A Modified Rational Method Approach for Calculating First Flush Design Flow Rates to Mitigate Nonpoint Source Pollution from Stormwater Runoff
Abstract
1. Introduction
2. Treating the First Flush of Stormwater Runoff
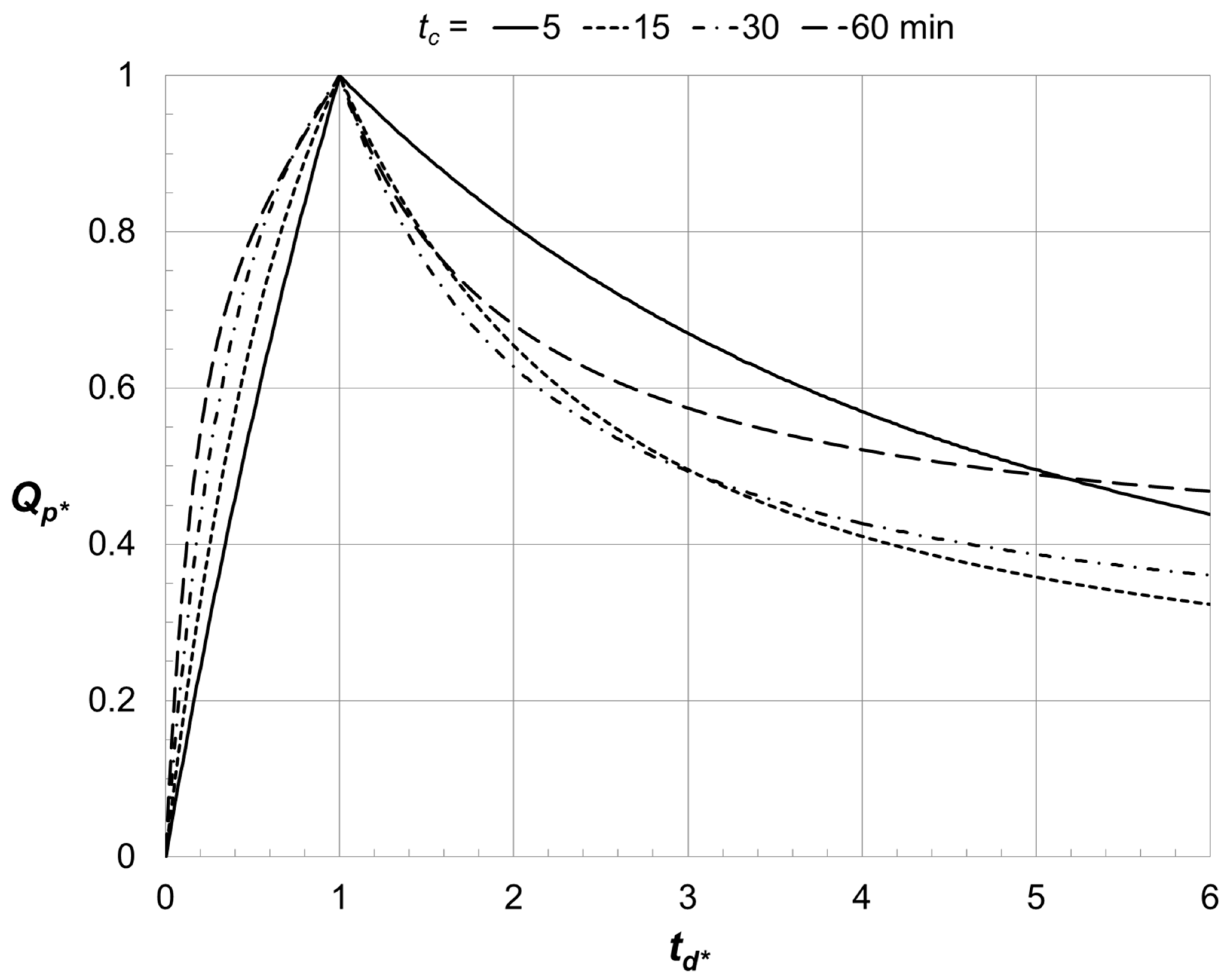
3. MRM Hydrology
4. Rainfall Intensity–Duration Relation
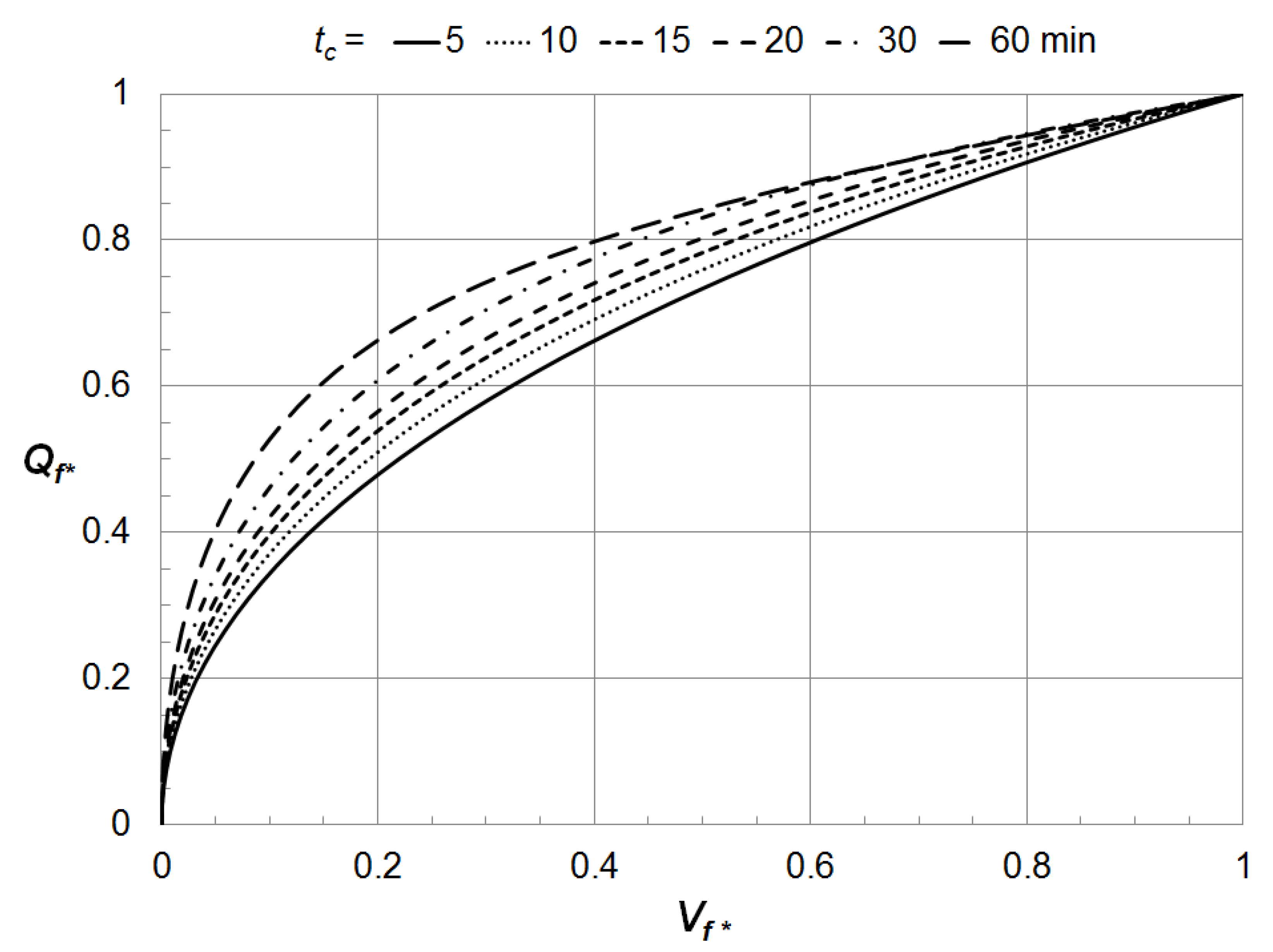
5. Calculating the First Flush Design Flow Rate
6. Application Procedure
- Step 1.
- With specified values of , calculate using Equations (1)–(3) and then .
- Step 2.
- Calculate from Equation (4).
- Step 3.
- If ; otherwise, proceed to Step 4.
- Step 4.
- Step 5.
- Calculate and the corresponding rainfall duration .
7. Example Applications
7.1. Example A
- Step 1.
- With td = tc = 0.200 h, , , Equation (3) gives.With Ac = A = 2.43 ha, from Equation (1), which gives
- Step 2.
- From Equation (4), .
- Step 3.
- Because , proceed to Step 4.
- Step 4.
- The iterative solution of Equation (7) gives tdf* = 0.733, which gives Qf* = 0.811 from Equation (6).
- Step 5.
- The first flush design discharge and the corresponding rainfall duration
7.2. Example B
- Step 1.
- With td = tc = 0.250 h, and , Equation (3) then gives.With Ac = A = 3.24 ha, from Equation (1), which gives
- Step 2.
- From Equation (4), .
- Step 3.
- Because , proceed to Step 4.
- Step 4.
- Step 5.
- The first flush design discharge and the corresponding storm duration

8. Summary and Conclusions
Funding
Data Availability Statement
Conflicts of Interest
References
- Lee, J.H.; Bang, K.W.; Ketcham, L.H., Jr.; Choe, J.S.C.; Yu, M.J. First flush analysis of urban storm runoff. Sci. Total Environ. 2002, 293, 163–175. [Google Scholar] [CrossRef] [PubMed]
- Bach, P.M.; McCarthy, D.T.; Deletic, A. Redefining the stormwater first flush phenomenon. Water Res. 2010, 44, 2487–2498. [Google Scholar] [CrossRef]
- Perera, T.; McGree, J.; Egodawatta, P.; Jinadas, K.; Goonetilleke, A. Catchment-based estimation of pollutant event mean concentration (EMC) and implications for first flush assessment. J. Environ. Manag. 2021, 279, 111737. [Google Scholar] [CrossRef]
- Barrett, M.E.; Irish, L.B., Jr.; Malina, J.F., Jr.; Charbeneau, R.J. Characterization of highway runoff in Austin, Texas, area. J. Environ. Eng. 1998, 124, 131–137. [Google Scholar] [CrossRef]
- Birch, G.; Matthai, C.; Fazeli, M. Efficiency of a retention/detention basin to remove contaminants from urban stormwater. Urban Water J. 2006, 3, 69–77. [Google Scholar] [CrossRef]
- Lenhart, J.H.; Calvert, P.P. Mass loading and mass load design of stormwater filtration systems. In Proceedings of the World Environmental and Water Resources Congress 2007 Proceedings, Tampa, FL, USA, 15–19 May 2007; American Society of Civil Engineers: Reston, VA, USA, 2007; pp. 243–255. [Google Scholar]
- Saget, A.; Chebbo, G.; Desbordes, M. Urban discharges during wet weather: What volumes have to be treated? Water Sci. Technol. 1995, 32, 225–232. [Google Scholar] [CrossRef]
- Saget, A.; Chebbo, G.; Bertrand-Krajewski, J.L. The first flush in sewer systems. Water Sci. Technol. 1996, 33, 101–108. [Google Scholar] [CrossRef]
- Bertrand-Krajewski, J.; Chebbo, G.; Saget, A. Distribution of pollutant mass vs. volume in stormwater discharges and the first flush phenomenon. Water Resour. 1998, 32, 2341–2356. [Google Scholar] [CrossRef]
- Hager, M.C. Evaluating first-flush runoff. Stormwater 2001, 2, 23–29. [Google Scholar]
- Taebi, A.; Droste, R.L. First flush pollution load of urban stormwater runoff. J. Environ. Eng. Sci. 2004, 3, 301–309. [Google Scholar] [CrossRef]
- Metcalf, L.; Eddy, H.P. American Sewerage Practice—Volume—I—Design of Sewers; McGraw-Hill: New York, NY, USA, 1914. [Google Scholar]
- Mamoon, A.; Jahan, S.; Jahan He, X.; Joergensen, N.E.; Rahma, A. First flush analysis using a rainfall simulator on a micro catchment in an arid climate. Sci. Total Environ. 2019, 693, 133552. [Google Scholar] [CrossRef] [PubMed]
- Gao, Z.; Zhang, Q.; Li, J.; Wang, Y.; Dzakpasu, M.; Wang, X.C. First flush stormwater pollution in urban catchments: A review of its characterization and quantification towards optimization of control measures. J. Environ. Manag. 2023, 340, 117976. [Google Scholar] [CrossRef]
- Mastouri, R.; Pourfallah, H.; Khaledian, M. The first flush analysis of stormwater runoff in a humid climate. J. Environ. Eng. Landsc. Manag. 2023, 31, 82–91. [Google Scholar] [CrossRef]
- Wang, S.; Feng, L.; Min, F. Optimizing first flush diverter for urban stormwater pollution load reduction by most efficiently utilizing first flush phenomena. J. Environ. Manag. 2023, 33, 117563. [Google Scholar] [CrossRef]
- Froehlich, D.C. Graphical calculation of first-flush flow rates for stormwater quality control. J. Irrig. Drain. Eng. 2009, 135, 68–75. [Google Scholar] [CrossRef]
- Kuo, C.Y.; Zhu, J. Design of a diversion system to manage the first flush. J. Am. Water Resour. Assoc. 1989, 25, 517–525. [Google Scholar] [CrossRef]
- Guo, J.C.Y. Design of off-line detention systems. In Stormwater Collection Systems Design Handbook; Mays, L.W., Ed.; McGraw-Hill: New York, NY, USA, 2001; Chapter 8. [Google Scholar]
- Contech. StormGate design guide. In Engineering Guidelines; Contech Engineered Solutions LLC: West Chester, OH, USA, 2018. [Google Scholar]
- Lenhart, J.H. Methods of sizing water quality facilities. Stormwater 2004, 5, 4–7. [Google Scholar]
- Lenhart, J.H. Evaluation of stormwater filtration systems. C.E. News 2007, 1. PDH 1–7. [Google Scholar]
- Contech. StormFilter configuration guide. In Engineering Guidelines RS-0040; Contech Engineered Solutions LLC: West Chester, OH, USA, 2015. [Google Scholar]
- Contech. Sizing methodologies for the stormwater management StormFilter. In Engineering Guidelines RS-0041; Contech Engineered Solutions LLC: West Chester, OH, USA, 2015. [Google Scholar]
- Ahlfeld, D.P.; Minihane, M. Storm flow from first-flush precipitation in stormwater design. J. Irrig. Drain. Eng. 2004, 130, 269–276. [Google Scholar] [CrossRef]
- Adams, T.R. Storm water facility design: Calculating the first flush. Pollut. Eng. 1998, 30, 44–48. [Google Scholar]
- Ogintz, J.B. Sizing stormwater BMPs. Chem. Eng. News 2005, 17, 34–39. [Google Scholar]
- Froehlich, D.C. Graphical Sizing of Small Single-Outlet Detention Basins in the Semi-arid Southwest. J. Irrig. Drain. Eng. 2009, 135, 779–790. [Google Scholar] [CrossRef]
- Baker, W.R. Stormwater detention basin design for small drainage areas. Public Work. 1977, 17, 75–79. [Google Scholar]
- Wanielista, M.P. Stormwater Management-Quantity and Quality; Ann Arbor Science: Ann Arbor, MI, USA, 1978. [Google Scholar]
- Tourbier, J.T.; Westmacott, R. Water Resources Protection Technology; The Urban Land Institute: Washington, DC, USA, 1981. [Google Scholar]
- Chow, V.T.; Maidment, D.R.; Mays, L.W. Applied Hydrology; McGraw-Hill: New York, NY, USA, 1988. [Google Scholar]
- Walesh, S.G. Urban Surface Water Management; John Wiley: New York, NY, USA, 1989. [Google Scholar]
- Froehlich, D.C. Short-duration rainfall-intensity equations for urban drainage design. J. Irrig. Drain. Eng. 2010, 136, 519–526. [Google Scholar] [CrossRef]
- American Society of Civil Engineers. Design and construction of urban stormwater management systems. In ASCE Manuals and Reports of Engineering Practice No. 77; American Society of Civil Engineers: New York, NY, USA, 1992. [Google Scholar]
- Mulvaney, T.J. On the use of self-registering rain and flood gauges in making observations of the relations of rainfall and flood discharges in a given catchment. In Transactions and Minutes of Proceedings; Institution of Civil Engineers of Ireland: Dublin, Ireland, 1851; Volume 4, Session 1850-1. [Google Scholar]
- Horner, W.W.; Flynt, F.L. Relation between rainfall and runoff from small urban areas. Trans. Am. Soc. Civ. Eng. 1936, 101, 140–206. [Google Scholar]
- Schaake, J.G.; Geyer, J.C.; Knapp, J.W. Experimental examination of the rational method. J. Hydraul. Div. ASCE 1967, 93, 353–370. [Google Scholar] [CrossRef]
- Dooge, J.C.I. Linear theory of hydrologic systems. In Technical Bulletin 1468; Agricultural Research Service, U.S. Department of Agriculture: Washington, DC, USA, 1973. [Google Scholar]
- Kuichling, E. The relation between the rainfall and the discharge of sewers in populous districts. Trans. ASCE 1889, 20, 1–56. [Google Scholar] [CrossRef]
- Pilgrim, D.H.; Cordery, I. Flood runoff. In Handbook of Hydrology; Maidment, D.R., Ed.; McGraw-Hill: New York, NY, USA, 1992; Chapter 9. [Google Scholar]
- Hotchkiss, R.H.; McCallum, B.E. Peak discharge for small agricultural watersheds. J. Hydraul. Eng. 1995, 121, 36–48. [Google Scholar] [CrossRef]
- American Public Works Association. Urban stormwater management. In Special Report No. 49; National Academies Press: Chicago, IL, USA, 1981. [Google Scholar]
- Westphal, J.A. Hydrology for drainage system design and analysis. In Stormwater Collection Systems Design Handbook; Mays, L.W., Ed.; McGraw-Hill: New York, NY, USA, 2001; Chapter 4. [Google Scholar]
- ASCE/EWRI 45-05; Standard guidelines for the design of urban stormwater systems. American Society of Civil Engineers: Reston, VA, USA, 2006.
- Wang, S.; Wang, H. Extending the rational method for assessing and developing sustainable urban drainage systems. Water Res. 2018, 144, 112–125. [Google Scholar] [CrossRef]
- Drumond, P.P.; Moura, P.M.; Coelho, M.M.L.P. Improving the understanding of on-site stormwater detention performances. Urban Water J. 2023, 20, 1271–1289. [Google Scholar] [CrossRef]
- Iowa Center for Transportation Research and Education. Statewide Urban Design and Specifications (SUDAS), Design Manual, Chapter 2, Stormwater; Iowa State University: Ames, Iowa, 2007; 2C-9-6. [Google Scholar]
- Virginia Department of Conservation and Recreation. Virginia Stormwater Management Handbook; Division of Soil and Water Conservation: Richmond, VA, USA, 1981. [Google Scholar]
- Atlanta Regional Commission. Georgia Stormwater Management Manual–Vol. 2: Technical Handbook; Atlanta Regional Commission: Atlanta, GA, USA, 2001. [Google Scholar]
- Bonnin, G.M.; Martin, D.; Lin, B.; Parzybok, T.; Yekta, M.; Riley, D. Precipitation-frequency atlas of the United States, volume 1, version 4: Semi-arid Southwest (Arizona, Southeast California, Nevada, New Mexico, Utah). In NOAA Atlas 14; Department of Commerce, National Oceanic and Atmospheric Administration, National Weather Service: Silver Spring, MD, USA, 2006; Volume 1. [Google Scholar]
- Bonnin, G.M.; Martin, D.; Lin, B.; Parzybok, T.; Yekta, M.; Riley, D. Precipitation-frequency atlas of the United States, volume 2, version 3: Delaware, District of Columbia, Illinois, Indiana, Kentucky, Maryland, New Jersey, North Carolina, Ohio, Pennsylvania, South Carolina, Tennessee, Virginia, West Virginia. In NOAA Atlas 14; Department of Commerce, National Oceanic and Atmospheric Administration, National Weather Service: Silver Spring, MD, USA, 2006; Volume 2. [Google Scholar]
- Bonnin, G.M.; Martin, D.; Parzybok, T.; Lin, B.; Riley, D.; Yekta, M. Precipitation-frequency atlas of the United States, volume 3, version 3, Puerto Rico and the U.S. Virgin Islands. In NOAA Atlas 14; Department of Commerce, National Oceanic and Atmospheric Administration, National Weather Service: Silver Spring, MD, USA, 2006; Volume 3. [Google Scholar]
- Perica, S.; Martin, D.; Lin, B.; Parzybok, T.; Riley, D.; Yekta, M.; Hiner, L.; Chen, L.; Brewer, D.; Yan, F.; et al. Precipitation frequency atlas of the United States, volume 4, version 2, Hawaiian Islands. In NOAA Atlas 14; Department of Commerce, National Oceanic and Atmospheric Administration, National Weather Service: Silver Spring, MD, USA, 2009; Volume 4. [Google Scholar]
- Guo, J.C.Y.; Urbonas, R.B. Maximized detention volume determined by runoff capture rate. J. Water Resour. Plan. Manag. 1996, 22, 123–456. [Google Scholar]
- Guo, J.C.Y.; Urbonas, R.B. Runoff capture and delivery curves for storm water quality control designs. J. Water Resour. Plan. Manag. 2002, 128, 123–456. [Google Scholar] [CrossRef]
- Davis, A.P.; McCuen, R.H. Stormwater Management for Smart Growth; Springer: New York, NY, USA, 2010. [Google Scholar]






| tc (min) | tc (h) | Coefficients | ||
|---|---|---|---|---|
| a | b | c | ||
| 1 | 0.0167 | 0.4955 | −0.0205 | 0.2899 |
| 2 | 0.0333 | 0.4951 | −0.0207 | 0.3030 |
| 5 | 0.0833 | 0.4878 | −0.0515 | 0.3240 |
| 10 | 0.1667 | 0.4762 | −0.1000 | 0.3377 |
| 15 | 0.2500 | 0.4673 | −0.1436 | 0.3351 |
| 20 | 0.3333 | 0.4627 | −0.1813 | 0.3170 |
| 25 | 0.4167 | 0.4643 | −0.2141 | 0.2855 |
| 30 | 0.5000 | 0.4750 | −0.2454 | 0.2435 |
| 35 | 0.5833 | 0.5010 | −0.2832 | 0.1934 |
| 40 | 0.6667 | 0.5595 | −0.3468 | 0.1377 |
| 45 | 0.7500 | 0.7277 | −0.5150 | 0.0776 |
| 50 | 0.8333 | 1.4305 | −1.2156 | 0.0275 |
| 55 | 0.9167 | 2.6341 | −2.4175 | 0.0124 |
| 60 | 1.0000 | 3.9862 | −3.7667 | 0.0072 |
Disclaimer/Publisher’s Note: The statements, opinions and data contained in all publications are solely those of the individual author(s) and contributor(s) and not of MDPI and/or the editor(s). MDPI and/or the editor(s) disclaim responsibility for any injury to people or property resulting from any ideas, methods, instructions or products referred to in the content. |
© 2024 by the author. Licensee MDPI, Basel, Switzerland. This article is an open access article distributed under the terms and conditions of the Creative Commons Attribution (CC BY) license (https://creativecommons.org/licenses/by/4.0/).
Share and Cite
Froehlich, D.C. A Modified Rational Method Approach for Calculating First Flush Design Flow Rates to Mitigate Nonpoint Source Pollution from Stormwater Runoff. Hydrology 2024, 11, 21. https://doi.org/10.3390/hydrology11020021
Froehlich DC. A Modified Rational Method Approach for Calculating First Flush Design Flow Rates to Mitigate Nonpoint Source Pollution from Stormwater Runoff. Hydrology. 2024; 11(2):21. https://doi.org/10.3390/hydrology11020021
Chicago/Turabian StyleFroehlich, David C. 2024. "A Modified Rational Method Approach for Calculating First Flush Design Flow Rates to Mitigate Nonpoint Source Pollution from Stormwater Runoff" Hydrology 11, no. 2: 21. https://doi.org/10.3390/hydrology11020021
APA StyleFroehlich, D. C. (2024). A Modified Rational Method Approach for Calculating First Flush Design Flow Rates to Mitigate Nonpoint Source Pollution from Stormwater Runoff. Hydrology, 11(2), 21. https://doi.org/10.3390/hydrology11020021

