Improvement of Malagasy Traditional Earth Bricks by Using a Derivative of CNSL as a Binding Agent
Abstract
1. Introduction
2. Materials and Methods
2.1. Materials
2.2. Extraction of CNSL
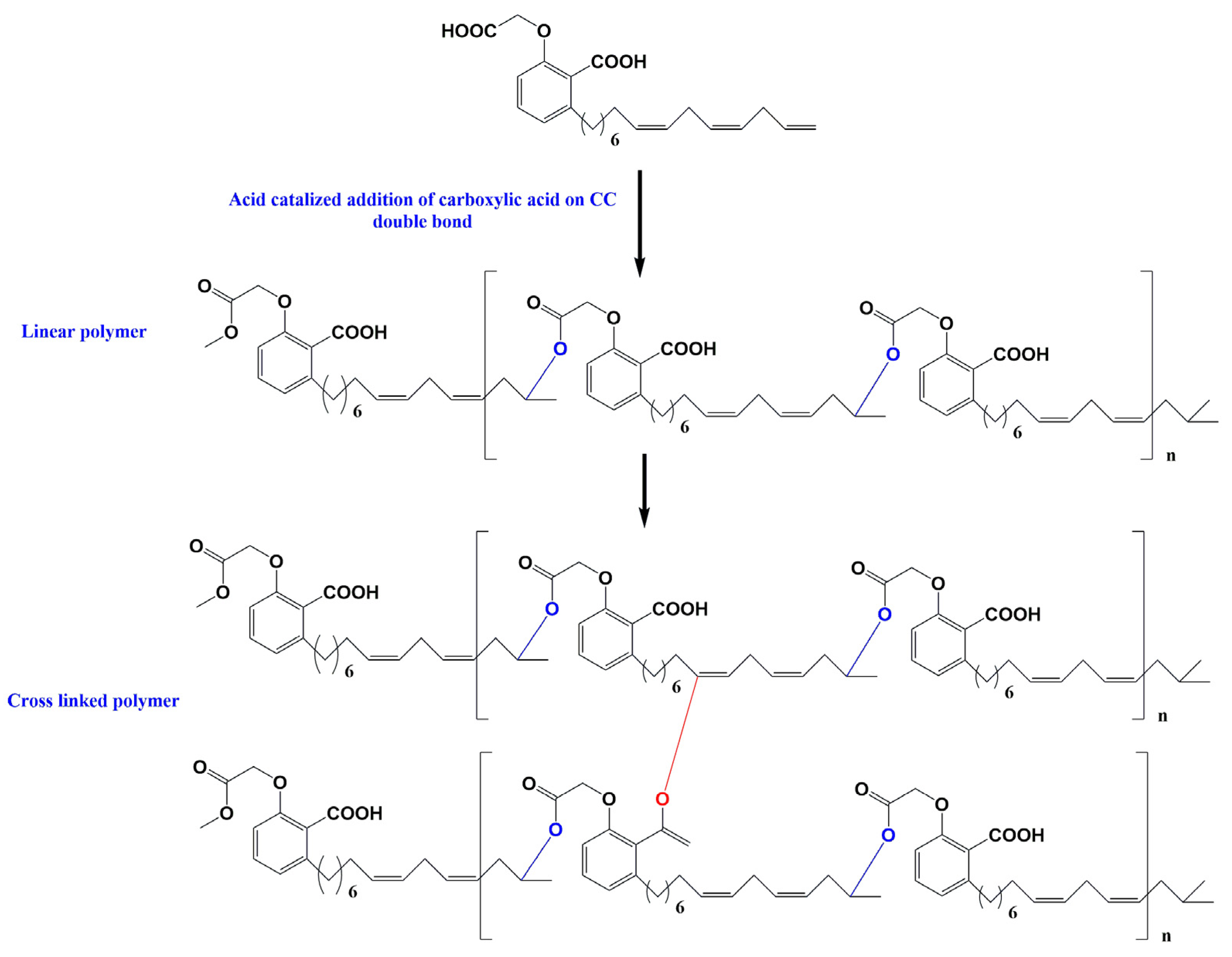
2.3. Synthesis of Oxyacetic Acid of CNSL
2.4. Physico-Chemical Analysis of Red Soil
2.5. Formulation of Building Materials
2.6. Physico-Mechanical Characterization of Building Materials
2.6.1. Material Characterization
2.6.2. Mechanical Characterization of Building Materials
Tensile Strength by Bending
Compressive Strength
2.7. Method of Analysis
3. Results
3.1. CNSL and Oxyacetic Acid of CNSL
3.2. Chemical Characteristics of Red Soil
3.3. Materials with the Oxyacetic Acid of CNSL as a Binding Agent
3.3.1. Study of the Formulation Conditions of Materials (The Binder Proportion and the Granulometry of Red Soil)
3.3.2. Formulation of Briquettes
3.4. DSC Analysis
3.5. Materials Characterization
3.6. Mechanical Characteristics of Materials
3.7. Comparison of the Mechanical Properties of the Material with CNSL Oxyacetic Acid with Those of Recently Improved Bricks
4. Conclusions
Supplementary Materials
Author Contributions
Funding
Data Availability Statement
Acknowledgments
Conflicts of Interest
References
- Grifa, C.; Germinario, C.; De Bonis, A.; Mercurio, M.; Izzo, F.; Pepe, F.; Bareschino, P.; Cucciniello, C.; Monetti, V.; Morra, V.; et al. Traditional brick productions in Madagascar: From raw material processing to firing technology. Appl. Clay Sci. 2017, 150, 252–266. [Google Scholar] [CrossRef]
- Grifa, C.; Germinario, C.M.M.; Cucciniello, C.; Cappelletti, P.Z.D.; Izzo, F.D.B.A.; Monetti, V.; Morra, V. Traditional ceramic production in central and southern Madagascar: First insights from mineralogy and petrology of bricks. In Proceedings of the SIMP-AIV-SoGeI-SGI 2015 Conference—The Dynamic Planet: Developments and Perspectives 100 Years After Wegener, Florence, Italy, 2–4 September 2015; Available online: https://www.iris.unina.it/handle/11588/612203 (accessed on 18 November 2024).
- Grifa, C.; Germinario, C.; Mercurio, M.; Izzo, F.; Pepe, F.; Bareschino, P.; Cucciniello, C.; Morra, V.; Cultrone, G.; Carafa, A.; et al. Technology, exploitation and consumption of natural resources of traditional brick productions in Madagascar. Constr. Build. Mater. 2021, 308, 125022. [Google Scholar] [CrossRef]
- Ramasiarinoro, V.J.; Andrianaivo, L.; Rasolomanana, E. Landslides and associated mass movements events in the eastern part of Madagascar: Risk assessment, land use planning, mitigation measures and further strategies. Madamines 2012, 4, 28–40. [Google Scholar]
- Randrianarison, M.P.; Razafiarivony, N.A.; Randrianandrasana, N.; Rafatamanantsoa, M.; Hajasoa, M.; Raherilalao, B. Ajouts végétaux et conditions de cuisson: Effet sur la résistance des briques. Rech. POUR Dev. 2021, N°6, 263–277. [Google Scholar]
- Rossi, G. L’érosion à Madagascar: L’importance des facteurs humains. Cah. D'outre-mer 1979, 32, 355–370. [Google Scholar] [CrossRef]
- Suzzi-Simmons, A. Status of deforestation of Madagascar. Glob. Ecol. Conserv. 2023, 42, e02389. [Google Scholar] [CrossRef]
- Gade, D.W.; Perkins-Belgram, A.N. Woodfuels, reforestation, and ecodevelopment in highland Madagascar. GeoJournal 1986, 12, 365–374. [Google Scholar] [CrossRef]
- Ukwatta, A.; Mohajerani, A.; Setunge, S.; Eshtiaghi, N. A study of gas emissions during the firing process from bricks incorporating biosolids. Waste Manag. 2018, 74, 413–426. [Google Scholar] [CrossRef]
- Rajarathnam, U.; Athalye, V.; Ragavan, S.; Maithel, S.; Lalchandani, D.; Kumar, S.; Baum, E.; Weyant, C.; Bond, T. Assessment of air pollutant emissions from brick kilns. Atmos. Environ. 2014, 98, 549–553. [Google Scholar] [CrossRef]
- Cultrone, G.; De la Torre, M.J.; Sebastian, E.M.; Cazalla, O.; Rodriguez-Navarro, C. Behavior of Brick Samples in Aggressive Environments. Water. Air. Soil Pollut. 2000, 119, 191–207. [Google Scholar] [CrossRef]
- Abdul Kadir, A.; Mohajerani, A. Effect of heating rate on gas emissions and properties of fired clay bricks and fired clay bricks incorporated with cigarette butts. Appl. Clay Sci. 2015, 104, 269–276. [Google Scholar] [CrossRef]
- Suksuwan, W.; Yeranee, K.; Wae-hayee, M. Environmental impacts and temperature variations in brick firing process in a Beehive Kiln. Int. J. Environ. Sci. Technol. 2023, 20, 8925–8940. [Google Scholar] [CrossRef]
- Murmu, A.L.; Patel, A. Towards sustainable bricks production: An overview. Constr. Build. Mater. 2018, 165, 112–125. [Google Scholar] [CrossRef]
- Kumar, N.; Mehta, V.; Kumar, S.; Singh, J.P.; Kumar, R.; Sharma, S.; Dwivedi, S.P.; Kozak, D.; Lozanovic, J.; Abbas, M. An investigation of various properties of hybrid bricks using Natural fibers and waste fiber-based materials. J. Eng. Fibers Fabr. 2024, 19, 15589250241240073. [Google Scholar] [CrossRef]
- Kazmi, S.M.S.; Abbas, S.; Saleem, M.A.; Munir, M.J.; Khitab, A. Manufacturing of sustainable clay bricks: Utilization of waste sugarcane bagasse and rice husk ashes. Constr. Build. Mater. 2016, 120, 29–41. [Google Scholar] [CrossRef]
- Zhang, Z.; Wong, Y.C.; Arulrajah, A.; Horpibulsuk, S. A review of studies on bricks using alternative materials and approaches. Constr. Build. Mater. 2018, 188, 1101–1118. [Google Scholar] [CrossRef]
- Ouedraogo, K.A.J.; Aubert, J.E.; Tribout, C.; Millogo, Y.; Escadeillas, G. Ovalbumin as natural organic binder for stabilizing unfired earth bricks: Understanding vernacular techniques to inspire modern constructions. J. Cult. Herit. 2021, 50, 139–149. [Google Scholar] [CrossRef]
- Azeko, S.T.; Arthur, E.K.; Danyuo, Y.; Babagana, M. Mechanical and Physical Properties of Laterite Bricks Reinforced with Reprocessed Polyethylene Waste for Building Applications. J. Mater. Civ. Eng. 2018, 30, 04018039. [Google Scholar] [CrossRef]
- Ranarijaona, M.M.; Rambala Rakotomena, N.A.H.; Andrianjafy, M.T.; Ramiharimanana, F.D.; Herinirina, L.C.; Ramarosandratana, N.H.; Briou, B.; Fajardie, P.; Mavingui, P.; Métay, E.; et al. Development of Sustainable Chemistry in Madagascar: Example of the Valuation of CNSL and the Use of Chromones as an Attractant for Mosquitoes. Molecules 2021, 26, 7625. [Google Scholar] [CrossRef]
- Rahobinirina, A.I.; Rakotondramanga, M.F.; Berlioz-Barbier, A.; Métay, E.; Ramanandraibe, V.; Lemaire, M. Valorization of Madagascar’s CNSL via the synthesis of one advanced intermediate (3-Pentadecylcyclohexanone). Tetrahedron Lett. 2017, 58, 2284–2289. [Google Scholar] [CrossRef]
- Bezain, L. Madagascar: La Filière Noix De Cajou En Quête D’un Nouveau Souffle, RFI. 2023. Available online: https://www.rfi.fr/fr/afrique/20230128-madagascar-la-fili%C3%A8re-noix-de-cajou-en-qu%C3%AAte-d-un-nouveau-souffle (accessed on 18 November 2024).
- Rodrigues, F.H.A.; França, F.C.F.; Souza, J.R.R.; Ricardo, N.M.P.S.; Feitosa, J.P.A. Comparison between physico-chemical properties of the technical Cashew Nut Shell Liquid (CNSL) and those natural extracted from solvent and pressing. Polímeros 2011, 21, 156–160. [Google Scholar] [CrossRef]
- Lubi, M.C.; Thachil, E.T. Cashew nut shell liquid (CNSL)—A versatile monomer for polymer synthesis. Des. Monomers Polym. 2000, 3, 123–153. [Google Scholar] [CrossRef]
- Krishnan, P. Cashew Nut Shell Liquid (CNSL) Based Bio-Derived Resin And Composites for Advanced Structural, Automotive, Electronic Packaging and Medical applications—A Review. Org. Polym. Mater. Res. 2019, 1, 9–13. [Google Scholar] [CrossRef]
- Bisanda, E.T.N.; Ansell, M.P. Properties of sisal-CNSL composites. J. Mater. Sci. 1992, 27, 1690–1700. [Google Scholar] [CrossRef]
- Kumar, J.G.K.; Venkatesh Babu, R. Mechanical behaviour and characterization of reinforced CNSL composite material. Mater. Today Proc. 2020, 22, 404–409. [Google Scholar] [CrossRef]
- Ranarijaona, M.M.; Rafanoela, S.H.; Herinirina, L.C.; Duclos, M.C.; Lavaud, A.L.; Goux-Henry, C.; Métay, E.; Vestalys, V.R.; Lemaire, M. CNSL oxyacetic derivatives, new bio-based binders for paint preparation. Green Mater. 2023, 12, 15–28. [Google Scholar] [CrossRef]
- Riquier, J. Latérite et latérisation à Madagascar. In Pédologie; Office De La Recherche Scientifique Et Etchnique Outre Mer: Paris, France, 1957; pp. 27–31. [Google Scholar]
- NF EN 196-1; Méthodes D’essais des Ciments—Partie 1: Détermination des Résistances Mécaniques. Association Française de Normalisation: Paris, France, 1995.
- Manjula, S.; Kumar, V.G.; Pillai, C.K.S. Kinetics and mechanism of oligomerization of cardanol using acid catalysts. J. Appl. Polym. Sci. 1992, 45, 309–315. [Google Scholar] [CrossRef]
- Zhao, B.; Song, F.; Tan, L.; Yang, R.; Pan, Z.; Zhang, M.; Zhou, Y. Production, thermal recycling, and application of cardanol-based polyurethane foam with phenol-carbamate bonds. Chem. Eng. J. 2024, 494, 152941. [Google Scholar] [CrossRef]
- Tang, X.; Cai, Z.; Xu, M.; Liang, F.; Wen, S.; Gao, Q. Acidity characteristics of red soil profile under different land use patterns. J. Plant Nutr. Fertil. 2018, 24, 1704–1712. [Google Scholar] [CrossRef]
- Santha Kumar, G.; Saini, P.K.; Deoliya, R.; Mishra, A.K.; Negi, S.K. Characterization of laterite soil and its use in construction applications: A review. Resour. Conserv. Recycl. Adv. 2022, 16, 200120. [Google Scholar] [CrossRef]
- Nazimi, K.; Castro, J.J.; Omi, S.; Stanikzai, M.A. Investigating the Compressive Strength of Clay Brick Masonry: A Case Study of Nangarhar, Afghanistan. Buildings 2024, 14, 3882. [Google Scholar] [CrossRef]
- Hiwot, M.G.; Quezon, E.T.; Kebede, G. Comparative Study on Compressive Strength of Locally Produced Fired Clay Bricks and Stabilized Clay Bricks with Cement and Lime. Glob. Sci. J. 2017, 5, 147. [Google Scholar]
- Chindaprasirt, P.; Srisuwan, A.; Saengthong, C.; Lawanwadeekul, S.; Phonphuak, N. Synergistic effect of fly ash and glass cullet additive on properties of fire clay bricks. J. Build. Eng. 2021, 44, 102942. [Google Scholar] [CrossRef]
- Louahadj, O. Caractéristique Thermomécanique Des Briques De Terre Par L’ajout De Polymère PEHD. Master’s Thesis, Kasdi Merba Ouargla, Ouargla, Algérie, 2019. [Google Scholar]
- Hakkoum, S. Etude Des Caractéristiques Thermiques Et Mécaniques Des Briques En Terre Cuite Traditionnelles Dans Les Régions De La Wilaya De Ouargla. Magister’s Thesis; Kasdi Merba Ouargla: Ouargla, Algérie, 2015. Available online: http://dspace.univ-ouargla.dz/jspui/handle/123456789/9085 (accessed on 19 November 2024).








| Chemical Elements | SiO2 | Fe2O3 | Al2O3 | TiO2 | CaO | MgO | ZrO | MnO | SiO2/A12O3 |
|---|---|---|---|---|---|---|---|---|---|
| Red soil (%) | 40.2 | 10.6 | 11.3 | 0.92 | 0.43 | 1.3 | 0.09 | 0.4 | 3.5 |
| Aurlac pigment 40 µm (%) | 36.2 | 20.1 | 10.6 | 1.7 | 1.3 | 1.4 | 0.13 | 0.02 | 3.4 |
| Traditional baked brick powder (%) | 36.3 | 11.7 | 8.3 | 0.9 | 0.00 | 1 | 0.08 | 0.01 | 4.4 |
| Assay | Size of Red Soil (mm) | Binder Proportion (g; %) | Water Amount (mL) | Aspect | Bulk Density (g/cm3) | Time Resistance in Water (h) |
|---|---|---|---|---|---|---|
| A1 | <1 | 0; 0 | 23 | Solid compact | 2.07 | 1 |
| A2 | 3.5; 5 | 23 | Solid compact and hard | 2.08 | >24 | |
| A3 | 7; 10 | 20 | Solid compact and hard | 2.13 | >24 | |
| A4 | 10.5; 15 | 16 | Solid with crack | 1.95 | 7 | |
| A5 | <0.04 | 7; 10 | 15 | Soft solid | 1.9 | 8 |
| Assay | Binder Proportion (g; %) | Drying Time at 60 °C (h) | Water Amount (mL) | Aspect | Bulk Density (g/cm3) |
|---|---|---|---|---|---|
| A1P | 0 | 24 | 140 | Compact solid | 2.07 |
| A2P | 22; 5 | 24 | 140 | Solid, compact, and hard | 2 |
| A3P | 44; 10 | 24 | 120 | Solid, compact, and hard, two slightly colored phases | 2.14 |
| A4 | 66; 15 | 48 | 100 | Solid, two phases, crack, air bubbles | 2.03 |
| Entry | Percentage of Oxyacetic Acid of CNSL (%) | Amount of Heat from Transformation (mJ/g) | Amount of Heat of Transformation per g of Product (J/g) |
|---|---|---|---|
| A2P | 5 | −926.01 | −102.55 |
| A3P | 10 | −1009.84 | −122.55 |
| A4P | 15 | −943.77 | −116.51 |
| Assay | Binder Proportion (%) | Time Resistance in Water | Water Absorption Rate (After 24 h of Immersion) | Water Absorption Rate (After 2 Months of Immersion) |
|---|---|---|---|---|
| A0 (Traditional clay brick) | 0 | >2 months | 29.32% | 36.65% |
| A1P (red soil) | 0 | <6 h | - | - |
| A2P (red soil) | 5 | >24 h | 13.14% | - |
| A3P (red soil) | 10 | >2 months | 9.27% | 12.62% |
| A4 (red soil) | 15 | 8 h | - | - |
| Material | Tensile Strength [MPa] | Compressive Strength [MPa] | Reference |
|---|---|---|---|
| A3P: Material with 10% of CNSL oxyacetic acid | 2.1 | 5.6 | - |
| Traditional fired clay brick | 1.75 | 2.2 | - |
| Bagasse-stabilized clay brick | - | 4.84–5.85 | [38] |
| Clay brick stabilized with palm fiber | 1.44–2.58 | 2.2–4.5 | [39] |
| Polyethylene fired clay brick | 0.03–0.07 | 2.3–2.7 | [5] |
Disclaimer/Publisher’s Note: The statements, opinions and data contained in all publications are solely those of the individual author(s) and contributor(s) and not of MDPI and/or the editor(s). MDPI and/or the editor(s) disclaim responsibility for any injury to people or property resulting from any ideas, methods, instructions or products referred to in the content. |
© 2025 by the authors. Licensee MDPI, Basel, Switzerland. This article is an open access article distributed under the terms and conditions of the Creative Commons Attribution (CC BY) license (https://creativecommons.org/licenses/by/4.0/).
Share and Cite
Holiarinala, V.M.; Ramiharimanana, F.D.; Rafanoela, H.; Randriatsarazaka, S.; Razafimahatratra, R.; Metay, E.; Ramanandraibe, V.V.; Lemaire, M. Improvement of Malagasy Traditional Earth Bricks by Using a Derivative of CNSL as a Binding Agent. ChemEngineering 2025, 9, 22. https://doi.org/10.3390/chemengineering9020022
Holiarinala VM, Ramiharimanana FD, Rafanoela H, Randriatsarazaka S, Razafimahatratra R, Metay E, Ramanandraibe VV, Lemaire M. Improvement of Malagasy Traditional Earth Bricks by Using a Derivative of CNSL as a Binding Agent. ChemEngineering. 2025; 9(2):22. https://doi.org/10.3390/chemengineering9020022
Chicago/Turabian StyleHoliarinala, Volana Mifelana, Fenia Diane Ramiharimanana, Hermann Rafanoela, Stephanoel Randriatsarazaka, Raymond Razafimahatratra, Estelle Metay, Voahangy Vestalys Ramanandraibe, and Marc Lemaire. 2025. "Improvement of Malagasy Traditional Earth Bricks by Using a Derivative of CNSL as a Binding Agent" ChemEngineering 9, no. 2: 22. https://doi.org/10.3390/chemengineering9020022
APA StyleHoliarinala, V. M., Ramiharimanana, F. D., Rafanoela, H., Randriatsarazaka, S., Razafimahatratra, R., Metay, E., Ramanandraibe, V. V., & Lemaire, M. (2025). Improvement of Malagasy Traditional Earth Bricks by Using a Derivative of CNSL as a Binding Agent. ChemEngineering, 9(2), 22. https://doi.org/10.3390/chemengineering9020022

