Removal of Ammonium Ions from Aqueous Solutions Using Alkali-Activated Analcime as Sorbent
Abstract
1. Introduction
2. Materials and Methods
2.1. Materials
2.2. Screening of Different Alkali- and Acid Activation Methods for Analcime
2.2.1. Pre-Treatment of Analcime
2.2.2. Alkali- and Acid Activation
2.3. Alkali-Activation
2.4. Characterization Methods
2.5. Batch Sorption Experiments
2.6. Sorption Isotherms
2.7. Reaction Kinetics of the Sorption Process
Intra-Particle Diffusion Model
3. Results and Discussion
3.1. Screening of the Preparation Methods
3.2. Characterization of the Sorbents
3.3. Effect of Sorbent Dosage
3.4. Effect of Initial NH4+ Ion Concentration
3.5. Sorption Isotherms
3.6. Effect of Contact Time
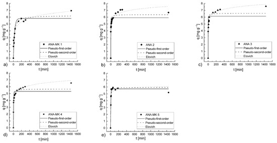
3.7. Kinetic Modeling
3.8. Weber and Morris Intraparticle Diffusion Model
3.9. Comparison with the Other Adsorbents
4. Conclusions
Author Contributions
Funding
Institutional Review Board Statement
Informed Consent Statement
Data Availability Statement
Acknowledgments
Conflicts of Interest
References
- Adam, M.R.; Othman, M.H.D.; Puteh, M.H.; Ismail, A.F.; Mustafa, A.; Rahman, M.A.; Jaafar, J. Impact of Sintering Temperature and PH of Feed Solution on Adsorptive Removal of Ammonia from Wastewater Using Clinoptilolite Based Hollow Fibre Ceramic Membrane. J. Water Process Eng. 2020, 33, 101063. [Google Scholar] [CrossRef]
- Alshameri, A.; He, H.; Zhu, J.; Xi, Y.; Zhu, R.; Ma, L.; Tao, Q. Adsorption of Ammonium by Different Natural Clay Minerals: Characterization, Kinetics and Adsorption Isotherms. Appl. Clay Sci. 2018, 159, 83–93. [Google Scholar] [CrossRef]
- Widiastuti, N.; Wu, H.; Ang, H.M.; Zhang, D. Removal of Ammonium from Greywater Using Natural Zeolite. Desalination 2011, 277, 15–23. [Google Scholar] [CrossRef]
- Eberle, S.; Börnick, H.; Stolte, S. Granular Natural Zeolites: Cost-Effective Adsorbents for the Removal of Ammonium from Drinking Water. Water 2022, 14, 939. [Google Scholar] [CrossRef]
- EU. Council Directive 98/83/EC of 3 November 1998 on the Quality of Water Intended for Human Consumption; EU: Maastricht, The Netherlands, 1998. [Google Scholar]
- Directive 91/271/EEC of the European Council Concerning Urban Waste-Water Treatment. Off. J. Eur. Union 1991, L135, 40–52. Available online: https://eur-lex.europa.eu/legal-content/EN/TXT/PDF/?uri=CELEX:31991L0271&from=EN (accessed on 20 December 2022).
- Vu, T.M.; Trinh, V.T.; Doan, D.P.; Van, H.T.; Nguyen, T.V.; Vigneswaran, S.; Ngo, H.H. Removing Ammonium from Water Using Modified Corncob-Biochar. Sci. Total Environ. 2017, 579, 612–619. [Google Scholar] [CrossRef]
- Wang, T.; Li, G.; Yang, K.; Zhang, X.; Wang, K.; Cai, J.; Zheng, J. Enhanced Ammonium Removal on Biochar from a New Forestry Waste by Ultrasonic Activation: Characteristics, Mechanisms and Evaluation. Sci. Total Environ. 2021, 778, 146295. [Google Scholar] [CrossRef]
- Han, B.; Butterly, C.; Zhang, W.; He, J.-z.; Chen, D. Adsorbent Materials for Ammonium and Ammonia Removal: A Review. J. Clean. Prod. 2021, 283, 124611. [Google Scholar] [CrossRef]
- Yuan, M.H.; Chen, Y.H.; Tsai, J.Y.; Chang, C.Y. Ammonia Removal from Ammonia-Rich Wastewater by Air Stripping Using a Rotating Packed Bed. Process Saf. Environ. Prot. 2016, 102, 777–785. [Google Scholar] [CrossRef]
- Zangeneh, A.; Sabzalipour, S.; Takdatsan, A.; Yengejeh, R.J.; Khafaie, M.A. Ammonia Removal Form Municipal Wastewater by Air Stripping Process: An Experimental Study. S. Afr. J. Chem. Eng. 2021, 36, 134–141. [Google Scholar] [CrossRef]
- Keene, N.A.; Reusser, S.R.; Scarborough, M.J.; Grooms, A.L.; Seib, M.; Santo Domingo, J.; Noguera, D.R. Pilot Plant Demonstration of Stable and Efficient High Rate Biological Nutrient Removal with Low Dissolved Oxygen Conditions. Water Res. 2017, 121, 72–85. [Google Scholar] [CrossRef] [PubMed]
- Zhang, X.; Zhu, F.; Chen, L.; Zhao, Q.; Tao, G. Removal of Ammonia Nitrogen from Wastewater Using an Aerobic Cathode Microbial Fuel Cell. Bioresour. Technol. 2013, 146, 161–168. [Google Scholar] [CrossRef] [PubMed]
- Hu, L.; Yu, J.; Luo, H.; Wang, H.; Xu, P.; Zhang, Y. Simultaneous Recovery of Ammonium, Potassium and Magnesium from Produced Water by Struvite Precipitation. Chem. Eng. J. 2020, 382, 123001. [Google Scholar] [CrossRef]
- Huang, H.; Liu, J.; Zhang, P.; Zhang, D.; Gao, F. Investigation on the Simultaneous Removal of Fluoride, Ammonia Nitrogen and Phosphate from Semiconductor Wastewater Using Chemical Precipitation. Chem. Eng. J. 2017, 307, 696–706. [Google Scholar] [CrossRef]
- Cerrillo, M.; Viñas, M.; Bonmatí, A. Anaerobic Digestion and Electromethanogenic Microbial Electrolysis Cell Integrated System: Increased Stability and Recovery of Ammonia and Methane. Renew. Energy 2018, 120, 178–189. [Google Scholar] [CrossRef]
- Li, L.; Yao, J.; Fang, X.; Huang, Y.; Mu, Y. Electrolytic Ammonia Removal and Current Efficiency by a Vermiculite-Packed Electrochemical Reactor. Sci. Rep. 2017, 7, 41030. [Google Scholar] [CrossRef]
- Gai, H.; Liu, X.; Feng, B.; Gai, C.; Huang, T.; Xiao, M.; Song, H. An Alternative Scheme of Biological Removal of Ammonia Nitrogen from Wastewater–Highly Dispersed Ru Cluster @mesoporous TiO2 for the Catalytic Wet Air Oxidation of Low-Concentration Ammonia. Chem. Eng. J. 2021, 407, 127082. [Google Scholar] [CrossRef]
- Lousteau, C.; Besson, M.; Descorme, C. Catalytic Wet Air Oxidation of Ammonia over Supported Noble Metals. Catal. Today 2015, 241, 80–85. [Google Scholar] [CrossRef]
- Gendel, Y.; Lahav, O. A Novel Approach for Ammonia Removal from Fresh-Water Recirculated Aquaculture Systems, Comprising Ion Exchange and Electrochemical Regeneration. Aquac. Eng. 2013, 52, 27–38. [Google Scholar] [CrossRef]
- Imchuen, N.; Lubphoo, Y.; Chyan, J.M.; Padungthon, S.; Liao, C.H. Using Cation Exchange Resin for Ammonium Removal as Part of Sequential Process for Nitrate Reduction by Nanoiron. Sustain. Environ. Res. 2016, 26, 156–160. [Google Scholar] [CrossRef]
- Ahmadiannamini, P.; Eswaranandam, S.; Wickramasinghe, R.; Qian, X. Mixed-Matrix Membranes for Efficient Ammonium Removal from Wastewaters. J. Memb. Sci. 2017, 526, 147–155. [Google Scholar] [CrossRef]
- Moradihamedani, P.; Abdullah, A.H. Ammonia Removal from Aquaculture Wastewater by High Flux and High Rejection Polysulfone/Cellulose Acetate Blend Membrane. Polym. Bull. 2019, 76, 2481–2497. [Google Scholar] [CrossRef]
- Huang, J.; Kankanamge, N.R.; Chow, C.; Welsh, D.T.; Li, T.; Teasdale, P.R. Removing Ammonium from Water and Wastewater Using Cost-Effective Adsorbents: A Review. J. Environ. Sci. 2018, 63, 174–197. [Google Scholar] [CrossRef] [PubMed]
- Malovanyy, A.; Sakalova, H.; Yatchyshyn, Y.; Plaza, E.; Malovanyy, M. Concentration of Ammonium from Municipal Wastewater Using Ion Exchange Process. Desalination 2013, 329, 93–102. [Google Scholar] [CrossRef]
- Sica, M.; Duta, A.; Teodosiu, C.; Draghici, C. Thermodynamic and Kinetic Study on Ammonium Removal from a Synthetic Water Solution Using Ion Exchange Resin. Clean Technol. Environ. Policy 2014, 16, 351–359. [Google Scholar] [CrossRef]
- Ismadji, S.; Tong, D.S.; Soetaredjo, F.E.; Ayucitra, A.; Yu, W.H.; Zhou, C.H. Bentonite Hydrochar Composite for Removal of Ammonium from Koi Fish Tank. Appl. Clay Sci. 2016, 119, 146–154. [Google Scholar] [CrossRef]
- Kizito, S.; Wu, S.; Kipkemoi Kirui, W.; Lei, M.; Lu, Q.; Bah, H.; Dong, R. Evaluation of Slow Pyrolyzed Wood and Rice Husks Biochar for Adsorption of Ammonium Nitrogen from Piggery Manure Anaerobic Digestate Slurry. Sci. Total Environ. 2015, 505, 102–112. [Google Scholar] [CrossRef]
- Wang, B.; Lehmann, J.; Hanley, K.; Hestrin, R.; Enders, A. Adsorption and Desorption of Ammonium by Maple Wood Biochar as a Function of Oxidation and PH. Chemosphere 2015, 138, 120–126. [Google Scholar] [CrossRef]
- Alshameri, A.; Ibrahim, A.; Assabri, A.M.; Lei, X.; Wang, H.; Yan, C. The Investigation into the Ammonium Removal Performance of Yemeni Natural Zeolite: Modification, Ion Exchange Mechanism, and Thermodynamics. Powder Technol. 2014, 258, 20–31. [Google Scholar] [CrossRef]
- Mazloomi, F.; Jalali, M. Ammonium Removal from Aqueous Solutions by Natural Iranian Zeolite in the Presence of Organic Acids, Cations and Anions. J. Environ. Chem Eng. 2016, 4, 1664–1673. [Google Scholar] [CrossRef]
- Zaini, N.S.M.; Lenggoro, I.W.; Naim, M.N.; Yoshida, N.; Man, H.C.; Bakar, N.F.A.; Puasa, S.W. Adsorptive Capacity of Spray-Dried PH-Treated Bentonite and Kaolin Powders for Ammonium Removal. Adv. Powder Technol. 2021, 32, 1833–1843. [Google Scholar] [CrossRef]
- Chen, J.P.; Chua, M.L.; Zhang, B. Effects of Competitive Ions, Humic Acid, and PH on Removal of Ammonium and Phosphorous from the Synthetic Industrial Effluent by Ion Exchange Resins. Waste Manag. 2002, 22, 711–719. [Google Scholar] [CrossRef]
- Cruz, H.; Laycock, B.; Strounina, E.; Seviour, T.; Oehmen, A.; Pikaar, I. Modified Poly(Acrylic Acid)-Based Hydrogels for Enhanced Mainstream Removal of Ammonium from Domestic Wastewater. Environ. Sci. Technol. 2020, 54, 9573–9583. [Google Scholar] [CrossRef] [PubMed]
- Cruz, H.; Yap Gabon, M.; Salehin, S.; Seviour, T.; Laycock, B.; Pikaar, I. Magnetic Poly(Acrylic Acid)-Based Hydrogels for Rapid Ammonium Sorption and Efficient Sorbent Separation from Sewage. Environ. Sci. Ecotechnol. 2021, 6, 100097. [Google Scholar] [CrossRef] [PubMed]
- Zhang, M.; Zhang, H.; Xu, D.; Han, L.; Niu, D.; Tian, B.; Zhang, J.; Zhang, L.; Wu, W. Removal of Ammonium from Aqueous Solutions Using Zeolite Synthesized from Fly Ash by a Fusion Method. Desalination 2011, 271, 111–121. [Google Scholar] [CrossRef]
- Liu, H.; Dong, Y.; Liu, Y.; Wang, H. Screening of Novel Low-Cost Adsorbents from Agricultural Residues to Remove Ammonia Nitrogen from Aqueous Solution. J. Hazard. Mater. 2010, 178, 1132–1136. [Google Scholar] [CrossRef]
- Uurlu, M.; Karaolu, M.H. Adsorption of Ammonium from an Aqueous Solution by Fly Ash and Sepiolite: Isotherm, Kinetic and Thermodynamic Analysis. Microporous Mesoporous Mater. 2011, 139, 173–178. [Google Scholar] [CrossRef]
- Yusof, A.M.; Keat, L.K.; Ibrahim, Z.; Majid, Z.A.; Nizam, N.A. Kinetic and Equilibrium Studies of the Removal of Ammonium Ions from Aqueous Solution by Rice Husk Ash-Synthesized Zeolite Y and Powdered and Granulated Forms of Mordenite. J. Hazard Mater. 2010, 174, 380–385. [Google Scholar] [CrossRef]
- Zhang, L.Y.; Zhang, H.Y.; Guo, W.; Tian, Y.L. Sorption Characteristics and Mechanisms of Ammonium by Coal By-Products: Slag, Honeycomb-Cinder and Coal Gangue. Int. J. Environ. Sci. Technol. 2013, 10, 1309–1318. [Google Scholar] [CrossRef]
- Zhao, Y.; Niu, Y.; Hu, X.; Xi, B.; Peng, X.; Liu, W.; Guan, W.; Wang, L. Removal of Ammonium Ions from Aqueous Solutions Using Zeolite Synthesized from Red Mud. Desalination Water Treat. 2016, 57, 4720–4731. [Google Scholar] [CrossRef]
- Zhu, Y.; Kolar, P.; Shah, S.B.; Cheng, J.J.; Lim, P.K. Avocado Seed-Derived Activated Carbon for Mitigation of Aqueous Ammonium. Ind. Crops Prod. 2016, 92, 34–41. [Google Scholar] [CrossRef]
- Sadegh, H.; Shahryari-ghoshekandi, R.; Kazemi, M. Study in Synthesis and Characterization of Carbon Nanotubes Decorated by Magnetic Iron Oxide Nanoparticles. Int. Nano Lett. 2014, 4, 129–135. [Google Scholar] [CrossRef]
- Shi, J.; Yang, Z.; Dai, H.; Lu, X.; Peng, L.; Tan, X.; Shi, L.; Fahim, R. Preparation and Application of Modified Zeolites as Adsorbents in Wastewater Treatment. Water Sci. Technol. 2017, 2017, 621–635. [Google Scholar] [CrossRef] [PubMed]
- Wang, S.; Peng, Y. Natural Zeolites as Effective Adsorbents in Water and Wastewater Treatment. Chem. Eng. J. 2010, 156, 11–24. [Google Scholar] [CrossRef]
- Fu, H.; Li, Y.; Yu, Z.; Shen, J.; Li, J.; Zhang, M.; Ding, T.; Xu, L.; Lee, S.S. Ammonium Removal Using a Calcined Natural Zeolite Modified with Sodium Nitrate. J. Hazard Mater. 2020, 393, 122481. [Google Scholar] [CrossRef]
- Nodehi, M.; Taghvaee, V.M. Alkali-Activated Materials and Geopolymer: A Review of Common Precursors and Activators Addressing Circular Economy. Circ. Econ. Sustain. 2022, 2, 165–196. [Google Scholar] [CrossRef]
- Chen, Y.; Tian, Q.; Chen, B.; Shi, X.; Liao, T. Preparation of Lithium Carbonate from Spodumene by a Sodium Carbonate Autoclave Process. Hydrometallurgy 2011, 109, 43–46. [Google Scholar] [CrossRef]
- Pesonen, J.; Tuomikoski, S.; Näppä, J.; Prokkola, H.; Hu, T.; Lassi, U.; Runtti, H. Ammonium Uptake over Analcime and Its Soil Enhancer Potential. In Proceedings of the 8th International Conference on Sustainable Solid Waste Management, Thessaloniki, Greece, 23–26 June 2021; Available online: www.thessaloniki2021.uest.gr (accessed on 20 December 2022).
- Abukhadra, M.R.; Basyouny, M.G.; El-Sherbeeny, A.M.; El-Meligy, M.A. The Effect of Different Green Alkali Modification Processes on the Clinoptilolite Surface as Adsorbent for Ammonium Ions; Characterization and Application. Microporous Mesoporous Mater. 2020, 300, 110145. [Google Scholar] [CrossRef]
- Huang, H.; Xiao, X.; Yan, B.; Yang, L. Ammonium Removal from Aqueous Solutions by Using Natural Chinese (Chende) Zeolite as Adsorbent. J. Hazard Mater. 2010, 175, 247–252. [Google Scholar] [CrossRef]
- Langmuir, I. The Adsorption of Gases on Plane Surfaces of Glass, Mica and Platinum. J. Am. Chem. Soc. 1918, 40, 1361–1403. [Google Scholar] [CrossRef]
- Freundlich, H. Over the Adsorption in Solutions. J. Phys. Chem. 1906, 57, 385–470. [Google Scholar]
- Sips, R. On the Structure of a Catalyst Surface. J. Chem. Phys. 1948, 16, 490–495. [Google Scholar] [CrossRef]
- Graham, D. The Characterization of Physical Adsorption Systems. I. The Equilibrium Function and Standard Free Energy of Adsorption. J. Phys. Chem. 1953, 57, 665–669. [Google Scholar] [CrossRef]
- Lagergren, S. About the theory of so-called adsorption of soluble substances, Zur Theorie Der Sogenannten Adsorption Gelöster Stoffe. Kungl. Sven. Vetensk. Handl. 1898, 24, 1–39. [Google Scholar]
- Ho, Y.; McKay, G. Pseudo-Second-Order Model for Sorption Processes. Process Biochem. 1999, 34, 451–465. [Google Scholar] [CrossRef]
- Zeldowitsch, J. Über Den Mechanismus Der Katalytischen Oxydation von CO an MnO2 [About the Mechanism of Catalytic Oxidation of CO over MnO2]. Acta Physicochim. U.R.S.S. 1934, 1, 364–449. [Google Scholar]
- Weber, W.; Morris, J. Kinetics of Adsorption on Carbon from Solution. J. Sanit. Eng. Div. Am. Soc. Civ. Eng. 1963, 89, 31–60. [Google Scholar] [CrossRef]
- Runtti, H.; Tynjälä, P.; Tuomikoski, S.; Kangas, T.; Hu, T.; Rämö, J.; Lassi, U. Utilisation of Barium-Modified Analcime in Sulphate Removal: Isotherms, Kinetics and Thermodynamics Studies. J. Water Process Eng. 2017, 16, 319–328. [Google Scholar] [CrossRef]
- He, Y.; Lin, H.; Dong, Y.; Liu, Q.; Wang, L. Simultaneous Removal of Ammonium and Phosphate by Alkaline-Activated and Lanthanum-Impregnated Zeolite. Chemosphere 2016, 164, 387–395. [Google Scholar] [CrossRef]
- Mozgawa, W. The Relation between Structure and Vibrational Spectra of Natural Zeolites. J. Mol. Struct. 2001, 596, 129–137. [Google Scholar] [CrossRef]
- Barczyk, K.; Mozgawa, W.; Król, M. Studies of Anions Sorption on Natural Zeolites. Spectrochim. Acta A Mol. Biomol. Spectrosc. 2014, 133, 876–882. [Google Scholar] [CrossRef] [PubMed]
- Javadian, H.; Ghorbani, F.; Tayebi, H.A.; Asl, S.M.H. Study of the Adsorption of Cd (II) from Aqueous Solution Using Zeolite-Based Geopolymer, Synthesized from Coal Fly Ash; Kinetic, Isotherm and Thermodynamic Studies. Arab. J. Chem. 2015, 8, 837–849. [Google Scholar] [CrossRef]
- Ma, X.; Yang, J.; Ma, H.; Liu, C.; Zhang, P. Synthesis and Characterization of Analcime Using Quartz Syenite Powder by Alkali-Hydrothermal Treatment. Microporous Mesoporous Mater. 2015, 201, 134–140. [Google Scholar] [CrossRef]
- Nezamzadeh-Ejhieh, A.; Tavakoli-Ghinani, S. Effect of a Nano-Sized Natural Clinoptilolite Modified by the Hexadecyltrimethyl Ammonium Surfactant on Cephalexin Drug Delivery. Comptes Rendus Chim. 2014, 17, 49–61. [Google Scholar] [CrossRef]
- Novembre, D.; Gimeno, D. Synthesis and Characterization of Analcime (ANA) Zeolite Using a Kaolinitic Rock. Sci. Rep. 2021, 11, 13373. [Google Scholar] [CrossRef]
- Zhu, S.; Cui, H.; Jia, Y.; Zhu, X.; Tong, H.; Ma, L. Occurrence, Composition, and Origin of Analcime in Sedimentary Rocks of Non-Marine Petroliferous Basins in China. Mar. Pet. Geol. 2020, 113, 104164. [Google Scholar] [CrossRef]
- Liu, H.; Wang, Z.; Tian, Z.; Bu, J.; Qiu, J. Effect and Mechanism of Metakaolin Powder (MP) on Rheological and Mechanical Properties of Cementitious Suspension. Materials 2022, 15, 5797. [Google Scholar] [CrossRef]
- el Alouani, M.; Alehyen, S.; el Achouri, M.; Taibi, M. Preparation, Characterization, and Application of Metakaolin-Based Geopolymer for Removal of Methylene Blue from Aqueous Solution. J. Chem. 2019, 2019, 4212901. [Google Scholar] [CrossRef]
- Wianglor, K.; Sinthupinyo, S.; Piyaworapaiboon, M.; Chaipanich, A. Effect of Alkali-Activated Metakaolin Cement on Compressive Strength of Mortars. Appl. Clay Sci. 2017, 141, 272–279. [Google Scholar] [CrossRef]
- Singh, B.; Rahman, M.R.; Paswan, R.; Bhattacharyya, S.K. Effect of Activator Concentration on the Strength, ITZ and Drying Shrinkage of Fly Ash/Slag Geopolymer Concrete. Constr. Build. Mater. 2016, 118, 171–179. [Google Scholar] [CrossRef]
- Bocullo, V.; Vitola, L.; Vaiciukyniene, D.; Kantautas, A.; Bajare, D. The Influence of the SiO2/Na2O Ratio on the Low Calcium Alkali Activated Binder Based on Fly Ash. Mater. Chem. Phys. 2021, 258, 123846. [Google Scholar] [CrossRef]
- Andrejkovičová, S.; Sudagar, A.; Rocha, J.; Patinha, C.; Hajjaji, W.; da Silva, E.F.; Velosa, A.; Rocha, F. The Effect of Natural Zeolite on Microstructure, Mechanical and Heavy Metals Adsorption Properties of Metakaolin Based Geopolymers. Appl. Clay Sci. 2016, 126, 141–152. [Google Scholar] [CrossRef]
- da Silva Rocha, T.; Dias, D.P.; França, F.C.C.; de Salles Guerra, R.R.; da Costa de Oliveira Marques, L.R. Metakaolin-Based Geopolymer Mortars with Different Alkaline Activators (Na+ and K+). Constr. Build. Mater. 2018, 178, 453–461. [Google Scholar] [CrossRef]
- Marvila, M.T.; de Azevedo, A.R.G.; Vieira, C.M.F. Reaction Mechanisms of Alkali-Activated Materials. Rev. IBRACON Estrut. E Mater. 2021, 14, 1–26. [Google Scholar] [CrossRef]
- Sun, Z.; Tang, Q.; Fan, X.; Gan, M.; Chen, X.; Ji, Z.; Huang, X. Self-Compacting Alkali-Activated Materials: Progress and Perspectives. Molecules 2022, 27, 81. [Google Scholar] [CrossRef]
- Mosanefi, S.; Alavi, N.; Eslami, A.; Saadani, M.; Ghavami, A. Ammonium Removal from Landfill Fresh Leachate Using Zeolite as Adsorbent. J. Mater. Cycles Waste Manag. 2021, 23, 1383–1393. [Google Scholar] [CrossRef]
- Rasaki, S.A.; Bingxue, Z.; Guarecuco, R.; Thomas, T.; Minghui, Y. Geopolymer for Use in Heavy Metals Adsorption, and Advanced Oxidative Processes: A Critical Review. J. Clean. Prod. 2019, 213, 42–58. [Google Scholar] [CrossRef]
- Luukkonen, T.; Tolonen, E.-T.; Runtti, H.; Kemppainen, K.; Perämäki, P.; Rämö, J.; Lassi, U. Optimization of the Metakaolin Geopolymer Preparation for Maximized Ammonium Adsorption Capacity. J. Mater. Sci. 2017, 52, 9363–9376. [Google Scholar] [CrossRef]
- Luukkonen, T.; Sarkkinen, M.; Kemppainen, K.; Rämö, J.; Lassi, U. Metakaolin Geopolymer Characterization and Application for Ammonium Removal from Model Solutions and Landfill Leachate. Appl. Clay Sci. 2016, 119, 266–276. [Google Scholar] [CrossRef]
- Pinelli, D.; Foglia, A.; Fatone, F.; Papa, E.; Maggetti, C.; Bovina, S.; Frascari, D. Ammonium Recovery from Municipal Wastewater by Ion Exchange: Development and Application of a Procedure for Sorbent Selection. J. Environ. Chem. Eng. 2022, 10, 108829. [Google Scholar] [CrossRef]
- Rożek, P.; Król, M.; Mozgawa, W. Geopolymer-Zeolite Composites: A Review. J. Clean. Prod. 2019, 230, 557–579. [Google Scholar] [CrossRef]
- Sanguanpak, S.; Wannagon, A.; Saengam, C.; Chiemchaisri, W.; Chiemchaisri, C. Porous Metakaolin-Based Geopolymer Granules for Removal of Ammonium in Aqueous Solution and Anaerobically Pretreated Piggery Wastewater. J. Clean. Prod. 2021, 297, 126643. [Google Scholar] [CrossRef]
- Angar, Y.; Djelali, N.-E.; Kebbouche-Gana, S. Investigation of Ammonium Adsorption on Algerian Natural Bentonite. Environ. Sci. Pollut. Res. 2017, 24, 11078–11089. [Google Scholar] [CrossRef] [PubMed]
- Liu, P.; Zhang, A.; Liu, Y.; Liu, Z.; Liu, X.; Yang, L.; Yang, Z. Adsorption Mechanism of High-Concentration Ammonium by Chinese Natural Zeolite with Experimental Optimization and Theoretical Computation. Water 2022, 14, 2413. [Google Scholar] [CrossRef]
- Cheng, H.; Zhu, Q.; Xing, Z. Adsorption of Ammonia Nitrogen in Low Temperature Domestic Wastewater by Modification Bentonite. J. Clean. Prod. 2019, 233, 720–730. [Google Scholar] [CrossRef]
- Xu, Q.; Li, W.; Ma, L.; Cao, D.; Owens, G.; Chen, Z. Simultaneous Removal of Ammonia and Phosphate Using Green Synthesized Iron Oxide Nanoparticles Dispersed onto Zeolite. Sci. Total Environ. 2020, 703, 135002. [Google Scholar] [CrossRef]
- Sarioglu, M. Removal of Ammonium from Municipal Wastewater Using Natural Turkish (Dogantepe) Zeolite. Sep. Purif. Technol. 2005, 41, 1–11. [Google Scholar] [CrossRef]











| Acid Washing | Calcination | Alkali- or Acid Activation Chemical | Consolidation | Method | Sample Name |
|---|---|---|---|---|---|
| - | - | 10 M NaOH | No | 1 | A |
| - | 400 °C, 2 h | 10 M NaOH | No | 1 | B |
| - | 400 °C, 2 h | 10 M NaOH | No | 1 | C |
| 2 M HCl | 700 °C, 2 h | 10 M NaOH | No | 1 | D |
| - | - | Alkaline solution | No | 1 | E |
| - | - | Alkaline solution 1 | Yes | 1 | F |
| - | 400 °C, 2 h | Alkaline solution | No | 1 | G |
| - | 400 °C, 2 h | Alkaline solution | No | 1 | H |
| 2 M HCl | - | Alkaline solution | Yes | 1 | I |
| 2 M HCl | 400 °C, 2 h | Alkaline solution | Yes | 1 | J |
| 2 M HCl | 700 °C, 2 h | Alkaline solution | Yes | 1 | K |
| 2 M HCl | 1100 °C, 2 h | Alkaline solution | No | 1 | L |
| - | - | Phosphoric acid | No | 2 | M |
| - | 400 °C, 2 h | Phosphoric acid | No | 2 | N |
| 2 M HCl | 400 °C, 2 h | Phosphoric acid | No | 2 | O |
| Sample | Pre-Treatment for Analcime | Calcination [T °C] | Materials | Alkali-Activation Chemical | Ratio: ANA/Activation Chemical |
|---|---|---|---|---|---|
| ANA-MK 1 | - | - | ANA:MK (3:1) | 10 M NaOH + Na-silicate (1:1) | 1.02 |
| ANA 2 | 2 M HCl washing, 10 g/200 mL, 24 h | - | ANA | Na-silicate | 0.90 |
| ANA 3 | 2 M HCl washing, 10 g/200 mL, 24 h | 400 °C, 2 h | ANA | 10 M NaOH + Na-silicate (1:1) | 0.91 |
| ANA-MK 4 | - | - | ANA:MK (3:1) | 10 M NaOH + K-silicate (1:1) | 1.04 |
| ANA-MK 5 | - | - | ANA:MK (5.7:1) | 10 M NaOH + K-silicate (1:1) | 1.15 |
| Parameter | C0(NH4+) [mg L−1] | C0(NH4+-N) [mg L−1] | Adsorbent Dosage [g L−1] | Contact Time [min, h] |
|---|---|---|---|---|
| Sorbent dose * | 50 and 1000 | 38 and 777 | 1, 2, 5, 10, 20 | 24 h |
| Initial NH4+/NH4+-N concentration | 5–1000 | 3.9–777 | 5 | 24 h |
| Contact time | 50 | 38 | 5 | 1 min–24 h |
| Sample Name | Specific Surface Area (m2/g) 1 | Average Pore Diameter (nm) | Total Pore Volume (cm3/g) 2 | Cumulative Pore Volume (cm3/g) 3 | <2 nm (%) 3 | 2–50 nm (%) 3 | >50 nm (%) 3 |
|---|---|---|---|---|---|---|---|
| ANA-MK 1 | 4.182 | 31.281 | 0.033 | 0.257 | 2 | 67 | 31 |
| ANA 2 | 10.981 | 22.494 | 0.062 | 0.329 | 2 | 84 | 14 |
| ANA 3 | 10.544 | 29.296 | 0.077 | 0.292 | 0 | 72 | 28 |
| ANA-MK 4 | 7.784 | 12.831 | 0.025 | 0.302 | 3 | 82 | 15 |
| ANA-MK 5 | 46.712 | 5.384 | 0.063 | 0.018 | 8 | 82 | 10 |
| Composition | ANA-MK 1 [w/w%] | ANA 2 [w/w%] | ANA 3 [w/w%] | ANA-MK 4 [w/w%] | ANA-MK 5 [w/w%] |
|---|---|---|---|---|---|
| SiO2 | 65.851 | 63.265 | 55.444 | 56.572 | 56.827 |
| Al2O3 | 9.202 | 15.515 | 24.183 | 23.58 | 22.361 |
| Fe2O3 | 9.04 | 6.068 | 3.385 | 3.301 | 4.00 |
| Na2O | 7.933 | 9.165 | 11.542 | 11.473 | 11.357 |
| CaO | 1.879 | 1.107 | 0.703 | 0.676 | 1.037 |
| P2O5 | 1.369 | 1.048 | 1.095 | 1.056 | 1.122 |
| MgO | 1.406 | 0.811 | 0.684 | 0.409 | 0.477 |
| MnO | 0.668 | 0.450 | 0.334 | 0.320 | 0.434 |
| K2O | 0.648 | 0.84 | 1.117 | 1.119 | 0.882 |
| Others 1 | 0.855 | 0.584 | 0.372 | 0.349 | 0.355 |
| Experimental/Model | Constant/Unit | ANA-MK 1 | ANA 2 | ANA 3 | ANA-MK 4 | ANA-MK 5 |
|---|---|---|---|---|---|---|
| Experimental | qe [mg g−1] | 29.79 | 26.00 | 7.18 | 22.24 | 12.65 |
| Langmuir | qm [mg g−1] | 36.00 | 37.07 | 7.61 | 22.76 | 15.17 |
| bL [L mg−1] | ||||||
| R2 | 0.989 | 0.973 | 0.980 | 0.942 | 0.964 | |
| RMSE | 1.29 | 1.47 | 0.40 | 2.10 | 0.96 | |
| Freundlich | nF | 2.28 | 1.67 | 2.74 | 2.63 | 2.25 |
| KF [(mg g−1)/(mg −1)n] | 2.16 | 0.63 | 0.87 | 2.38 | 0.83 | |
| R2 | 0.958 | 0.978 | 0.973 | 0.978 | 0.992 | |
| RMSE | 2.56 | 1.23 | 0.45 | 1.29 | 0.46 | |
| Sips | qm [mg g−1] | 37.81 | 122.95 | 10.17 | 95.98 | 126.32 |
| bS [L mg−1] | ||||||
| nS | 0.93 | 0.67 | 0.66 | 0.44 | 0.47 | |
| R2 | 0.985 | 0.982 | 0.991 | 0.979 | 0.992 | |
| RMSE | 1.41 | 1.33 | 0.29 | 1.29 | 0.51 | |
| Bi-Langmuir | qm1 [mg g−1] | 1.20 | 3.15 | 1.40 | 31.57 | 18.25 |
| bL1 [L mg−1] | 0.67 | 0.12 | 0.49 | |||
| qm2 [mg g−1] | 35.77 | 48.57 | 7.22 | 8.16 | 2.58 | |
| bL2 [L mg−1] | 0.20 | 0.32 | ||||
| R2 | 0.991 | 0.984 | 0.992 | 0.980 | 0.993 | |
| RMSE | 1.55 | 1.39 | 0.30 | 1.52 | 0.52 |
| Experimental/Model | Constant [Unit] | ANA-MK 1 | ANA 2 | ANA 3 | ANA-MK 4 | ANA-MK 5 |
|---|---|---|---|---|---|---|
| Experimental | qe(exp) [mg g−1] | 6.95 | 6.68 | 7.57 | 6.54 | 5.19 |
| Pseudo-1-order | qe(cal) [mg g−1] | 5.81 | 5.85 | 6.14 | 5.32 | 5.73 |
| k1 [min−1] | 0.036 | 0.586 | 0.996 | 0.213 | 0.158 | |
| R2 | 0.831 | 0.797 | 0.793 | 0.830 | 0.977 | |
| RMSE | 0.877 | 0.814 | 0.980 | 0.686 | 0.270 | |
| Pseudo-2-order | qe(cal) [mg g−1] | 6.24 | 6.32 | 6.56 | 5.66 | 5.95 |
| k2 [g mg−1min−1] | 0.008 | 0.090 | 0.102 | 0.056 | 0.058 | |
| R2 | 0.870 | 0.901 | 0.873 | 0.923 | 0.938 | |
| RMSE | 0.769 | 0.566 | 0.768 | 0.460 | 0.441 | |
| Elovich | β [g mg−1] | 1.291 | 1.967 | 1.767 | 1.708 | 4.416 |
| [mg g−1 min−1] | 3.74 | 933.71 | 436.07 | 54.60 | ||
| R2 | 0.944 | 0.970 | 0.990 | 0.990 | 0.851 | |
| RMSE | 0.505 | 0.314 | 0.211 | 0.168 | 0.685 |
| Sorbent | Capacity q [mg g−1] | Initial pH | C0 [mg L−1] | Sorbent Dosage [g L−1] | Time [h/min] | T [°C] | Ref. |
|---|---|---|---|---|---|---|---|
| Vermiculite | 50.06 2 | 7 | 1000 | 12 | 30 min | R.T | [2] |
| Algerian natural bentonite | 50 1 | 7 | 10–10,000 | 4 | 1 h | 30 | [85] |
| Montmorillonite | 40.40 2 | 7 | 1000 | 12 | 30 min | R.T. | [2] |
| ANA-MK 1 | 29.79 2 | 2.5 | 50 | 5 | 24 h | R.T. | This study |
| Chinese Natural Zeolite | 26.94 1 | - | 1000 | 50 | 3 h | 35 | [86] |
| ANA-2 | 26.00 2 | 2.5 | 50 | 5 | 24 h | R.T. | This study |
| Zeolite synthetized from fly ash | 24.30 2 | 8.0 | 10–300 | 4 | 75 min | 25 | [36] |
| ANA-MK 4 | 22.24 2 | 2.5 | 50 | 5 | 24 h | R.T. | This study |
| Zeolite synthetized from fly ash | 21.45 2 | 8.0 | 10–300 | 4 | 75 min | 35 | [36] |
| Metakaolin-based geopolymer | 19.7 2 | 6.0 | 140 | 5 | 24 h | 22 | [80] |
| ANA-MK 5 | 12.65 2 | 2.5 | 50 | 5 | 24 h | R.T. | This study |
| ANA-3 | 7.18 2 | 2.5 | 50 | 5 | 24 h | R.T. | This study |
| Modified bentonite | 5.85 1 | 7.5 | 0–350 | - | 1 h | 25 | [87] |
| Iron oxide/zeolite | 3.47 1 | 6.4 | 5–100 | - | 1 h | 30 | [88] |
| Turkish (Dogantepe) zeolite | 1.08 2 | 4 | 88 | 10 | 40 min | 20 | [89] |
Disclaimer/Publisher’s Note: The statements, opinions and data contained in all publications are solely those of the individual author(s) and contributor(s) and not of MDPI and/or the editor(s). MDPI and/or the editor(s) disclaim responsibility for any injury to people or property resulting from any ideas, methods, instructions or products referred to in the content. |
© 2023 by the authors. Licensee MDPI, Basel, Switzerland. This article is an open access article distributed under the terms and conditions of the Creative Commons Attribution (CC BY) license (https://creativecommons.org/licenses/by/4.0/).
Share and Cite
Runtti, H.; Sundhararasu, E.; Pesonen, J.; Tuomikoski, S.; Hu, T.; Lassi, U.; Kangas, T. Removal of Ammonium Ions from Aqueous Solutions Using Alkali-Activated Analcime as Sorbent. ChemEngineering 2023, 7, 5. https://doi.org/10.3390/chemengineering7010005
Runtti H, Sundhararasu E, Pesonen J, Tuomikoski S, Hu T, Lassi U, Kangas T. Removal of Ammonium Ions from Aqueous Solutions Using Alkali-Activated Analcime as Sorbent. ChemEngineering. 2023; 7(1):5. https://doi.org/10.3390/chemengineering7010005
Chicago/Turabian StyleRuntti, Hanna, Elavarasi Sundhararasu, Janne Pesonen, Sari Tuomikoski, Tao Hu, Ulla Lassi, and Teija Kangas. 2023. "Removal of Ammonium Ions from Aqueous Solutions Using Alkali-Activated Analcime as Sorbent" ChemEngineering 7, no. 1: 5. https://doi.org/10.3390/chemengineering7010005
APA StyleRuntti, H., Sundhararasu, E., Pesonen, J., Tuomikoski, S., Hu, T., Lassi, U., & Kangas, T. (2023). Removal of Ammonium Ions from Aqueous Solutions Using Alkali-Activated Analcime as Sorbent. ChemEngineering, 7(1), 5. https://doi.org/10.3390/chemengineering7010005

