Zulfiqar Frailty Scale (ZFS): Concordance Study with the Clinical Frailty Scale (CFS)
Abstract
1. Introduction
2. Patients and Methods
2.1. Methods
2.2. Primary Objective
2.3. Inclusion Criteria
2.4. Exclusion Criteria
2.5. Data Collected and Analyzed
2.5.1. Frailty Screening with the “Zulfiqar Frailty Scale” (ZFS) Tool
2.5.2. Frailty Screening with the “Clinical Frailty Scale” (CFS)
2.6. Statistical Analysis
2.7. Administrative Elements
3. Results
3.1. Description of the Population
3.2. Performance and Validity of the Zulfiqar Frailty Scale
3.3. Correlation between the CFS and Zulfiqar Frailty Scale
4. Discussion
5. Conclusions
Author Contributions
Funding
Institutional Review Board Statement
Informed Consent Statement
Data Availability Statement
Conflicts of Interest
References
- De 2.8 Millions de Seniors en 1870 en France à 21.9 Millions en 2070? France, Portrait Social|Insee [Internet]. Available online: https://www.insee.fr/fr/statistiques/3645986?sommaire=3646226 (accessed on 3 October 2021).
- Fried, L.P.; Tangen, C.M.; Walston, J.; Newman, A.B.; Hirsch, C.; Gottdiener, J.; Seeman, T.; Tracy, R.; Kop, W.J.; Burke, G.; et al. Cardiovascular Health Study Collaborative Research Group. Frailty in older adults: Evidence for a phenotype. J. Gerontol. A Biol. Sci. Med. Sci. 2001, 56, M146–M156. [Google Scholar] [CrossRef] [PubMed]
- Rockwood, K.; Song, X.; MacKnight, C.; Bergman, H.; Hogan, D.B.; McDowell, I.; Mitnitski, A. A global clinical measure of fitness and frailty in elderly people. CMAJ 2005, 173, 489–495. [Google Scholar] [CrossRef] [PubMed]
- Rockwood, K. What would make a definition of frailty successful? Age Ageing 2005, 34, 432–434. [Google Scholar] [CrossRef] [PubMed]
- Rockwood, K.; Stadnyk, K.; MacKnight, C.; McDowell, I.; Hébert, R.; Hogan, D. A brief clinical instrument to classify frailty in elderly people. Lancet 1999, 353, 205–206. [Google Scholar] [CrossRef]
- Jones, D.; Song, X.; Mitnitski, A.; Rockwood, K. Evaluation of a frailty index based on a comprehensive geriatric assessment in a population-based study of elderly Canadians. Aging Clin. Exp. Res. 2005, 17, 465–471. [Google Scholar] [CrossRef]
- Dent, E.; Kowal, P.; Hoogendijk, E.O. Frailty measurement in research and clinical practice: A review. Eur. J. Intern. Med. 2016, 31, 3–10. [Google Scholar] [CrossRef]
- Zulfiqar, A.A. Creation of a New Frailty Scale in Primary Care: The Zulfiqar Frailty Scale (ZFS). Medicines 2021, 8, 19. [Google Scholar] [CrossRef]
- Zulfiqar, A.A. Validation of the Zulfiqar Frailty Scale (ZFS): A New Tool for General Practitioners. Medicines 2021, 8, 52. [Google Scholar] [CrossRef]
- Zulfiqar, A. Creation of a new frailty scale in primary care: The Zulfiqar frailty scale. Casp. J. Intern. Med. 2022, 13, 425–430. [Google Scholar]
- Rockwood, K.; Abeysundera, M.J.; Mitnitski, A. How should we grade frailty in nursing home patients? J. Am. Med. Dir. Assoc. 2007, 8, 595–603. [Google Scholar] [CrossRef]
- Abraham, P.; Courvoisier, D.S.; Annweiler, C.; Lenoir, C.; Millien, T.; Dalmaz, F.; Flaatten, H.; Moreno, R.; Christensen, S.; de Lange, D.W.; et al. Validation of the clinical frailty score (CFS) in French language. BMC Geriatr. 2019, 19, 322. [Google Scholar] [CrossRef] [PubMed]
- Kaeppeli, T.; Rueegg, M.; Dreher-Hummel, T.; Brabrand, M.; Kabell-Nissen, S.; Carpenter, C.R.; Bingisser, R.; Nickel, C.H. Validation of the clinical frailty scale for prediction of thirty-day mortality in the emergency department. Ann. Emerg. Med. 2020, 76, 291–300. [Google Scholar] [CrossRef] [PubMed]
- Zulfiqar, A.A. Validation of a new frailty scale in primary care: The simplified Zulfiqar frailty scale. Transl. Med. Aging 2021, 5, 39–42. [Google Scholar] [CrossRef]
- Zulfiqar, A.A. Frailty in Primary Care: Validation of the simplified Zulfiqar Frailty Scale (ZFS). Medicines 2021, 8, 51. [Google Scholar] [CrossRef]
- Zulfiqar, A.A.; Dembélé, I. Zulfiqar Frailty Scale: Overview, Stakes, and Possibilities. Medicines 2021, 8, 73. [Google Scholar] [CrossRef]
- Formosa, V.; Lorusso, G.; Lentini, G.; Terracciano, E.; Gentili, S.; Liotta, G. Multidimensional Short Tools to assess frailty: A narrative review. Ann. Ig. 2022, 35, 21–33. [Google Scholar]
- Zulfiqar, A.A. Comment on: Formosa, V.; Lorusso, G.; Lentini, G.; Terracciano, E.; Gentili, S.; Liotta, G. Multidimensional Short Tools to assess frailty: A narrative review. Ann Ig. 2022, 34, 425–427, (Online ahead of print). [Google Scholar]
- Basic, D.; Shanley, C. Frailty in an older inpatient population: Using the clinical frailty scale to predict patient outcomes. J. Aging Health 2015, 27, 670–685. [Google Scholar] [CrossRef]
- Wallis, S.J.; Wall, J.; Biram, R.W.; Romero-Ortuno, R. Association of the clinical frailty scale with hospital outcomes. QJM Int. J. Med. 2015, 108, 943–949. [Google Scholar] [CrossRef]
- Church, S.; Rogers, E.; Rockwood, K.; Theou, O. A scoping review of the Clinical Frailty Scale. BMC Geriatr. 2020, 20, 393. [Google Scholar] [CrossRef]
- Surkan, M.; Rajabali, N.; Bagshaw, S.M.; Wang, X.; Rolfson, D. Interrater Reliability of the Clinical Frailty Scale by Geriatrician and Intensivist in Patients Admitted to the Intensive Care Unit. Can. Geriatr. J. 2020, 23, 235–241. [Google Scholar] [CrossRef] [PubMed]
- Pranata, R.; Henrina, J.; Lim, M.A.; Lawrensia, S.; Yonas, E.; Vania, R.; Huang, I.; Lukito, A.A.; Suastika, K.; Kuswardhani, R.A.T.; et al. Clinical frailty scale and mortality in COVID-19: A systematic review and dose-response meta-analysis. Arch. Gerontol. Geriatr. 2020, 93, 104324. [Google Scholar] [CrossRef] [PubMed]
- Chong, E.; Chan, M.; Tan, H.N.; Lim, W.S. COVID-19: Use of the Clinical Frailty Scale for Critical Care Decisions. J. Am. Geriatr. Soc. 2020, 68, E30–E32. [Google Scholar] [CrossRef]
- Aw, D.; Woodrow, L.; Ogliari, G.; Harwood, R. Association of frailty with mortality in older inpatients with COVID-19: A cohort study. Age Ageing 2020, 49, 915–922. [Google Scholar] [CrossRef]
- Sunaga, A.; Hikoso, S.; Yamada, T.; Yasumura, Y.; Uematsu, M.; Tamaki, S.; Abe, H.; Nakagawa, Y.; Higuchi, Y.; Fuji, H.; et al. Prognostic impact of Clinical Frailty Scale in patients with heart failure with preserved ejection fraction. ESC Heart Fail. 2021, 8, 3316–3326. [Google Scholar] [CrossRef]
- Kanenawa, K.; Isotani, A.; Yamaji, K.; Nakamura, M.; Tanaka, Y.; Hirose-Inui, K.; Fujioka, S.; Mori, S.; Yano, M.; Ito, S.; et al. The impact of frailty according to Clinical Frailty Scale on clinical outcome in patients with heart failure. ESC Heart Fail. 2021, 8, 1552–1561. [Google Scholar] [CrossRef] [PubMed]
- Narula, S.; Lawless, A.; D’Alessandro, P.; Jones, C.W.; Yates, P.; Seymour, H. Clinical Frailty Scale is a good predictor of mortality after proximal femur fracture: A cohort study of 30-day and one-year mortality. Bone Jt. Open 2020, 1, 443–449. [Google Scholar] [CrossRef]
- Theou, O.; Pérez-Zepeda, M.U.; van der Valk, A.M.; Searle, S.D.; Howlett, S.E.; Rockwood, K. A classification tree to assist with routine scoring of the Clinical Frailty Scale. Age Ageing 2021, 50, 1406–1411. [Google Scholar] [CrossRef]
- Jung, H.W.; Jang, I.Y.; Back, J.Y.; Park, S.; Park, C.M.; Han, S.J.; Lee, E. Validity of the Clinical Frailty Scale in Korean older patients at a geriatric clinic. Korean J. Intern. Med. 2021, 36, 1242–1250. [Google Scholar] [CrossRef]
- Kremer, W.M.; Nagel, M.; Reuter, M.; Hilscher, M.; Michel, M.; Kaps, L.; Labenz, J.; Galle, P.R.; Sprinzl, M.F.; Wörns, M.A.; et al. Validation of the Clinical Frailty Scale for the Prediction of Mortality in Patients with Liver Cirrhosis. Clin. Transl. Gastroenterol. 2020, 11, e00211. [Google Scholar] [CrossRef]


| Weight Loss Greater than or Equal to 5% in 6 Months? | Yes | No |
| Monopod support test < 5 s? | Yes | No |
| Living alone? | Yes | No |
| Home caregivers? | Yes | No |
| Memory loss? | Yes | No |
| More than 5 therapeutic classes on his/her prescription history for less than 6 months? | Yes | No |
| Mean (sd) | Median [Q25–75] | Min | Max | ||
|---|---|---|---|---|---|
| Age | 79.1 (3.60) | 79.0 (76.0; 81.0) | 75.0 | 91.0 | 124 |
| Weight kg | 75.4 (15.9) | 74.0 (63.0; 88.2) | 44.0 | 119.0 | 124 |
| BMI kg/m | 26.6 (5.29) | 25.7 (22.8; 30.0) | 17.4 | 43.0 | 124 |
| ADL/6 | 5.65 (0.573) | 6.00 (5.50; 6.00) | 4.00 | 6.00 | 124 |
| IADL/8 | 7.40 (1.01) | 8.00 (7.00; 8.00) | 4.00 | 8.00 | 124 |
| Charlson | 5.67 (1.77) | 5.00 (4.00; 7.00) | 3.00 | 10.0 | 124 |
| Medication | 5.30 (2.31) | 5.00 (4.00; 7.00) | 0 | 13.0 | 124 |
| Zulfiqar Frailty Scale (ZFS) | ||||
|---|---|---|---|---|
| n = 124 | ||||
| Zulfiqar Frailty Scale (ZFS) | ||||
| n (%) | Mean (sd) | |||
| Weight loss? | 17 (14%) | / | ||
| Monopod support test < 5 s? | 64 (52%) | / | ||
| Living alone? | 37 (30%) | / | ||
| Home caregivers? | 30 (24%) | / | ||
| Memory loss? | 29 (23%) | / | ||
| More than 5 therapeutic classes? | 76 (61%) | / | ||
| ZFS score | / | 2 (1.5) | ||
| Duration time, m | / | 141.2 (22.8) | ||
| Frailty (ZFS > = 3/6) | 45 (36%) | |||
| CFS score | 3.4 (1.2) | |||
| Frailty according to CFS (score CFS > 4) | 25 (20%) | |||
| Zulfiqar Frailty Scale (ZFS) | ||||
|---|---|---|---|---|
| Frail, n = 45 | Non-Frail, n = 79 | p-Value | Significativity | |
| Weight loss? | 1.57 × 10−4 | *** | ||
| Yes | 13 (29%) | 4 (5%) | ||
| No | 32 (71%) | 75 (95%) | ||
| Monopod support test < 5 s? | 1.01 × 10−11 | **** | ||
| Yes | 40 (89%) | 24 (30%) | ||
| No | 5 (11%) | 55 (70%) | ||
| Living alone? | 1.80 × 10−3 | ** | ||
| Yes | 21 (47%) | 16 (20%) | ||
| No | 24 (53%) | 63 (80%) | ||
| Home caregivers? | 3.97 × 10−15 | **** | ||
| Yes | 27 (60%) | 3 (4%) | ||
| No | 18 (40%) | 76 (96%) | ||
| Memory loss? | 1.64 × 10−6 | **** | ||
| Yes | 21 (47%) | 8 (10%) | ||
| No | 24 (53%) | 71 (90%) | ||
| More than 5 therapeutic classes? | 6.58 × 10−8 | **** | ||
| Yes | 41 (91%) | 35 (44%) | ||
| No | 4 (9%) | 44 (56%) | ||
| (CFS) | ||||||||
|---|---|---|---|---|---|---|---|---|
| Frail, n = 25 | Not Frail, n = 99 | p-Value | Se | Sp | PPV | NPV | Youden Index | |
| Weight? | 0.31 | |||||||
| Yes | 5 (20%) | 12 (12%) | 20% | 88% | 29% | 90% | 8% | |
| No | 20 (80%) | 87 (88%) | ||||||
| Monopod support test < 5 s? | 2.87 × 10−6 | |||||||
| Yes | 23 (92%) | 41 (41%) | 92% | 59% | 36% | 97% | 51% | |
| No | 2 (8%) | 58 (59%) | ||||||
| Living alone? | 0.794 | |||||||
| Yes | 8 (32%) | 29 (29%) | 32% | 70% | 22% | 80% | 2% | |
| No | 17 (68%) | 70 (70%) | ||||||
| Home caregivers? | 1.23 × 10−11 | |||||||
| Yes | 18 (72%) | 12 (12%) | 72% | 88% | 60% | 93% | 60% | |
| No | 7 (28%) | 87 (88%) | ||||||
| Memory problems? | 0.006 | |||||||
| Yes | 11 (44%) | 18 (18%) | 44% | 81% | 38% | 85% | 25% | |
| No | 14 (56%) | 81 (81%) | ||||||
| More than 5 therapeutic classes on his/her prescription history for less than 6 months? | 3.37 × 10−4 | |||||||
| Yes | 23 (92%) | 53 (54%) | 92% | 46% | 29% | 96% | 38% | |
| No | 2 (8%) | 46 (46%) | ||||||
| Age | Gender | Weight (kg) | Height (cm) | BMI (kg/m) | Charlson Score | Hospitalization < 6 Months | Medication | Fall < 6 Months | |
|---|---|---|---|---|---|---|---|---|---|
| Weight loss | 0.02 | 0.08 | −0.23 | 0.01 | −0.24 | 0.09 | 0.13 | 0.11 | −0.11 |
| Risk of fall | 0.21 | 0.03 | 0.23 | 0.01 | 0.23 | 0.34 | 0.24 | 0.31 | 0.25 |
| Home alone | 0.24 | −0.07 | −0.19 | −0.06 | −0.17 | 0.06 | 0.00 | 0.04 | 0.05 |
| Caregivers | 0.20 | −0.02 | −0.03 | −0.05 | −0.01 | 0.43 | 0.30 | 0.36 | 0.26 |
| Memory loss | 0.24 | −0.04 | −0.06 | 0.16 | −0.08 | 0.24 | 0.17 | 0.29 | 0.12 |
| Medication | 0.10 | 0.07 | 0.08 | 0.01 | 0.10 | 0.44 | 0.26 | 0.76 | 0.03 |
| CFS Frail | CFS Not Frail | |
|---|---|---|
| ZFS frail | 36 | 9 |
| ZFS not frail | 18 | 61 |
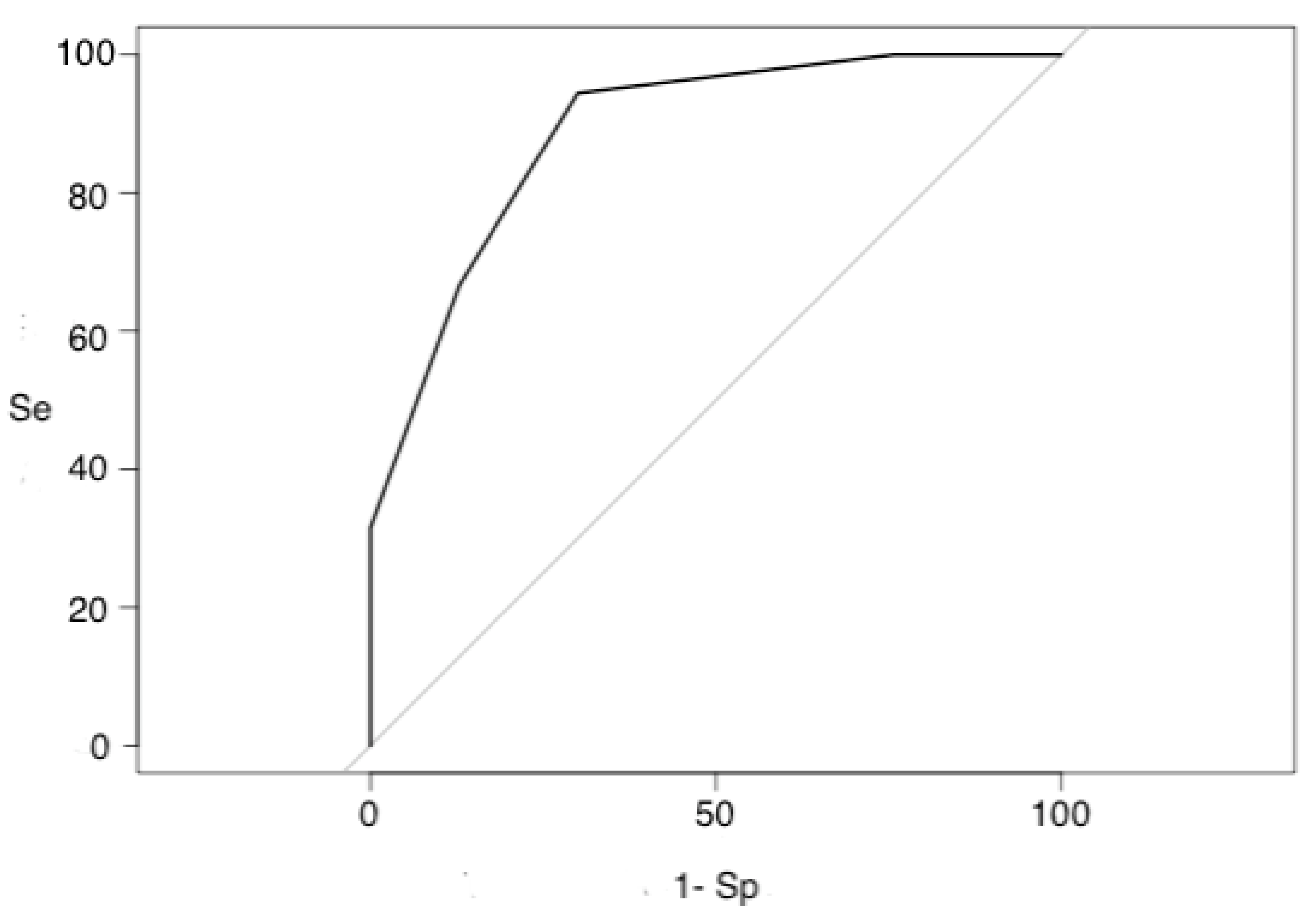
| Threshold | Se | Sp | 1-Sp | Youden | PPV | NPV |
|---|---|---|---|---|---|---|
| 0 | 1 | 0 | 1 | 0% | 44% | / |
| 1 | 1 | 0.24 | 0.76 | 19% | 49% | 85% |
| 2 | 0.94 | 0.70 | 0.30 | 64% | 71% | 94% |
| 3 | 0.66 | 0.87 | 0.13 | 54% | 80% | 77% |
| 4 | 0.31 | 1 | 0 | 31% | 100% | 65% |
| 5 | 0.18 | 1 | 0 | 19% | 100% | 61% |
| 6 | 0.04 | 1 | 0 | 4% | 100% | 57% |
Publisher’s Note: MDPI stays neutral with regard to jurisdictional claims in published maps and institutional affiliations. |
© 2022 by the authors. Licensee MDPI, Basel, Switzerland. This article is an open access article distributed under the terms and conditions of the Creative Commons Attribution (CC BY) license (https://creativecommons.org/licenses/by/4.0/).
Share and Cite
Zulfiqar, A.-A.; Martin, L.; Habchi, P.; Massimbo, D.N.D.; Dembele, I.A.; Andres, E. Zulfiqar Frailty Scale (ZFS): Concordance Study with the Clinical Frailty Scale (CFS). Medicines 2022, 9, 58. https://doi.org/10.3390/medicines9110058
Zulfiqar A-A, Martin L, Habchi P, Massimbo DND, Dembele IA, Andres E. Zulfiqar Frailty Scale (ZFS): Concordance Study with the Clinical Frailty Scale (CFS). Medicines. 2022; 9(11):58. https://doi.org/10.3390/medicines9110058
Chicago/Turabian StyleZulfiqar, Abrar-Ahmad, Léo Martin, Perla Habchi, Delwende Noaga Damien Massimbo, Ibrahima Amadou Dembele, and Emmanuel Andres. 2022. "Zulfiqar Frailty Scale (ZFS): Concordance Study with the Clinical Frailty Scale (CFS)" Medicines 9, no. 11: 58. https://doi.org/10.3390/medicines9110058
APA StyleZulfiqar, A.-A., Martin, L., Habchi, P., Massimbo, D. N. D., Dembele, I. A., & Andres, E. (2022). Zulfiqar Frailty Scale (ZFS): Concordance Study with the Clinical Frailty Scale (CFS). Medicines, 9(11), 58. https://doi.org/10.3390/medicines9110058

