30 Years of Vicente Rives’ Contribution to Hydrotalcites, Synthesis, Characterization, Applications, and Innovation
Abstract
:1. Introduction
2. Synthesis and Characterization
3. Applications
4. Conclusions
Funding
Acknowledgments
Conflicts of Interest
References
- Ulibarri, M.A.; Fernández, J.M.; Labajos, F.M.; Rives, V. Synthesis and characterization of [Co1-xAlx(OH)2] (CO3)x/2· n H20]. Chem. Mater. 1991, 3, 626–630. [Google Scholar] [CrossRef]
- Hochstetter, C. Untersuchung Über Die Zusammensetzung einiger Mineralien. J. Prakt. Chem. 1842, 27, 375–378. [Google Scholar] [CrossRef]
- Caillère, S. Sur l’hydrotalcite de Snarum (Norvège). Bull. Soc. Miner. 1944, 67, 411–419. [Google Scholar] [CrossRef]
- Manasse, E. Idrotalcite e piroaurite. Atti Soc. Toscana Sc. Nat. Proc. Verb. 1915, 24, 92–97. [Google Scholar]
- Feitknecht, W.; Gerber, M. Zur Kenntnis der Doppelhydroxyde und basischen Doppelsalze III. Über Magnesium-Aluminiumdoppelhydroxyd. Helv. Chim. Acta 1942, 25, 131–137. [Google Scholar] [CrossRef]
- Allmann, R. The crystal structure of pyroaurite. Acta Cryst. B 1968, 24, 972–977. [Google Scholar] [CrossRef]
- Taylor, H.F.W. Segregation and Cation-Ordering in Sjögrenite and Pyroaurite. Mineral Mag. 1969, 37, 338–342. [Google Scholar] [CrossRef] [Green Version]
- Ross, G.J.; Kodama, H. Properties of a Synthetic Magnesium-Aluminum Carbonate Hydroxide and its Relationship to Magnesium-Aluminum Double Hydroxide, Manasseite and Hydrotalcite. Am. Mineral. 1967, 752, 1036–1047. [Google Scholar]
- Rives, V. (Ed.) Layered Double Hydroxides: Present and Future; Nova Science Publishers: New York, NY, USA, 2001. [Google Scholar]
- Rives, V.; Ulibarri, M.A. Layered double hydroxides (LDH) intercalated with metal coordination compounds and oxometalates. Coord. Chem. Rev. 1999, 181, 61–120. [Google Scholar] [CrossRef]
- Labajos, F.M.; Rives, V.; Ulibarri, M.A. A FT-IR and V-UV Spectroscopic Study of Nickel-Containing Hydrotalcite-Like Compounds, [Ni1−xAlx(OH)2](CO3)x/2·nH2O. Spectrosc. Lett. 1991, 24, 499–505. [Google Scholar] [CrossRef]
- Reichle, W.T. Synthesis of anionic clay minerals (mixed metal hydroxides, hydrotalcite). Solid State Ion. 1986, 22, 135. [Google Scholar] [CrossRef]
- Rives, V.; Labajos, F.M.; Ulibarri, M.A. Effect of hydrothermal and thermal treatments on the physicochemical properties of Mg-Al hydrotalcite-like materials. J. Mat. Sci. 1992, 27, 1546–1552. [Google Scholar]
- Arco, M.; Rives, V.; Trujillano, R. Surface and textural properties of hydrotalcite-like materials and their decomposition products. Stud. Surf. Sci. Catal. 1994, 87, 507–515. [Google Scholar]
- Arco, M.C.; Martín, C.; Martín, I.; Rives, V.V.; Trujillano, R. A FTIR spectroscopic study of surface-acidity and basicity of mixed Mg,Al-oxides obtained by thermal-decomposition of hydrotalcite Spectrochim. Acta 1993, 49, 1575–1582. [Google Scholar]
- Trujillano, R.; González-García, I.; Morato, A.; Rives, V. Controlling the synthesis conditions for tuning the properties of hydrotalcite-like materials at the nano scale. Chem. Eng. 2018, 2, 31. [Google Scholar] [CrossRef] [Green Version]
- Benito, P.; Labajos, F.M.; Rocha, J.; Rives, V. Influence of microwave radiation on the textural properties of layered double hydroxides. Micropor. Mesopor. Mat. 2006, 94, 148–158. [Google Scholar] [CrossRef]
- Benito, P.; Labajos, F.M.; Rives, V. Microwave-assisted synthesis of layered double hydroxides. In Solid State Chemistry Research Trends; Buckley, R.W., Ed.; NOVA Sci. Pub. Inc.: New York, NY, USA, 2007; pp. 173–225. [Google Scholar]
- Herrero, M.; Benito, P.; Labajos, F.M.; Rives, V. Change in microporosity of granitic building stones upon stabilisation of Co2+ in LDH by microwave assisted ageing. J. Solid State Chem. 2007, 180, 873–884. [Google Scholar] [CrossRef]
- Rives, V.; Labajos, F.M.; Ulibarri, M.A.; Malet, P. A New Hydrotalcite-like Compound Containing V(III) Ions in the Layers. Inorg. Chem. 1993, 32, 5000–5001. [Google Scholar] [CrossRef]
- Labajos, F.M.; Rives, V.; Malet, P.; Centeno, M.A.; Ulibarri, M.A. Synthesis and characterisation of hydrotalcite-like compounds containing V(III) in the layers, and of their calcination products. Inorg. Chem. 1996, 35, 1154–1160. [Google Scholar] [CrossRef]
- Labajos, F.M.; Sastre, M.-D.; Trujillano, R.; Rives, V. New layered double hydroxides with the hydrotalcite structure containing Ni(II) and V(III). J. Mater. Chem. 1999, 9, 1033–1039. [Google Scholar] [CrossRef]
- Labajos, F.M.; Rives, V. Thermal evolution of Cr(III) ions in hydrotalcite-like compounds. Inorg. Chem. 1996, 35, 5313–5318. [Google Scholar] [CrossRef]
- Rives, V.; Ulibarri, M.A.; Montero, A. Application of temperature-programmed reduction to the characterization of anionic clays. Appl. Clay Sci. 1995, 10, 83–93. [Google Scholar] [CrossRef]
- Ulibarri, M.A.; Labajos, F.M.; Rives, V.; Trujillano, R.; Kagunya, W.; Jones, W. Comparative Study of the Synthesis and Properties of Vanadate-Exchanged Layered Double Hydroxides. Inorg. Chem. 1994, 33, 2592–2599. [Google Scholar] [CrossRef]
- Kooli, F.; Rives, V.; Ulibarri, M.A. Preparation and Study of Decavanadate-Pillared Hydrotalcite-like Anionic Clays Containing Transition Metal Cations in the Layers. 1. Samples Containing Nickel-Aluminum Prepared by Anionic Exchange and Reconstruction. Inorg. Chem. 1995, 34, 5114–5121. [Google Scholar] [CrossRef]
- Ulibarri, M.A.; Labajos, F.M.; Rives, V.; Trujillano, R.; Kagunya, W.; Jones, W. Effect of intermediates on the nature of polyvanadate-intercalated layered double hydroxides. Mol. Cryst. Liq. Cryst. 1994, 244, 167–172. [Google Scholar] [CrossRef]
- Kooli, F.; Rives, V.; Ulibarri, M.A. Preparation and Study of Decavanadate-Pillared Hydrotalcite-like Anionic Clays Containing Transition Metal Cations in the Layers. 2. Samples containing Magnesium-Chromium and Nickel-Chromium. Inorg. Chem. 1995, 34, 5122–5128. [Google Scholar] [CrossRef]
- Crespo, I.; Barriga, C.; Ulibarri, M.A.; González-Bandera, G.; Malet, P.; Rives, V. An X-ray diffraction and absorption study of the phases formed upon calcination of Zn-Al-Fe hydrotalcites. Chem. Mat. 2001, 15, 1518–1527. [Google Scholar] [CrossRef]
- Kooli, F.; Rives, V.; Ulibarri, M.A.; Jones, W. Pillaring of layered double hydroxides possessing variable layer charge with vanadate polyoxoanions. In Advances in Porous Materials; Materials Research Society, Sympisum Proceedings; Komarneni, S., Smith, D.M., Beck, J.S., Eds.; Cambridge University Press: Cambridge, UK, 1995; Volume 371, pp. 143–149. [Google Scholar]
- Arco, M.; Galiano, M.V.G.; Rives, V.; Trujillano, R.; Malet, P. Preparation and study of decavanadate-pillared hydrotalcite-like anionic clays containing cobalt and chromium. Inorg. Chem. 1996, 35, 6362–6372. [Google Scholar] [CrossRef]
- Arco, M.; Rives, V.; Trujillano, R.; Malet, P. Thermal behaviour of Zn, Cr layered double hydroxides with the hydrotalcite-like structure containing carbonate or decavanadate. J. Mat. Chem. 1996, 6, 1419–1428. [Google Scholar] [CrossRef]
- Kooli, F.; Holgado, M.; Rives, V.; San Román, M.; Ulibarri, M.A. A simple conductivity study of decavanadate intercalation in hydrotalcite. Mat. Res. Bull. 1997, 32, 977–982. [Google Scholar] [CrossRef]
- Kooli, F.; Jones, W.; Rives, V.; Ulibarri, M.A. An alternative route to polyoxometalate-exchanged layered double hydroxides: The use of ultrasounds. J. Mat. Sci. Lett. 1997, 16, 27–29. [Google Scholar] [CrossRef]
- Barriga, C.; W Jones, W.; Malet, P.; Rives, V.; Ulibarri, M.A. Synthesis and characterisation of polyoxovanadate-pillared Zn, Al layered double hydroxides: An X-ray absorption and diffraction study. Inorg. Chem. 1998, 37, 1812–1820. [Google Scholar] [CrossRef]
- Crespo, I.; Barriga, C.; Rives, V.; Ulibarri, M.A. Intercalation of iron hexacyano complexes in Zn,Al hydrotalcite. Solid State Ion. 1997, 101, 729–735. [Google Scholar] [CrossRef]
- Arco, M.; Gutierrez, S.; Martin, C.; Rives, V.; Rocha, J. Effect of the Mg/Al ratio on borate (or silicate)/nitrate exchange in hydrotalcite. J. Solid State Chem. 2000, 151, 272–280. [Google Scholar] [CrossRef]
- Arco, M.; Gutierrez, S.; Martin, C.; Rives, V. Intercalation of [Cr(C2O4)3]3− complex in Mg,Al layered double hydroxides. Inorg. Chem. 2003, 42, 4232–4240. [Google Scholar] [CrossRef] [PubMed]
- Rocha, J.; Arco, M.; Rives, V.; Ulibarri, M.A. Reconstruction of layered double hydroxides from calcined precursors: A powder XRD and 27Al MAS NMR study. J. Mater. Chem. 1999, 9, 2499–2503. [Google Scholar] [CrossRef]
- Lahkale, R.; Sadik, R.; Elhatimi, W.; Bouragba, F.Z.; Assekouri, A.; Chouni, K.; Rhalmi, O.; Sabbar, E. Optical, electrical and dielectric properties of mixed metal oxides derived from Mg-Al Layered Double Hydroxides based solid solution series. Phys. B Cond. Matt. 2022, 626, 413367. [Google Scholar] [CrossRef]
- Barriga, C.; Kooli, F.; Rives, V.; Ulibarri, M.A. Layered hydroxycarbonates with the hydrotalcite structure containing Zn, Al and Fe. In Synthesis of Porous Materials; Occelli, M.L., Kessler, H., Eds.; Marcel Dekker Inc.: New York, NY, USA, 1996; pp. 661–674. [Google Scholar]
- Fernández, J.M.; Barriga, C.; Ulibarri, M.A.; Labajos, F.M.; Rives, V. Preparation and thermal-stability of manganese-containing hydrotalcite, [Mg0.75Mn(II)0.04Mn(III)0.21(OH)2] (CO3)0.11·NH2O. J. Mat. Chem. 1994, 4, 1117–1121. [Google Scholar] [CrossRef]
- Barriga, C.; Fernández, J.M.; Ulibarri, M.A.; Labajos, F.M.; Rives, V. Synthesis and characterisation of new hydrotalcite-like compounds containing Ni and Mn in the layers and of their calcination products. J. Solid State Chem. 1996, 124, 205–213. [Google Scholar] [CrossRef]
- Fernández, J.M.; Ulibarri, M.A.; Labajos, F.M.; Rives, V. The effect of iron on the crystalline phases formed upon thermal decomposition of Mg-Al-Fe hydrotalcites. J. Mat. Chem. 1998, 8, 2507–2517. [Google Scholar] [CrossRef]
- Arco, M.; Trujillano, R.; Kassabov, S.; Rives, V. Spectroscopic properties of Co-Fe hydrotalcites. Spectrosc. Lett. 1998, 31, 859–869. [Google Scholar] [CrossRef]
- Arco, M.; Rives, V.; Trujillano, R. Cobalt-iron hydroxycarbonates and their evolution to mixed oxides with the spinel structure. J. Mater. Chem. 1998, 8, 761–767. [Google Scholar] [CrossRef]
- Arco, M.; Malet, P.; Trujillano, R.; Rives, V. Synthesis and Characterization of Hydrotalcites Containing Ni(II) and Fe(III) and Their Calcination Products. Chem. Mater. 1999, 11, 624–633. [Google Scholar] [CrossRef]
- Dong, Y.; Kong, X.; Luo, X.; Wang, H. Adsorptive removal of heavy metal anions from water by layered double hydroxide: A review. Chemosphere 2022, 162, 134685. [Google Scholar] [CrossRef]
- Fernández, J.M.; Barriga, C.; Ulibarri, M.A.; Labajos, F.M.; Rives, V. New hydrotalcite-like compounds containing yttrium. Chem. Mat. 1997, 9, 312–318. [Google Scholar] [CrossRef]
- Jiménez, A.; Misol, A.; Morato, A.; Rives, V.; Vicente, M.A.; Gil, A. Optimization of hydrocalumite preparation under microwave irradiation for recovering aluminium from a saline slag. Appl. Clay Sci. 2021, 212, 10621. [Google Scholar] [CrossRef]
- Jiménez, A.; Rives, V.; Vicente, M.A. Thermal study of the hydrocalumite–katoite–calcite system. Thermochim. Acta 2022, 713, 179242. [Google Scholar] [CrossRef]
- Chisem, I.; Jones, W.; Martín, C.; Martín, C.; Rives, V. Probing the surface acidity of lithium aluminum and magnesium aluminum layered double hydroxides. J. Mater. Chem. 1998, 8, 1917–1926. [Google Scholar] [CrossRef]
- Kooli, F.; Martín, C.; Rives, V. FT-IR spectroscopy study of surface acidity and iso-propanol decomposition on mixed oxides obtained upon calcination of layered double hydroxides. Langmuir 1997, 13, 2303–2306. [Google Scholar] [CrossRef]
- del Arco, M.; Gutiérrez, S.; Martín, C.; Rives, V. FTIR study of isopropanol reactivity on calcined layered double hydroxides. Phys. Chem. Chem. Phys. 2001, 3, 119–126. [Google Scholar] [CrossRef]
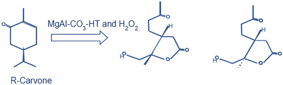
- Rodilla, J.M.; Neves, P.P.; Pombal, S.; Rives, V.; Trujillano, R.; Díez, D. Hydrotalcite catalysis for the synthesis of new chiral building blocks. Nat. Prod. Res. 2016, 30, 834–840. [Google Scholar] [CrossRef] [PubMed]
- Rives, V.; Labajos, F.M.; Trujillano, R.; Romeo, E.; Royo, C.; Monzón, A. Acetylene hydrogenation on Ni–Al–Cr oxide catalysts: The role of added Zn. Appl. Clay Sci. 1998, 13, 363–379. [Google Scholar] [CrossRef]
- Romeo, E.; Royo, C.; Monzón, A.; Trujillano, R.; Labajos, F.M.; Rives, V. Study of mixed oxides prepared from hydrotalcite-type precursors as hydrogenation catalysts. In Actas del 16 Simposio Iberoamericano de Catálisis; Centeno, A., Giraldo, S.A., Páez Mozo, E.A., Eds.; Universidad Industrial De Santander (UIS): Bucaramanga, Colombia, 1998; pp. 567–572. [Google Scholar]
- Monzón, A.; Romeo, E.; Royo, C.; Trujillano, R.; Labajos, F.M.; Rives, V. Desarrollo de óxidos mixtos de ni como catalizadores de hidrogenación selectiva (Development of Ni mixed oxides as catalysts for selective hydrogenation). Av. Ing. Química 1998, 8, 24–27. [Google Scholar]
- Monzón, A.; Romeo, E.; Royo, C.; Trujillano, R.; Labajos, F.M.; Rives, V. Use of hydrotalcites as catalytic precursors of multimetallic mixed oxides. Application in the hydrogenation of acetylene. Appl. Catal. A Gen. 1999, 185, 53–63. [Google Scholar] [CrossRef]
- Romeo, E.; Royo, C.; Monzón, A.; Trujillano, R.; Labajos, F.M.; Rives, V. Preparation and characterisation of Ni-Mg-Al hydrotalcites as hydrogenation catalysts. Stud. Surf. Sci. Catal. 2000, 130, 2099–2104. [Google Scholar]
- Rives, V.L.; Dubey, A.; Kannan, S. Synthesis, Characterization and catalytic hydroxylation of phenol over CuCoAl ternary hydrotalcites. Phys. Chem. Chem. Phys. 2001, 3, 4826–4836. [Google Scholar] [CrossRef]
- Holgado, M.J.; Labajos, F.M.; Montero, M.J.S.; Rives, V. Thermal decomposition of Mg/V hydrotalcites and catalytic performance of the products in oxidative dehydrogenation reactions. Mat. Res. Bull. 2003, 38, 1879–1891. [Google Scholar] [CrossRef]
- Trujillano, R.; Vicente, M.A.; Rives, V. Utilización de arcillas catiónicas y aniónicas en la limpieza y desalado del patrimonio artístico (The use of cationic and anionic clays for cleaning and salt removal of cultural heritage). In Actas del IV Congreso de Rehabilitación del Patrimonio Arquitectónico y Edificación; Fernández Matrán, M.-A., Castro Castellano, J., Eds.; Centro Internacional para la Conservación del Patrimonio (CICOP España): La Habana, Cuba, 1998; pp. 192–193. [Google Scholar]
- Trujillano, R.; García-Talegón, J.; Iñigo, A.C.; Vicente, M.A.; Rives, V.; Molina, E. Removal of salts from granite by sepiolite. Appl. Clay Sci. 1995, 9, 459–463. [Google Scholar] [CrossRef]
- Nebot-Diaz, I.; Rives, V.; Rocha, J.; Carda, J.B. Thermal decomposition study of hydrotalcite-like compounds. Bol. Soc. Esp. Ceram. 2002, 41, 411–414. [Google Scholar]
- García-García, J.M.; Pérez-Bernal, M.E.; Ruano-Casero, R.J.; Rives, V. Chromium and yttrium-doped magnesium aluminum oxides prepared from layered double hydroxides. Solid State Sci. 2007, 9, 1115–1125. [Google Scholar] [CrossRef]
- Pérez-Bernal, M.E.; Ruano-Casero, R.J.; Benito, F.; Rives, V. Nickel–aluminum layered double hydroxides prepared via inverse micelles formation. J. Solid State Chem. 2009, 182, 1593–1601. [Google Scholar] [CrossRef]
- Rives, V.; Pérez-Bernal, M.E.; Ruano-Casero, R.J.; Nebot-Díaz, I. Development of a black ceramic pigment from non-stoichiometric hydrotalcites. J. Eur. Ceram. Soc. 2012, 32, 975–987. [Google Scholar] [CrossRef]
- Vicente, P.; Pérez-Bernal, M.E.; Ruano-Casero, R.J.; Ananias, D.; Almeida-Paz, F.A.; Rocha, J.; Rives, V. Luminescence properties of lanthanide-containing layered double hydroxides. Micropor. Mesopor. Mat. 2016, 226, 209–220. [Google Scholar] [CrossRef]
- Kooli, F.; Rives, V.; Jones, W. Reduction of Ni(II)-Al(III) and Cu(II)-Al(III) layered double hydroxides to metallic Ni(0) and Cu(0) via polyol treatment. Chem. Mat. 1997, 9, 2231–2235. [Google Scholar] [CrossRef]
- Rives, V.; Kannan, S. Layered double hydroxides with the hydrotalcite-type structure containing Cu2+, Ni2+ and Al3+. J. Mat. Chem. 2000, 10, 489–495. [Google Scholar] [CrossRef]
- Dubey, A.; Rives, V.; Kannan, S. Catalytic hydroxylation of phenol over ternary hydrotalcites containing Cu, Ni and Al. J. Molec. Catal. A Gen. 2002, 181, 151–160. [Google Scholar] [CrossRef]
- Kannan, S.; Rives, V.; Knözinger, H. High-temperature transformations of cu-rich hydrotalcites. J. Solid State Chem. 2004, 177, 319–331. [Google Scholar] [CrossRef]
- Alvarez, A.; Trujillano, R.; Rives, V. Differently aged gallium-containing layered double hydroxides. Appl. Clay Sci. 2013, 80, 326–333. [Google Scholar] [CrossRef]
- Trujillano, R.; Holgado, M.J.; Rives, V. Alternative synthetic routes for NiAl layered double hydroxides with alkyl and alkylbenzene, sulfonates. Stud. Surf. Sci. Catal. 2002, 142, 1387–1394. [Google Scholar]
- Kloprogge, J.T.; Hickey, H.; Trujillano, R.; Holgado, M.J.; San Roman, M.S.; Rives, V.; Martens, W.N.; Frost, R.L. Characterization of intercalated Ni/Al hydrotalcites prepared by the partial decomposition of urea. Cryst. Growth Des. 2006, 6, 1533–1536. [Google Scholar] [CrossRef]
- Trujillano, R.; Holgado, M.J.; González, J.L.; Rives, V. Cu-Al-Fe layered double hydroxides with CO32− and anionic surfactants with different alkyl chains in the interlayer. Solid State Sci. 2005, 7, 931–935. [Google Scholar] [CrossRef]
- Trujillano, R.; Holgado, M.J.; Pigazo, F.; Rives, V. Preparation, physicochemical characterisation and magnetic properties of Cu-Al layered double hydroxides with CO32− and anionic surfactants with different alkyl chains in the interlayer. Physica B 2006, 373, 267–273. [Google Scholar] [CrossRef]
- Trujillano, R.; Holgado, M.J.; Rives, V. Obtention of low oxidation states of copper from Cu2+-Al0 layered double hydroxides containing organic sulfonates in the interlayer. Solid State Sci. 2009, 11, 688–693. [Google Scholar] [CrossRef]
- Jinesh, C.M.; Rives, V.; Carriazo, D.; Antonyraj, C.A.; Kannan, S. Influence of copper on the isomerization of eugenol for as-synthesized NiCuAl ternary hydrotalcites: An understanding through physicochemical study. Catal. Lett. 2010, 134, 337–342. [Google Scholar] [CrossRef]
- Arco, M.; Gutiérrez, S.; Martín, C.; Rives, V.; Rocha, J. Synthesis and characterization of layered double hydroxides (LDH) intercalated with non-steroidal anti-inflammatory drugs (NSAID). J. Solid State Chem. 2004, 177, 3954–3962. [Google Scholar] [CrossRef]
- Del Arco, M.; Fernández, A.; Martín, C.; Rives, V. Release studies of different NSAIDs encapsulated in Mg, Al, Fe-hydrotalcites. Appl. Clay Sci. 2009, 42, 538–544. [Google Scholar] [CrossRef]
- Rives, V.; Arco, M.; Martín, C. Layered double hydroxides as drug carriers and for controlled release of non-steroidal antiinflammatory drugs (NSAIDs): A review. J. Controll. Rel. 2013, 169, 28–39. [Google Scholar] [CrossRef]
- Rives, V.; Arco, M.; Martín, C. Intercalation of drugs in layered double hydroxides and their controlled release: A review. Appl. Clay Sci. 2014, 88–89, 239–269. [Google Scholar] [CrossRef]
- Silva, J.M.; Trujillano, R.; Rives, V.; Soria, M.A.; Madeira, L.M. High temperature CO2 sorption over modified hydrotalcites. Chem. Eng. J. 2017, 325, 25–34. [Google Scholar] [CrossRef]
- Miguel, C.V.; Trujillano, R.; Rives, V.; Vicente, M.A.; Ferreira, A.F.P.; Rodrigues, A.E.; Mendes, A.; Madeira, L.M. High temperature CO2 sorption with gallium-substituted and promoted hydrotalcites. Sep. Purif. Technol. 2014, 127, 202–211. [Google Scholar] [CrossRef] [Green Version]
- Silva, J.M.; Trujillano, R.; Rives, V.; Soria, M.A.; Madeira, L.M. Dynamic behaviour of a K-doped Ga substituted and microwave aged hydrotalcite-derived mixed oxide during CO2 sorption experiments. J. Ind. Eng. Chem. 2019, 72, 491–503. [Google Scholar] [CrossRef]
- Faria, A.C.; Trujillano, R.; Rives, V.; Miguel, C.V.; Rodrigues, A.E.; Madeira, L.M. Alkali metal (Na, Cs and K) promoted hydrotalcites for high temperature CO2 capture from flue gas in cyclic adsorption processes. Chem. Eng. J. 2022, 427, 131502. [Google Scholar] [CrossRef]
- Martínez-Gallegos, S.; Herrero, M.; Rives, V. Preparation of composites by in situ polymerisation of pet-hydrotalcite using dodecylsulphate. Mat. Sci. For. 2008, 587, 568–571. [Google Scholar]
- Martínez-Gallegos, S.; Herrero, M.; Labajos, F.M.; Barriga, C.; Rives, V. Dispersion of layered double hydroxides in poly(ethylene terephthalate) by in situ polymerization and mechanical grinding. Appl. Clay Sci. 2009, 45, 44–49. [Google Scholar] [CrossRef]
- Pereira, C.M.; Herrero, M.; Labajos, F.M.; Marques, A.V. Rives Preparation and properties of new flame retardant unsaturated polyester nanocomposites based on layered double hydroxides. Polym. Degrad. Stab. 2009, 94, 939–946. [Google Scholar] [CrossRef]
- Herrero, M.; Benito, P.; Labajos, F.M.; Rives, V.; Zhu, Y.D.; Allen, G.C.; Adams, J.M. Structural characterization and thermal properties of polyamide 6.6/Mg,Al/Adipate-LDH nanocomposites obtained by solid state polymerization. J. Solid State Chem. 2010, 183, 1645–1651. [Google Scholar] [CrossRef]
- Rives, V.; Labajos, F.M.; Herrero, M. Effect of preparation procedures on the properties of LDH/organo nanocomposites. In Nanocomposites: Synthesis, Characterization and Applications; Wang, X., Ed.; Nova Sci. Pub. Inc.: New York, NY, USA, 2013; pp. 169–202. [Google Scholar]
- Rives, V.; Labajos, F.M.; Herrero, M. Layered double hydroxides as nanofillers of composites and nanocomposute materials based on polyethylene. In Polyethylene Based Blends, Composites and Nanocomposites; Visakh, P.M., Martínez Morlanes, M.J., Eds.; Wiley Inc.: Hoboken, NJ, USA; Scrivener Pub.: New York, NY, USA, 2015; pp. 163–199. [Google Scholar]
- Dietmann, K.M.; Linke, T.; Reischer, M.; Rives, V. Fluorescing Layered Double Hydroxides as Tracer Materials for Particle Injection during Subsurface Water Remediation. ChemEngineering 2020, 4, 53. [Google Scholar] [CrossRef]
- Dietmann, K.M.; Linke, T.; Trujillano, R.; Rives, V. Effect of Chain Length and Functional Group of Organic Anions on the Retention Ability of MgAl-Layered Double Hydroxides for Chlorinated Organic Solvents. ChemEngineering 2019, 3, 89. [Google Scholar] [CrossRef] [Green Version]
- Dietmann, K.M.; Linke, T.; Nogal Sánchez, M.d.; Pérez Pavón, J.L.; Rives, V. Layered Double Hydroxides with Intercalated Permanganate and Peroxydisulphate Anions for Oxidative Removal of Chlorinated Organic Solvents Contaminated Water. Minerals 2020, 10, 462. [Google Scholar] [CrossRef]
- Alonso-de-Linaje, V.; Mangayayam, M.C.; Tobler, D.J.; Dietmann, K.M.; Espinosa, R.; Rives, V.; Dalby, K.N. Sorption of chlorinated hydrocarbons from synthetic and natural groundwater by organo-hydrotalcites: Towards their applications as remediation nanoparticles. Chemosphere 2019, 236, 124369. [Google Scholar] [CrossRef]
- Alonso-de-Linaje, V.; Mangayayam, M.C.; Tobler, D.; Rives, V.; Espinosa, R.; Kim, K.N. Enhanced sorption of perfluorooctane sulfonate and perfluorooctanoate by hydrotalcites. Environm. Techol. Inn. 2021, 21, 101231. [Google Scholar] [CrossRef]
- Misol, A.; Labajos, F.M.; Morato, A.; Rives, V. Synthesis of Zn, Al layered double hydroxides in the presence of amines. Appl. Clay Sci. 2020, 189, 105539. [Google Scholar] [CrossRef]
- Misol, A.; Jiménez, A.; Morato, A.; Labajos, F.M.; Rives, V. Quantification by Powder X-ray Diffraction of Metal Oxides Segregation During Formation of Layered Double Hydroxides. Eur. J. Eng. Technol. Res. 2020, 5, 1243–1248. [Google Scholar]
- Trujillano, R.; Nájera, C.; Rives, V. Activity in the photodegradation of 4-nitrophenol of a Zn, Al hydrotalcite-like solid and the derived alumina-supported ZnO. Catalysts 2020, 10, 702. [Google Scholar] [CrossRef]





Publisher’s Note: MDPI stays neutral with regard to jurisdictional claims in published maps and institutional affiliations. |
© 2022 by the author. Licensee MDPI, Basel, Switzerland. This article is an open access article distributed under the terms and conditions of the Creative Commons Attribution (CC BY) license (https://creativecommons.org/licenses/by/4.0/).
Share and Cite
Trujillano, R. 30 Years of Vicente Rives’ Contribution to Hydrotalcites, Synthesis, Characterization, Applications, and Innovation. ChemEngineering 2022, 6, 60. https://doi.org/10.3390/chemengineering6040060
Trujillano R. 30 Years of Vicente Rives’ Contribution to Hydrotalcites, Synthesis, Characterization, Applications, and Innovation. ChemEngineering. 2022; 6(4):60. https://doi.org/10.3390/chemengineering6040060
Chicago/Turabian StyleTrujillano, Raquel. 2022. "30 Years of Vicente Rives’ Contribution to Hydrotalcites, Synthesis, Characterization, Applications, and Innovation" ChemEngineering 6, no. 4: 60. https://doi.org/10.3390/chemengineering6040060
APA StyleTrujillano, R. (2022). 30 Years of Vicente Rives’ Contribution to Hydrotalcites, Synthesis, Characterization, Applications, and Innovation. ChemEngineering, 6(4), 60. https://doi.org/10.3390/chemengineering6040060