 2016, 16, 9. [Google Scholar] [CrossRef]
- Alitane, A.; Essahlaoui, A.; El Hafyani, M.; El Hmaidi, A.; El Ouali, A.; Kassou, A.; Van Rompaey, A. Water erosion monitoring and prediction in response to the effects of climate change using RUSLE and SWAT equations: Case of R’Dom watershed in Morocco. Land 2022, 11, 93. [Google Scholar] [CrossRef]
- Donmez, C.; Sari, O.; Berberoglu, S.; Cilek, A.; Satir, O.; Volk, M. Improving the applicability of the SWAT model to simulate flow and nitrate dynamics in a flat data-scarce agricultural region in the Mediterranean. Water 2020, 12, 3479. [Google Scholar] [CrossRef]
- Guse, B.; Pfannerstill, M.; Strauch, M.; Reusser, D.E.; Lüdtke, S.; Volk, M.; Fohrer, N. On characterizing the temporal dominance patterns of model parameters and processes. Hydrol. Process. 2016, 30, 2255–2270. [Google Scholar] [CrossRef]
- Kmoch, A.; Moges, D.M.; Sepehrar, M.; Narasimhan, B.; Uuemaa, E. The Effect of Spatial Input Data Quality on the Performance of the SWAT Model. Water 2022, 14, 1988. [Google Scholar] [CrossRef]
- Arnold, J.G.; Srinivasan, R.; Muttiah, R.S.; Williams, J.R. Large area hydrologic modeling and assessment part I: Model development. J. Am. Water Resour. Assoc. 1998, 34, 73–89. [Google Scholar] [CrossRef]
- Arnold, J.G.; Kiniry, J.R.; Srinivasan, R.; Williams, J.R.; Haney, E.B.; Neitsch, S.L. Soil and water assessment tool input/output file documentation version 2009. Tex. Water Resour. Inst. 2011. Available online: https://swat.tamu.edu/media/19754/swat-io-2009.pdf (accessed on 30 January 2024).
- Neitsch, S.L.; Arnold, J.G.; Kiniry, J.R.; Williams, J.R. Soil Water Assessment Tool Theoretical Documentation, Version 2009. In Grassland, Soil and Water Research Laboratory-Agricultural Research Service, Blackland Research Center-Texas AgriLife Research; Texas Water Resources Institute, Texas A&M University system: College Station, TX, USA, 2011. [Google Scholar]
- Arnold, J.G.; Moriasi, D.N.; Gassman, P.W.; Abbaspour, K.C.; White, M.J.; Srinivasan, R.; Santhi, C.; Harmel, R.D.; Griensven, M.W.; Van Liew, N.; et al. SWAT: Model use, calibration, and validation. Trans. ASABE 2012, 55, 1491–1508. [Google Scholar] [CrossRef]
- Liu, X.; Yang, M.; Meng, X.; Wen, F.; Sun, G. Assessing the impact of reservoir parameters on runoff in the Yalong River Basin using the SWAT Model. Water 2019, 11, 643. [Google Scholar] [CrossRef]
- Abbaspour, K.C. SWAT calibration and uncertainty programs. A User Man. 2015, 103, 17–66. [Google Scholar]
- Moriasi, D.N.; Gitau, M.W.; Pai, N.; Daggupati, P. Hydrologic and water quality models: Performance measures and evaluation criteria. Trans. ASABE 2015, 58, 1763–1785. [Google Scholar]
- Shin, S.; Her, Y.; Muñoz-Carpena, R.; Khare, Y.P. Multi-parameter approaches for improved ensemble prediction accuracy in hydrology and water quality modeling. J. Hydrol. 2023, 622, 129458. [Google Scholar] [CrossRef]
- Ritter, A.; Muñoz-Carpena, R. Performance evaluation of hydrological models: Statistical significance for reducing subjectivity in goodness-of-fit assessments. J. Hydrol. 2013, 480, 33–45. [Google Scholar] [CrossRef]
- Blanco-Canqui, H.; Ruis, S.J. No-tillage and soil physical environment. Geoderma 2018, 326, 164–200. [Google Scholar] [CrossRef]
- Cao, W.; Wu, F.; Lei, J.; Zhao, L.; Yun, F.; Yu, X. Characters of different tillage treatments on soil enzymes and microflora in the southern Mu Us desert. Agric. Res. Arid. Areas 2011, 29, 88–95. [Google Scholar]
- Huang, M.; Jiang, L.; Zou, Y.; Xu, S.; Deng, G. Changes in soil microbial properties with no-tillage in Chinese cropping systems. Biol. Fertil. Soils 2013, 49, 373–377. [Google Scholar] [CrossRef]



















| Data | Type | Source | Description |
|---|---|---|---|
| Digital Elevation Model | Raster file | LTVCA, 2017 | 0.5 m × 0.5 m LIDAR image |
| Precipitation, Relative Humidity, Solar Radiation, Maximum and Minimum Temperature | Excel | LTVCA, 2017; ECCC, 2017 | Obtained from light house Cove, Merlinb (LTVCA stations) and Chatham (ECCC station) |
| Soil | Shape file | OMAFRA soils | Soil Landscapes of Canada (SLC) version 3.2 |
| Land Use | Shape file | LTVCA, 2017 | Plot-wise crop date spatial map |
| Stream Network | Shape file | University of Guelph (UOG), 2017 | Prepared based on ground truth survey |
| Land Management | Shape file and Excel | LTVCA, 2018 | 5-year farmer survey report |
| Stream Flow | Excel | LTVCA, 2017 | Instantaneous data |
| Sediment | Excel | LTVCA, 2017 | Instantaneous concentration data |
| Phosphorus | Excel | LTVCA, 2017 | Instantaneous concentration data |
| Scenario | Year | Watershed | Flow | Sediment | |||
|---|---|---|---|---|---|---|---|
| (m3 s−1) | (Mg yr−1) | (kg yr−1) | (kg yr−1) | (kg yr−1) | |||
| All BMPs Applied | 2016 | J1 | 0.08151 | 93.02 | 243.5 | 89.9 | 333.4 |
| J2 | 0.052 | 63.21 | 76.25 | 199.6 | 275.85 | ||
| 2017 | J1 | 0.06243 | 72.54 | 279.5 | 109.5 | 389 | |
| J2 | 0.080 | 106.6 | 110.1 | 339.4 | 449.5 | ||
| All BMPs Removed | 2016 | J1 | 0.082 | 93.18 | 249.8 | 122.1 | 371.9 |
| J2 | 0.053 | 64.66 | 105 | 204.6 | 309.6 | ||
| 2017 | J1 | 0.064 | 73.97 | 287.2 | 135.8 | 423 | |
| J2 | 0.082 | 110.3 | 169.2 | 340.4 | 509.6 | ||
| Reduction | |||||||
| Effective Reduction | 2016 | J1 | 0.0002 | 0.16 | 6.3 | 32.2 | 38.5 |
| J2 | 0.001 | 1.45 | 28.75 | 5 | 33.75 | ||
| 2017 | J1 | 0.0015 | 1.43 | 7.7 | 26.3 | 34 | |
| J2 | 0.003 | 3.7 | 59.1 | 1 | 60.1 | ||
| Relative Reduction (%) | |||||||
| Effective Relative Reduction | 2016 | J1 | 0.22 | 0.17 | 2.52 | 26.37 | 10.35 |
| J2 | 1.50 | 2.24 | 27.38 | 2.44 | 10.90 | ||
| 2017 | J1 | 2.38 | 1.93 | 2.68 | 19.37 | 8.04 | |
| J2 | 3.15 | 3.35 | 34.93 | 0.29 | 11.79 | ||
Disclaimer/Publisher’s Note: The statements, opinions and data contained in all publications are solely those of the individual author(s) and contributor(s) and not of MDPI and/or the editor(s). MDPI and/or the editor(s) disclaim responsibility for any injury to people or property resulting from any ideas, methods, instructions or products referred to in the content. |
© 2024 by the authors. Licensee MDPI, Basel, Switzerland. This article is an open access article distributed under the terms and conditions of the Creative Commons Attribution (CC BY) license (https://creativecommons.org/licenses/by/4.0/).
Share and Cite
Shukla, R.; Rudra, R.; Daggupati, P.; Little, C.; Khan, A.; Goel, P.; Prasher, S. Evaluation of BMPs in Flatland Watershed with Pumped Outlet. Hydrology 2024, 11, 22. https://doi.org/10.3390/hydrology11020022
Shukla R, Rudra R, Daggupati P, Little C, Khan A, Goel P, Prasher S. Evaluation of BMPs in Flatland Watershed with Pumped Outlet. Hydrology. 2024; 11(2):22. https://doi.org/10.3390/hydrology11020022
Chicago/Turabian StyleShukla, Rituraj, Ramesh Rudra, Prasad Daggupati, Colin Little, Alamgir Khan, Pradeep Goel, and Shiv Prasher. 2024. "Evaluation of BMPs in Flatland Watershed with Pumped Outlet" Hydrology 11, no. 2: 22. https://doi.org/10.3390/hydrology11020022
APA StyleShukla, R., Rudra, R., Daggupati, P., Little, C., Khan, A., Goel, P., & Prasher, S. (2024). Evaluation of BMPs in Flatland Watershed with Pumped Outlet. Hydrology, 11(2), 22. https://doi.org/10.3390/hydrology11020022

