Aromatic Medicinal Plants from Tajikistan (Central Asia)
Abstract
:1. Introduction

2. Tajik Aromatic Medicinal Plants
2.1. Achillea filipendulina Lam., “Yarrow”, “Buimodaron” (Asteraceae)
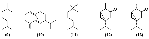
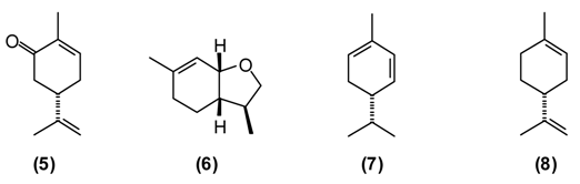
2.2. Anethum graveolens L., “Dill”, “Shibit” (Apiaceae)
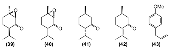
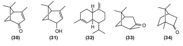
2.3. Artemisia absinthium L., “Wormwood”, “Tkhach” (Asteraceae)
2.4. Artemisia rutifolia Stephan ex Spreng., “Poosh” (Asteraceae)
2.5. Artemisia scoparia Waldst & Kit., “Joroob” (Asteraceae)
2.6. Bunium persicum B. Fedtsch., “Black Cumin”, “Zira” (Apiaceae)
2.7. Galagania fragrantissima Lypsky, “Shnk”, “Shibite” (Apiaceae)
2.8. Hypericum perforatum L., “St. John’s Wort”, “Choykah” (Hypericaceae)
2.9. Hypericum scabrum L., “Choykah” (Hypericaceae)
2.10. Hyssopus seravschanicus Pazij, “Hyssop”, “Ushnondoru” (Lamiaceae)
2.11. Melissa officinalis L., “Lemon Balm”, “Niyozbuy” (Lamiaceae)
2.12. Mentha longifolia (L.) Huds., “Wild Mint”, “Hulba, Pudina” (Lamiaceae)
2.13. Ocimum basilicum L., “Basil”, “Rayhon” (Lamiaceae)
2.14. Origanum tyttanthum Gontsch. “Kokuti”, “Sebinak” (Lamiaceae)
2.15. Pelargonium graveolens L'Hér. “Rose-Scented Geranium”, “Anjibar” (Geraniaceae)
2.16. Salvia sclarea L. “Clary Sage”, “Marmarak” (Lamiaceae)
2.17. Tanacetum parthenium L. Schultz-Bip., “Feverfew”, “Bobunai Govi” (Asteraceae)
2.18. Ziziphora clinopodioides Lam. “Blue Mint”, “Jamilak” (Lamiaceae)
3. Conclusions
Acknowledgments
Author Contributions
Conflicts of Interest
References
- Wink, M.; van Wyk, B.E. Mind-Altering and Poisonous Plants of the World; BRIZA: Pretoria, South Africa; American Edition with Timber Press: Portland, OR, USA, 2008. [Google Scholar]
- Van Wyk, B.E.; Wink, M. Medicinal Plants of the World; Timber Press: Portland, OR, USA, 2004. [Google Scholar]
- Rahmonov, O.; Majgier, L.; Andrejczuk, W.; Banaszek, J.; Karkosz, D.; Parusel, T.; Szymczyk, A. Landscape diversity and biodiversity of Fann Mountains (Tajikistan). Ekológia (Bratislava) 2013, 32, 388–395. [Google Scholar]
- Nowak, A.; Nowak, S.; Nobis, M.; Nobis, A. Vegetation of rock clefts and ledges in the Pamir Alai Mts, Tajikistan (Middle Asia). Cent. Eur. J. Biol. 2014, 9, 444–460. [Google Scholar] [CrossRef]
- Vanselow, K.A. The High-Mountain Pastures of the Eastern Pamirs (Tajikistan). An Evaluation of the Ecological Basis and the Pasture Potential. Ph.D. Thesis, Universität Erlangen-Nürnberg, Erlangen, Germany, 2011. [Google Scholar]
- Eisenman, S.W.; Zaurov, D.E.; Struwe, L. Medicinal Plants of Central Asia: Uzbekistan and Kyrgyzstan; Springer: New York, NY, USA; Heidelberg, Germany; Dordrecht, The Netherlands; London, UK, 2013. [Google Scholar]
- Nuraliev, Y.N. Phytotherapy in Tajik traditional medicine and its perspective for modern medicine. In The Problems of Phytotherapy and Phytopharmacology; IRFON: Dushanbe, Tajikistan, 2008. [Google Scholar]
- Wink, M. Evolutionary advantage and molecular modes of action of multi-component mixtures used in phytomedicine. Curr. Drug Metabol. 2008, 9, 996–1009. [Google Scholar] [CrossRef]
- Kholnazarov, B.M. Razrabotka i issledovanie mazi iz efirnogo masla dushizi melkozvetkovoy na osnove bentonita (Investigation of Ointment of Oregano Oil on the Base of Bentonite). Ph.D. Thesis, Sechenov Moscow Medicinal Academy, Moscow, Russia, 2004. [Google Scholar]
- Mabberley, D.J. Mabberley’s Plant Book, 3rd ed.; Cambridge University Press: Cambridge, UK, 2008; p. 7. [Google Scholar]
- Hojimatov, M. Dikorastushie lekarstvennie rasteniya Tadjikistana; Tajik Soviet Encyclopedia: Dushanbe, Tajikistan, 1989; p. 368. [Google Scholar]
- Kurbanov, B. Lekarstvennie rasteniya—Pomoshnik cheloveka; IRFON: Dushanbe, Tajikistan, 1992; p. 67. [Google Scholar]
- Williams, K. Medicinal plants in Tajikistan: An alternative livelihood option. In Proceedings of the X International People-Plant Symposium on Digging Deeper: Approaches to Research in Horticultural Therapy and Therapeutic Horticulture, Truro, NS, Canada, 5–8 August 2010. Acta Horticulturae 2012, 954, 109–116. [Google Scholar]
- Nuraliev, Y.N. Lekarstvennie Rasteniya; Maorif: Dushanbe, Tajikistan, 1989; p. 288. [Google Scholar]
- Kiyanpour, V.; Fakhari, A.; Asghari, B.; Yousefzadi, M. Chemical composition and antibacterial activity of the essential oil of Achillea filipendulina (Asteraceae). Planta Med. 2011, 77, PE49. [Google Scholar] [CrossRef]
- Sharopov, F.S.; Setzer, W.N. Composition of the essential oil of Achillea filipendulina Lam. from Tajikistan. Der Pharm. Chem. 2010, 2, 134–138. [Google Scholar]
- Harris, B. Phytotherapeutic uses of essential oils. In Handbook of Essential Oils: Science, Technology, and Applications; Baser, H.K.C., Buchbauer, G., Eds.; CRC Press: Boca Raton, FL, USA, 2010; pp. 315–351. [Google Scholar]
- Valant-Vetschera, K.M.; Wollenweber, E. Comparative analysis of leaf exudate flavonoids in Achillea subsect. Filipendulinae. Biochem. System. Ecol. 1996, 24, 435–446. [Google Scholar] [CrossRef]
- Ono, K.; Nakane, H.; Fukushima, M.; Chermann, J.C.; Barré-Sinoussi, F. Differential inhibitory effects of various flavonoids on the activities of reverse transiptase and cellular DNA and RNA polymerases. Eur. J. Biochem. 1990, 190, 469–476. [Google Scholar] [CrossRef] [PubMed]
- Farnet, C.M.; Wang, B.; Lipford, J.R.; Bushman, F.D. Differential inhibition of HIV-1 preintegration complexes and purified integrase protein by small molecules. Proc. Natl. Acad. Sci. USA 1996, 93, 9742–9747. [Google Scholar] [CrossRef] [PubMed]
- Beutler, J.A.; Cardellina, J.H.; Lin, C.M.; Hamel, E.; Cragg, G.M.; Boyd, M.R. Centaureidin, a cytotoxic flavone from Polymnia fruticosa, inhibits tubulin polymerization. Bioorg. Med. Chem. Lett. 1993, 3, 581–584. [Google Scholar] [CrossRef]
- Sharopov, F.S.; Wink, M.; Gulmurodov, I.S.; Isupov, S.J.; Zhang, H.; Setzer, W.N. Composition and bioactivity of the essential oil of Anethum graveolens L. from Tajikistan. Int. J. Med. Aromat. Plants 2013, 3, 125–130. [Google Scholar]
- Yu, Z.; Wang, W.; Xu, L.; Dong, J.; Jing, Y. d-Limonene and d-carvone induce apoptosis in HL-60 cells through activation of caspase-8. Asian J. Tradit. Med. 2008, 3, 134–143. [Google Scholar]
- Jäger, W. Metabolism of terpenoids in animal models and humans. In Handbook of Essential Oils: Science, Technology, and Applications; Baser, H.K.C., Buchbauer, G., Eds.; CRC Press: Boca Raton, FL, USA, 2010; pp. 209–234. [Google Scholar]
- Pelkonen, O.; Abass, K.; Wiesner, J. Thujone and thujone-containing herbal medicinal and botanical products: Toxicological assessment. Regul. Toxicol. Pharmacol. 2013, 65, 100–107. [Google Scholar] [CrossRef] [PubMed]
- Sharopov, F.S.; Sulaimonova, V.A.; Setzer, W.N. Composition of the essential oil of Artemisia absinthium from Tajikistan. Rec. Nat. Prod. 2012, 6, 127–134. [Google Scholar]
- Sharopov, F.S.; Setzer, W.N. Thujone-rich essential oils of Artemisia rutifolia Stephan ex Spreng. growing wild in Tajikistan. J. Essent. Oil Bear. Plants 2011, 14, 136–139. [Google Scholar] [CrossRef]
- Deiml, T.; Haseneder, R.; Zieglgansberger, W.; Rammes, G.; Eisensamer, B.; Rupprecht, R.; Hapfelmeier, G. α-Thujone reduces 5-HT3 receptor activity by an effect on the agonist-induced desensitization. Neuropharmacology 2004, 46, 192–201. [Google Scholar] [CrossRef] [PubMed]
- Jakupovic, J.; Tan, R.X.; Bohlmann, F.; Jia, Z.J.; Huneck, S. Sesquiterpene lactones from Artemisia rutifolia. Phytochemistry 1991, 30, 1714–1716. [Google Scholar] [CrossRef]
- Tan, R.X.; Jia, Z.J.; Jakupovic, J.; Bohlmann, F.; Huneck, S. Sesquiterpene lactones from Artemisia rutifolia. Phytochemistry 1991, 30, 3033–3035. [Google Scholar] [CrossRef]
- Tan, R.X.; Jia, Z.J. Sesquiterpenes from Artemisia rutifolia. Phytochemistry 1992, 31, 2534–2536. [Google Scholar] [CrossRef]
- Simonsen, H.T.; Weitzel, C.; Christensen, S.B. Guaianolide sesquiterpenoids: Pharmacology and biosynthesis. In Natural Products; Ramawat, K.G., Méreillon, J.M., Eds.; Springer: Berlin, Germany, 2013; pp. 3069–3098. [Google Scholar]
- Maries, R.J.; Pazos-Sanou, L.; Compadre, C.M.; Pezzuto, J.M.; Bloszyk, E.; Arnason, J.T. Sesquiterpene lactones revisited. Rec. Adv. Phytochem. 1995, 29, 333–356. [Google Scholar]
- Sharopov, F.S.; Setzer, W.N. The essential oil of Artemesia scoparia from Tajikistan is dominated by phenylacetylenes. Nat. Prod. Commun. 2011, 6, 119–122. [Google Scholar] [PubMed]
- Christensen, L.P.; Brandt, K. Bioactive polyacetylenes in food plants of the Apiaceae family: Occurrence, bioactivity and analysis. J. Pharm. Biomed. Anal. 2006, 41, 683–693. [Google Scholar] [CrossRef] [PubMed]
- Silva, A.C.R.D.; Lopes, P.M.; Azevedo, M.M.B.D.; Costa, D.C.M.; Alviano, C.S.; Alviano, D.S. Biological activities of α-pinene and β-pinene enantiomers. Molecules 2012, 17, 6305–6316. [Google Scholar] [CrossRef] [PubMed]
- Sakhobiddinov, S.S. Dikorastushie lekarstvennie rasteniya Sredney Azii. Gosizdat UzSSR, Tashkent 1948, 215, 1437. [Google Scholar]
- Jalilzadeh-Amin, G.; Maham, M.; Dalir-Naghadeh, B.; Kheiri, F. Effects of Bunium persicum (Boiss.) essential oil on the contractile responses of smooth muscle (an in vitro study). Vet. Res. Forum 2011, 2, 87–97. [Google Scholar]
- Céspedes, C.L. Antioxidant and biocidal activities from natural sources: An overview. In Natural Antioxidants and Biocides from Wild Medicinal Plants; Céspedes, C.L., Sampietro, D.A., Seigler, D.S., Rai, M., Eds.; Cabi Publishing: Wallingford, Oxfordshire, UK, 2013; pp. 1–10. [Google Scholar]
- Reichling, J. Plant–microbe interactions and secondary metabolites with antibacterial, antifungal and antiviral properties. In Annual Plant Reviews: Functions and Biotechnology of Plant Secondary Metabolites; Wink, M., Ed.; Wiley-Blackwell: Chichester, West Sussex, UK, 2010; pp. 214–346. [Google Scholar]
- Helander, I.M.; Alakomi, H.L.; Latva-Kala, K.; Mattila-Sandholm, T.; Pol, I.; Smid, E.J.; Gorris, L.G.M.; von Wright, A. Characterization of the action of selected essential oil components on Gram-negative bacteria. J. Agric. Food Chem. 1998, 46, 3590–3595. [Google Scholar] [CrossRef]
- Cantore, P.L.; Shanmugaiah, V.; Iacobellis, N.S. Antibacterial activity of essential oil components and their potential use in seed disinfection. J. Agric. Food Chem. 2009, 57, 9454–9461. [Google Scholar] [CrossRef] [PubMed]
- Sekine, T.; Sugano, M.; Majid, A.; Fujii, Y. Antifungal effects of volatile compounds from black zira (Bunium persicum) and other spices and herbs. J. Chem. Ecol. 2007, 33, 2123–2132. [Google Scholar] [CrossRef] [PubMed]
- Dudchenko, L.G.; Kozyakov, A.S.; Krivenko, V.V. Priyno-aromaticheskie i pryano-vkusovie rasteniya; Naukova dumka: Kiev, Ukraine, 1989; p. 304. [Google Scholar]
- Sharopov, F.S.; Wink, M.; Khalifaev, D.R.; Zhang, H.; Dosoky, N.S.; Setzer, W.N. Chemical composition and antiproliferative activity of the essential oil of Galagania fragrantissima Lipsky (Apiaceae). Am. J. Essent. Oil Nat. Prod. 2013, 1, 11–13. [Google Scholar]
- Rodríguez-Landa, J.F.; Contreras, C.M. A review of clinical and experimental observations about antidepressant actions and side effects produced by Hypericum perforatum extracts. Phytomedicine 2003, 10, 688–699. [Google Scholar] [CrossRef] [PubMed]
- Mennini, T.; Gobbi, M. The antidepressant mechanism of Hypericum perforatum. Life Sci. 2004, 75, 1021–1027. [Google Scholar] [CrossRef] [PubMed]
- Butterweck, V.; Petereit, F.; Winterhoff, H.; Nahrstedt, A. Solubilized hypericin and pseudohypericin from Hypericum perforatum exert antidepressant activity in the forced swimming test. Planta Med. 1998, 64, 291–294. [Google Scholar] [PubMed]
- Müller, W.E.; Singer, A.; Wonnemann, M. Hyperforin—Antidepressant activity by a novel mechanism of action. Pharmacopsychiatry 2001, 34, 98–102. [Google Scholar] [CrossRef]
- Bruneton, J. Pharmacognosy, Phytochemistry, Medicinal Plants, 2nd ed.; Lavoisier: Paris, France, 1999; pp. 439–444. [Google Scholar]
- Yesilada, E.; Honda, G.; Sezik, E.; Tabata, M.; Fujita, T.; Tanaka, T.; Takeda, Y.; Takaishi, Y. Traditional medicine in Turkey. V. Folk medicine in the inner Taurus Mountains. J. Ethnopharmacol. 1995, 46, 133–152. [Google Scholar] [CrossRef] [PubMed]
- Süntar, I.P.; Akkol, E.K.; Yılmazer, D.; Baykal, T.; Kırmızıbekmez, H.; Alper, M.; Yeşilada, E. Investigations on the in vivo wound healing potential of Hypericum perforatum L. J. Ethnopharmacol. 2010, 127, 468–477. [Google Scholar] [CrossRef] [PubMed]
- Dost, T.; Ozkayran, H.; Gokalp, F.; Yenisey, C.; Birincioglu, M. The effect of Hypericum perforatum (St. John’s wort) on experimental colitis in rat. Dig. Dis. Sci. 2009, 54, 1214–1221. [Google Scholar] [CrossRef] [PubMed]
- Mozaffari, S.; Esmaily, H.; Rahimi, R.; Baeeri, M.; Sanei, Y.; Asadi-Shahmirzadi, A.; Salehi-Sumaghi, M.H.; Abdollahi, M. Effects of Hypericum perforatum extract on rat irritable bowel syndrome. Pharmacogn. Mag. 2011, 7, 213–223. [Google Scholar] [CrossRef] [PubMed]
- Sharopov, F.S.; Gulmurodov, I.S.; Setzer, W.N. Essential oil composition of Hypericum perforatum L. and Hypericum scabrum L. growing wild in Tajikistan. J. Chem. Pharm. Res. 2010, 2, 284–290. [Google Scholar]
- Schmidt, J.M.; Noletto, J.A.; Vogler, B.; Setzer, W.N. Abaco bush medicine: Chemical composition of the essential oils of four aromatic medicinal plants from Abaco Island, Bahamas. J. Herbs Spices Med. Plants 2006, 12, 43–65. [Google Scholar] [CrossRef]
- Legault, J.; Pichette, A. Potentiating effect of β-caryophyllene on anticancer activity of α-humulene, isocaryophyllene and paclitaxel. J. Pharm. Pharmacol. 2007, 59, 1643–1647. [Google Scholar] [CrossRef] [PubMed]
- Kızıl, G.; Toger, Z.; Özen, H.Ç.; Aytekin, Ç. The antimicrobial activity of essential oils of Hypericum scabrum, Hypericum scabroides and Hypericum triquetrifolium. Phytother. Res. 2004, 18, 339–341. [Google Scholar] [CrossRef] [PubMed]
- Erdoğrul, Ö.; Azirak, S.; Tosyali, C. Antimicrobial activities of Hypericum scabrum L. extracts. KSU J. Sci. Eng. 2004, 7, 38–42. [Google Scholar]
- Rufino, A.T.; Ribeiro, M.; Judas, F.; Salgueiro, L.; Lopes, M.C.; Cavaleiro, C.; Mendes, A.F. Anti-inflammatory and chondroprotective activity of (+)-α-pinene: Structural and enantiomeric selectivity. J. Nat. Prod. 2014, 77, 264–269. [Google Scholar] [CrossRef] [PubMed]
- Ibn Sina, A.A. The Canon of Medicine (Канон врачебной науки); Academy of Sciences UzSSR: Tashkent, Uzbekistan, 1982; Volume 2. [Google Scholar]
- Sharopov, F.S.; Kukaniev, M.A.; Thompson, R.M.; Satyal, P.; Setzer, W.N. Composition and antimicrobial activity of the essential oil of Hyssopus seravschanicus growing wild in Tajikistan. Der Pharm. Chem. 2012, 4, 961–966. [Google Scholar]
- Kizil, S.; Toncer, O.; Ipek, A.; Arslan, N.; Saglam, S.; Khawar, K.M. Blooming stages of Turkish hyssop (Hyssopus officinalis L.) affect essential oil composition. Acta Agric. Scand. B 2008, 58, 273–279. [Google Scholar]
- Cvijovic, M.; Djukic, D.; Mandic, L.; Acamovic-Djokovic, G.; Pesakovic, M. Composition and antimicrobial activity of essential oils of some medicinal and spice plants. Chem. Nat. Comp. 2010, 46, 481–483. [Google Scholar] [CrossRef]
- Moradkhani, H.; Sargsyan, E.; Bibak, H.; Naseri, B.; Sadat-Hosseini, M.; Fayazi-Barjin, A.; Meftahizade, H. Mellisa officinalis L., a valuable medicinal plant: A review. J. Med. Plants Res. 2010, 4, 2753–2759. [Google Scholar]
- Setzer, W.N. Essential oils and anxiolytic aromatherapy. Nat. Prod. Commun. 2009, 4, 1305–1316. [Google Scholar] [PubMed]
- Sorensen, J.M. Melissa officinalis. Int. J. Aromather. 2000, 10, 7–15. [Google Scholar] [CrossRef]
- Sharopov, F.S.; Wink, M.; Khalifaev, D.R.; Zhang, H.; Dosoky, N.S.; Setzer, W.N. Composition and bioactivity of the essential oil of Melissa officinalis L. growing wild in Tajikistan. Int. J. Tradit. Nat. Med. 2013, 2, 86–96. [Google Scholar]
- Wright, B.S.; Bansal, A.; Moriarity, D.M.; Takaku, S.; Setzer, W.N. Cytotoxic leaf essential oils from Neotropical Lauraceae: Synergistic effects of essential oil components. Nat. Prod. Commun. 2007, 2, 1241–1244. [Google Scholar]
- Sadraei, H.; Ghannadi, A.; Malekshahi, K. Relaxant effect of essential oil of Melissa officinalis and citral on rat ileum contractions. Fitoterapia 2003, 74, 445–452. [Google Scholar] [CrossRef] [PubMed]
- Azarmi, Y.A.; Atefeh, M.; Hossein, B. Role of endothelium on relaxant effect of geraniol in isolated rat aorta. Pharmaceut. Sci. 2009, 14, 311–319. [Google Scholar]
- Makhlayuk, V.P. Lekarstvennie rasteniya v Narodnoy Medicine (Medicinal Plants in Folk Medicine); Privoljskoe Knijnoe Izdatelstvo: Saratov, Russia, 1967; p. 559. [Google Scholar]
- Sharopov, F.S.; Sulaimonova, V.A.; Setzer, W.N. Essential oil composition of Mentha longifolia from wild populations growing in Tajikistan. J. Med. Active Plants 2012, 1, 74–84. [Google Scholar]
- Viljoen, A.M.; Petkar, S.; van Vuuren, S.F.; Figueiredo, A.C.; Pedro, L.G.; Barroso, J.G. The chemo-geographical variation in essential oil composition and the antimicrobial properties of “wild mint”—Mentha longifolia subsp. polyadena (Lamiaceae) in southern Africa. J. Essent. Oil Res. 2006, 18, 60–65. [Google Scholar] [CrossRef]
- Lachance, S.; Grange, G. Repellent effectiveness of seven plant essential oils, sunflower oil and natural insecticides against horn flies on pastured dairy cows and heifers. Med. Vet. Entomol. 2014, 28, 193–200. [Google Scholar] [CrossRef] [PubMed]
- Amer, A.; Mehlhorn, H. Repellency effect of forty-one essential oils against Aedes, Anopheles, and Culex mosquitoes. Parasitol. Res. 2006, 99, 478–490. [Google Scholar] [CrossRef] [PubMed]
- López, M.D.; Jordán, M.J.; Pascual-Villalobos, M.J. Toxic compounds in essential oils of coriander, caraway and basil active against stored rice pests. J. Stored Prod. Res. 2008, 44, 273–278. [Google Scholar] [CrossRef]
- Moretti, M.D.L.; Peana, A.T.; Satta, M. A study on anti-inflammatory and peripheral analgesic action of Salvia sclarea oil and its main components. J. Essent. Oil Res. 1997, 9, 199–204. [Google Scholar] [CrossRef]
- Bassolé, I.H.N.; Lamien-Meda, A.; Bayala, B.; Tirogo, S.; Franz, C.; Novak, J.; Nebié, R.C.; Dicko, M.H. Composition and antimicrobial activities of Lippia multiflora Moldenke, Mentha x piperita L. and Ocimum basilicum L. essential oils and their major monoterpene alcohols alone and in combination. Molecules 2010, 15, 7825–7839. [Google Scholar] [CrossRef] [PubMed]
- Chiang, L.C.; Ng, L.T.; Cheng, P.W.; Chiang, W.; Lin, C.C. Antiviral activities of extracts and selected pure constituents of Ocimum basilicum. Clin. Exp. Pharmacol. Physiol. 2005, 32, 811–816. [Google Scholar] [CrossRef] [PubMed]
- Denisenko, P.P.; Nuraliev, Y.N.; Zubaidova, T.M. Pharmacology of herb Origanum tyttanthum. In The Problems of Phytotherapy and Phytopharmacology; Nuraliev, Y.N., Ed.; IRFON: Dushanbe, Tajikistan, 2008; pp. 32–38. [Google Scholar]
- Jurbi, O.B. Lekarstvennie rasteniya SSSR; Planet: Moscow, Russia, 1988; pp. 78–82. [Google Scholar]
- Sharopov, F.S.; Kukaniev, M.A.; Setzer, W.N. Composition of the essential oil of Origanum tyttanthum from Tajikistan. Nat. Prod. Commun. 2011, 6, 1719–1722. [Google Scholar] [PubMed]
- Wink, M. Biochemistry, physiology and ecological functions of secondary metabolites. In Annual Plant Reviews, Vol. 40. Biochemistry of Plant Secondary Metabolism, 2nd ed.; Wink, M., Ed.; Wiley-Blackwell: Hoboken, NJ, USA, 2010; pp. 1–19. [Google Scholar]
- Baričevič, D.; Bartol, T. The biological/pharmacological activity of the Origanum genus. In Oregano. The Genera Origanum and Lippia; Kintzios, S.E., Ed.; Taylor & Francis: New York, NY, USA, 2002; pp. 177–213. [Google Scholar]
- Zhang, H. A Gas-Chromatographic/Mass Spectral Analysis of Aromatic Medicinal Plants from Tajikistan. Master’s Thesis, University of Alabama in Huntsville, Huntsville, AL, USA, 2013. [Google Scholar]
- Sharopov, F.S.; Zhang, H.; Setzer, W.N. Composition of geranium (Pelargonium graveolens) essential oil from Tajikistan. Am. J. Essent. Oil Nat. Prod. 2014, 2, 13–16. [Google Scholar]
- Sharopov, F.S.; Setzer, W.N. The essential oil of Salvia sclarea L. from Tajikistan. Rec. Nat. Prod. 2012, 6, 75–79. [Google Scholar]
- Heptinstall, S.; Awang, D.V.C.; Dawson, B.A.; Kindack, D.; Knight, D.W.; May, J. Parthenolide content and bioactivity of feverfew (Tanacetum parthenium (L.) Schultz-Bip.). Estimation of commercial and authenticated feverfew products. J. Pharm. Pharmacol. 1992, 44, 391–395. [Google Scholar] [CrossRef] [PubMed]
- Williams, C.A.; Hoult, J.R.S.; Harborne, J.B.; Greenham, J.; Eagles, J. A biologically active lipophilic flavonol from Tanacetum parthenium. Phytochemistry 1995, 38, 267–270. [Google Scholar] [CrossRef] [PubMed]
- Sharopov, F.S.; Setzer, W.N.; Isupov, S.J.; Wink, M. Composition and bioactivity of the essential oil of Tanacetum parthenium from a wild population growing in Tajikistan. Am. J. Essent. Oils Nat. Prod. 2015, in press. [Google Scholar]
- Sharopov, F.S.; Setzer, W.N. Chemical diversity of Ziziphora clinopodioides: Composition of the essential oil of Z. clinopodioides from Tajikistan. Nat. Prod. Commun. 2011, 6, 695–698. [Google Scholar] [PubMed]
- Primo, V.; Rovera, M.; Zanon, S.; Oliva, M.; Demo, M.; Daghero, J.; Sabini, L. Determinación de la actividad antibacteriana y antiviral del aceite esencial de Minthostachys verticillata (Griseb.) Epling. Rev. Argent. Microbiol. 2001, 33, 113–117. [Google Scholar] [PubMed]
© 2015 by the authors; licensee MDPI, Basel, Switzerland. This article is an open access article distributed under the terms and conditions of the Creative Commons Attribution license (http://creativecommons.org/licenses/by/4.0/).
Share and Cite
Sharopov, F.S.; Zhang, H.; Wink, M.; Setzer, W.N. Aromatic Medicinal Plants from Tajikistan (Central Asia). Medicines 2015, 2, 28-46. https://doi.org/10.3390/medicines2010028
Sharopov FS, Zhang H, Wink M, Setzer WN. Aromatic Medicinal Plants from Tajikistan (Central Asia). Medicines. 2015; 2(1):28-46. https://doi.org/10.3390/medicines2010028
Chicago/Turabian StyleSharopov, Farukh S., Hanjing Zhang, Michael Wink, and William N. Setzer. 2015. "Aromatic Medicinal Plants from Tajikistan (Central Asia)" Medicines 2, no. 1: 28-46. https://doi.org/10.3390/medicines2010028
APA StyleSharopov, F. S., Zhang, H., Wink, M., & Setzer, W. N. (2015). Aromatic Medicinal Plants from Tajikistan (Central Asia). Medicines, 2(1), 28-46. https://doi.org/10.3390/medicines2010028

