Ecological Risk Assessment of Amoxicillin, Enrofloxacin, and Neomycin: Are Their Current Levels in the Freshwater Environment Safe?
Abstract
:1. Introduction
2. Materials and Methods
2.1. Test Chemicals
2.2. Test Organisms and Maintenance
2.3. Toxicity Tests
2.4. Hazard Quotient Calculation
2.5. Statistical Analysis
3. Results and Discussion
3.1. Acute and Chronic Toxicity of the Tested Pharmaceuticals
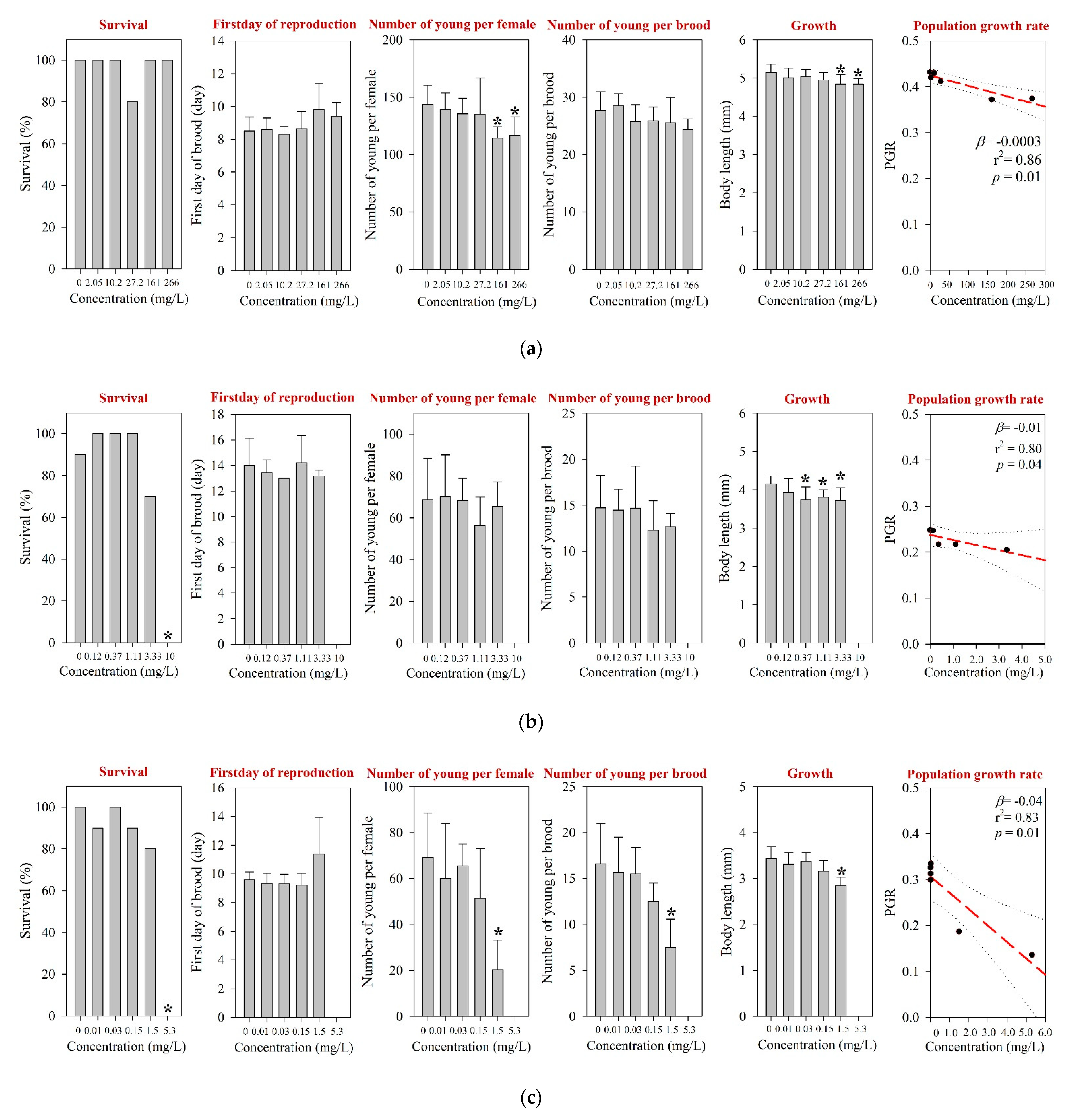
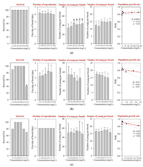
3.1.1. Amoxicillin
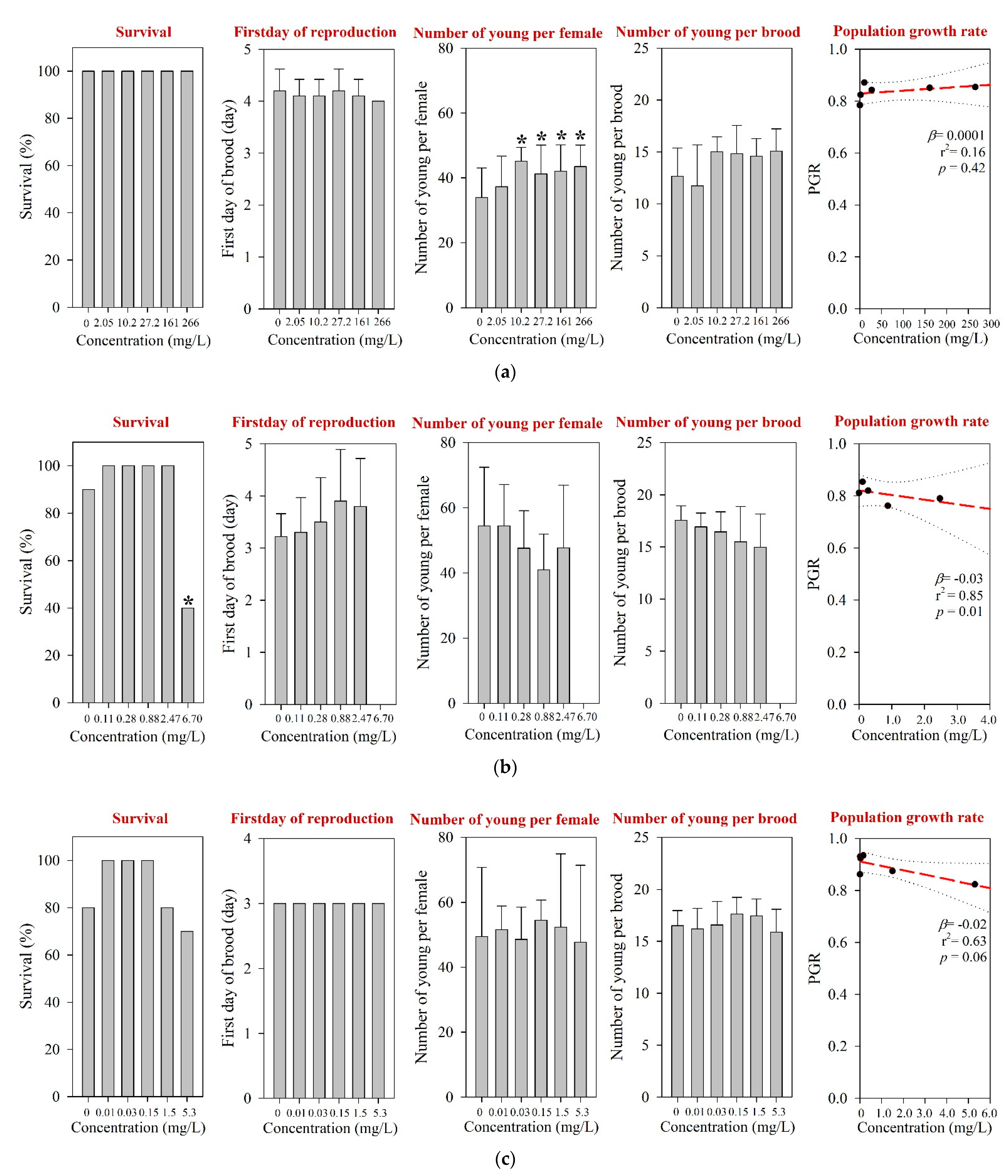
3.1.2. Enrofloxacin
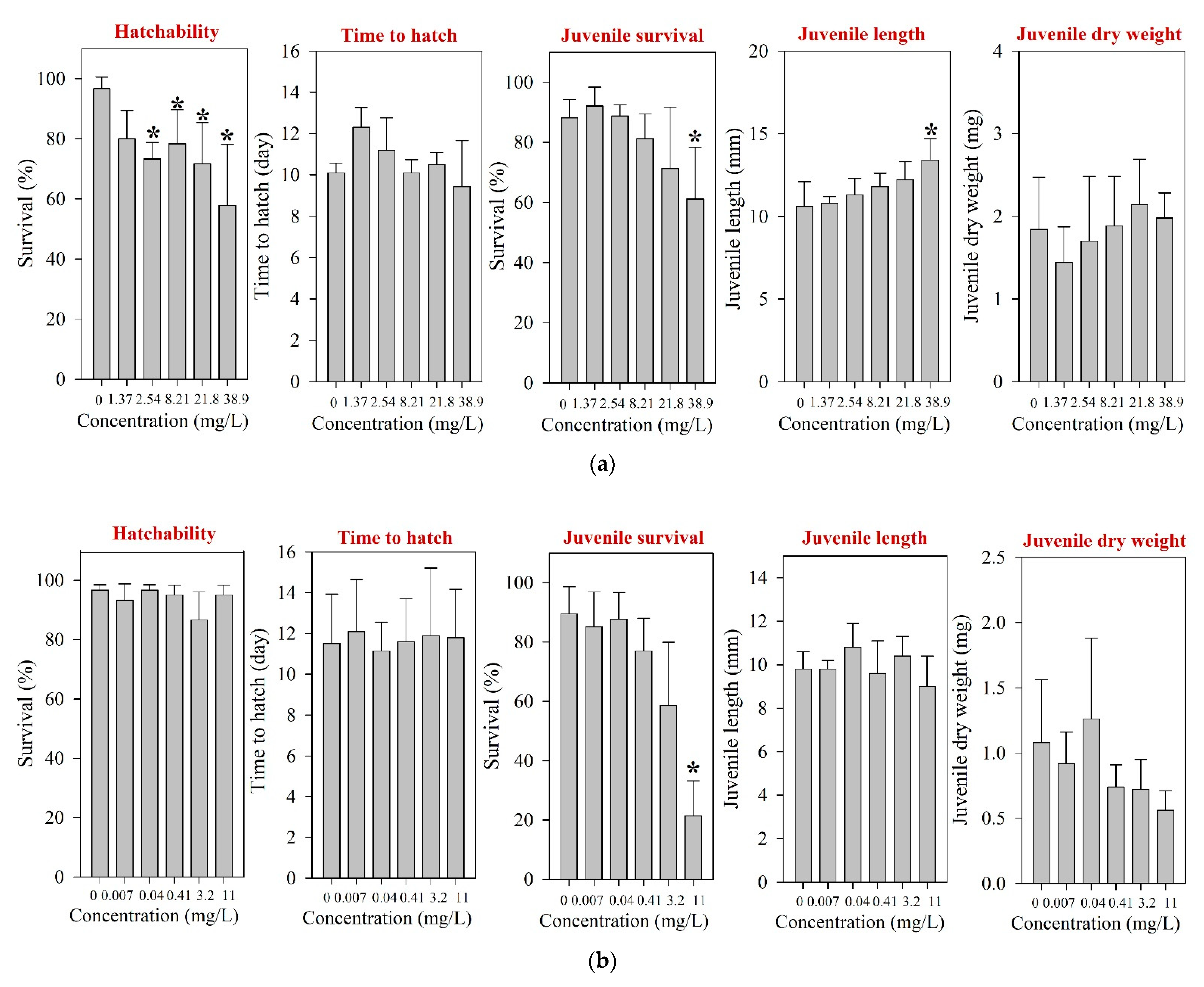
3.1.3. Neomycin
| Pharmaceuticals/ Taxonomic Group | Species | Test Duration /Endpoint | Concentration (mg/L) | Reference |
|---|---|---|---|---|
| Amoxicillin | ||||
| Bacteria | Vibrio fischeri | 5 min, IC50 | 1320.0 | Park and Choi [12] |
| Bacteria | Vibrio fischeri | 15 min, IC50 | 3597.0 | Park and Choi [12] |
| Algae | Microcystis aeruginosa | 7 d, EC50 | 0.0037 | Lützhøft et al. [40] |
| Algae | Microcystis aeruginosa | 7 d, EC50 | 0.00803 | Liu et al. [1] |
| Algae | Pseudokirchneriella subcapitata | 7 d, NOEC | 250 | Lützhøft et al. [40] |
| Algae | Pseudokirchneriella subcapitata | 72 h, EC10 | 4.75 | This study |
| Algae | Pseudokirchneriella subcapitata | 72 h, EC50 | 213.14 | This study |
| Algae | Pseudokirchneriella subcapitata | 72 h, EC50 | >1500 | González-Pleiter et al. [38] |
| Algae | Rhodomonas salina | 7 d, EC50 | 3108 | Lützhøft et al. [40] |
| Algae | Synechococcus leopoliensis | 96 h, EC50 | 0.00222 | Andreozzi et al. [19] |
| Algae | Synechococcus leopoliensis | 96 h, NOEC | 0.00078 | Andreozzi et al. [19] |
| Algae | Synechococcus leopoliensis | 96 h, LOEC | 0.00156 | Andreozzi et al. [19] |
| Aquatic plant | Lemna gibba | 7 d, EC10 | >1 | Brain et al. [54] |
| Invertebrate | Daphnia Magna | 48 h, EC50 | >1000 | Park and Choi [12] |
| Invertebrate | Daphnia Magna | 48 h, EC50 | >1000 | This study |
| Invertebrate | Daphnia Magna | 21 d, survival NOEC | >266 | This study |
| Invertebrate | Daphnia Magna | 21 d, reproduction NOEC | 27.2 | This study |
| Invertebrate | Daphnia Magna | 21 d, growth NOEC | 27.2 | This study |
| Invertebrate | Moina macrocopa | 48 h, EC50 | >1000 | Park and Choi [12] |
| Invertebrate | Moina macrocopa | 48 h, EC50 | >1000 | This study |
| Invertebrate | Moina macrocopa | 7 d, survival NOEC | >266 | This study |
| Invertebrate | Moina macrocopa | 7 d, reproduction NOEC | 2.05 | This study |
| Fish | Danio rerio | 48 h, EC50 premature hatching | 132.4 | Oliveira et al. [42] |
| Fish | Danio rerio | 96 h, LC50 embryo, adult | >100 | Oliveira et al. [42] |
| Fish | Oryzias latipes | 96 h, LC50 | >1000 | Park and Choi [12] |
| Fish | Oryzias latipes | Hatchability NOEC | 1.37 | This study |
| Fish | Oryzias latipes | Time-to-hatch NOEC | >38.9 | This study |
| Fish | Oryzias latipes | 40 d, juvenile survival NOEC | 21.8 | This study |
| Fish | Oryzias latipes | 40 d, juvenile growth NOEC | 21.8 | This study |
| Fish | Tilapia nilotica | 96 h, LC50 | 0.03572 | Yasser and Nabila [43] |
| Enrofloxacin | ||||
| Bacteria | Vibrio fischeri | 5 min, IC50 | 272.25 | Oh [48] |
| Bacteria | Vibrio fischeri | 15 min, IC50 | 306.35 | Oh [48] |
| Bacteria | Vibrio fischeri | 5 min, IC50 | 425.0 | Park and Choi [12] |
| Bacteria | Vibrio fischeri | 15 min, IC50 | 326.8 | Park and Choi [12] |
| Bacteria | Vibrio fischeri | 5 min, EC50 | >8.4 | Hernandoet al. [55] |
| Bacteria | Vibrio fischeri | 15 min, EC50 | >8.4 | Hernando et al. [55] |
| Bacteria | Vibrio fischeri | 30 min, EC50 | >8.4 | Hernando et al. [55] |
| Algae | Anabaena flos-aquae | 72 h, EC50 | 0.173 | Ebert et al. [20] |
| Algae | Chlorella sp. | 72 h, EC50 | 111 | Andrieu et al. [21] |
| Algae | Chlamydomonas mexicana | 96 h, EC50 | 10.76 | Xiong et al. [41] |
| Algae | Chlorella vulgaris | 96 h, EC50 | 12.2 | Xiong et al. [46] |
| Algae | Desmodesmus subspicatus | 72 h, EC50 | 5.568 | Ebert et al. [20] |
| Algae | Microcystis aeruginosa | 5 d, EC50 | 0.049 | Robinson et al. [44] |
| Algae | Micractinium resseri | 96 h, EC50 | 12.03 | Xiong et al. [46] |
| Algae | Ourococcus mutipsorus | 96 h, EC50 | 14.98 | Xiong et al. [46] |
| Algae | Pseudokirchneriella subcapitata | 72 h, EC50 | 3.1 | Robinson et al. [44] |
| Algae | Pseudokirchneriella subcapitata | 72 h, EC10 | 0.83 | This study |
| Algae | Pseudokirchneriella subcapitata | 72 h, EC50 | 3.33 | This study |
| Algae | Scenedesmus obliquus | 24 h, EC50 | 88.39 | Qin et al. [45] |
| Algae | Scenedesmus obliquus | 48 h, EC50 | 63.86 | Qin et al. [45] |
| Algae | Scenedesmus obliquus | 72 h, EC50 | 45.1 | Qin et al. [45] |
| Algae | Scenedesmus obliquus | 96 h, EC50 | 59.16 | Qin et al. [45] |
| Algae | Scenedesmus obliquus | 96 h, EC50 | 9.86 | Xiong et al. [46] |
| Aquatic plant | Lemna minor | 7 d, EC50 | 0.114 | Robinson et al. [44] |
| Aquatic plant | Lemna minor | 7 d, EC50 | 0.107 | Ebert et al. [20] |
| Aquatic plant | Myriophyllum spicatum | 14 d, EC50 | >44.3 | Ebert et al. [20] |
| Invertebrate | Daphnia curvirostris | 48 h, EC50 | 4.33 | Dalla Bona et al. [49] |
| Invertebrate | Daphnia magna | 24 h, EC50 | 26.75 | Oh [48] |
| Invertebrate | Daphnia magna | 48 h, EC50 | 15.7 | Oh [48] |
| Invertebrate | Daphnia magna | 24 h, EC50 | 131.7 | Park and Choi [12] |
| Invertebrate | Daphnia magna | 48 h, EC50 | 56.7 | Park and Choi [12] |
| Invertebrate | Daphnia magna | 48 h, EC50 (pH 7.4) | 45.8 | Kim et al. [47] |
| Invertebrate | Daphnia magna | 48 h, EC50 | 16.34 | Dalla Bona et al. [49] |
| Invertebrate | Daphnia magna | 48 h, EC50 | 20.1 | This study |
| Invertebrate | Daphnia magna | 21 d, survival, NOEC | 5 | Park and Choi [12] |
| Invertebrate | Daphnia magna | 21 d, reproduction, NOEC | 5 | Park and Choi [12] |
| Invertebrate | Daphnia magna | 21 d, survival, NOEC | 3.33 | This study |
| Invertebrate | Daphnia magna | 21 d, reproduction, NOEC | 3.33 | This study |
| Invertebrate | Daphnia magna | 21 d, growth NOEC | 0.12 | This study |
| Invertebrate | Gammarus pulex | 48 h, EC50 (pH7.0) | 42.1 | Sun et al. [50] |
| Invertebrate | Gammarus pulex | 96 h, EC50 (pH7.0) | 15.6 | Sun et al. [50] |
| Invertebrate | Moina macrocopa | 24 h, EC50 | 285.7 | Park and Choi [12] |
| Invertebrate | Moina macrocopa | 48 h, EC50 | >200 | Park and Choi [12] |
| Invertebrate | Moina macrocopa | 48 h, EC50 | 69 | Andrieu et al. [21] |
| Invertebrate | Moina macrocopa | 48 h, EC50 | 85.2 | This study |
| Invertebrate | Moina macrocopa | 7 d, survival, NOEC | 2.47 | This study |
| Invertebrate | Moina macrocopa | 7 d, reproduction, NOEC | >2.47 | This study |
| Invertebrate | Physella acuta | 48 h, EC50 (pH 7.0) | 133 | Sun et al. [50] |
| Invertebrate | Physella acuta | 96 h, EC50 (pH 7.0) | 122 | Sun et al. [50] |
| Fish | Oryzias latipes | 96 h, EC50 | >100 | Park and Choi [12] |
| Fish | Oryzias latipes | 48 h, EC50 | >100 | Park and Choi [12] |
| Fish | Oryzias latipes | Hatchability, NOEC | >11 | This study |
| Fish | Oryzias latipes | Time-to-hatch, NOEC | >11 | This study |
| Fish | Oryzias latipes | 40 d, juvenile survival | 3.2 | This study |
| Fish | Oryzias latipes | 40 d, juvenile growth | >3.2 | This study |
| Neomycin | ||||
| Bacteria | Vibrio fischeri | 5 min, IC50 | >1000 | Park and Choi [12] |
| Algae | Anacystis nidulans | 6 h, NOEC | 0.2 | Whitton [52] |
| Algae | Microcystis aeruginosa | 24 h, NOEC | 0.1 | Vance [51] |
| Algae | Pseudokirchneriella subcapitata | 72 h, EC10 | 4.28 | This study |
| Algae | Pseudokirchneriella subcapitata | 72 h, EC50 | 4.60 | This study |
| Aquatic plant | Lemna gibba | 7 d, EC10 | >1.0 | Brain et al. [54] |
| Invertebrate | Daphnia magna | 48 h, EC50 | 42.1 | Park and Choi [12] |
| Invertebrate | Daphnia magna | 48 h, EC50 | 56.0 | This study |
| Invertebrate | Daphnia magna | 21 d, NOEC | 0.03 | Park and Choi [12] |
| Invertebrate | Daphnia magna | 21 d, survival NOEC | 1.5 | This study |
| Invertebrate | Daphnia magna | 21 d, reproduction NOEC | 0.15 | This study |
| Invertebrate | Daphnia magna | 21 d, growth NOEC | 0.15 | This study |
| Invertebrate | Moina macrocopa | 48 h, EC50 | 34.1 | Park and Choi [12] |
| Invertebrate | Moina macrocopa | 48 h, EC50 | 22.9 | This study |
| Invertebrate | Moina macrocopa | 7 d, NOEC | 0.5 | Park and Choi [12] |
| Invertebrate | Moina macrocopa | 7 d, survival NOEC | >5.3 | This study |
| Invertebrate | Moina macrocopa | 7 d, reproduction NOEC | >5.3 | This study |
| Mollusks | Crassostrea gigas | 48 h, EC50 | >800 | US EPA, ECOTOX [53] |
| Fish | Anguilla japonica | LC50 | 2829 | US EPA, ECOTOX [53] |
| Fish | Oryzias latipes | 96 h, LC50 | 80.8 | Park and Choi [12] |
| Fish | Oryzias latipes | Hatchability NOEC | 11 | This study |
| Fish | Oryzias latipes | Time-to-hatch NOEC | >100 | This study |
| Fish | Oryzias latipes | 40 d, juvenile survival NOEC | 0.87 | This study |
| Fish | Oryzias latipes | 40 d, juvenile growth NOEC | 11 | This study |
3.1.4. Acute to Chronic Ratio
3.2. Levels of Environmental Occurrence
3.3. PNEC of Each Pharmaceutical
3.4. Ecological Risks
4. Conclusions
Supplementary Materials
Author Contributions
Funding
Institutional Review Board Statement
Informed Consent Statement
Acknowledgments
Conflicts of Interest
References
- Liu, Y.; Gao, B.; Yue, Q.; Guan, Y.; Wang, Y.; Huang, L. Influences of two antibiotic contaminants on the production, release and toxicity of microcystins. Ecotoxicol. Environ. Saf. 2012, 77, 79–87. [Google Scholar] [CrossRef]
- Kim, Y.; Jung, J.; Kim, M.; Park, J.; Boxall, A.B.A.; Choi, K. Prioritizing veterinary pharmaceuticals for aquatic environment in Korea. Environ. Toxicol. Pharmacol. 2008, 26, 167–176. [Google Scholar] [CrossRef]
- Li, W.C. Occurrence, sources, and fate of pharmaceuticals in aquatic environment and soil. Environ. Pollut. 2014, 187, 193–201. [Google Scholar] [CrossRef]
- Danner, M.C.; Robertson, A.; Behrends, V.; Reiss, J. Antibiotic pollution in surface fresh waters: Occurrence and effects. Sci. Total Environ. 2019, 664, 793–804. [Google Scholar] [CrossRef]
- Kolpin, D.W.; Furlong, E.T.; Meyer, M.T.; Thurman, E.M.; Zaugg, S.D.; Barber, L.B.; Buxton, H.T. Pharmaceuticals, hormones, and other organic wastewater contaminants in US streams, 1999–2000: A National Reconnaissance. Environ. Sci. Technol. 2002, 36, 1202–1211. [Google Scholar] [CrossRef] [Green Version]
- Osorio, V.; Larrañaga, A.; Aceña, J.; Pérez, S.; Barceló, D. Concentration and risk of pharmaceuticals in freshwater systems are related to the population density and the livestock units in Iberian rivers. Sci. Total Environ. 2016, 540, 267–277. [Google Scholar] [CrossRef] [PubMed] [Green Version]
- Watkinson, A.J.; Murby, E.J.; Kolpin, D.W.; Costanzo, S.D. The occurrence of antibiotics in an urban watershed: From wastewater to drinking water. Sci. Total Environ. 2009, 407, 2711–2723. [Google Scholar] [CrossRef]
- Zuccato, E.; Castiglioni, S.; Bagnati, R.; Melis, M.; Fanelli, R. Source, occurrence and fate of antibiotics in the Italian aquatic environment. J. Hazard. Mater. 2010, 179, 1042–1048. [Google Scholar] [CrossRef] [PubMed]
- Boxall, A.B.; Rudd, M.A.; Brooks, B.W.; Caldwell, D.J.; Choi, K.; Hickmann, S.; Innes, E.; Ostapyk, K.; Staveley, J.P.; Verslycke, T.; et al. Pharmaceuticals and personal care products in the environment: What are the big questions? Environ. Health Perspect. 2012, 120, 1221–1229. [Google Scholar] [CrossRef] [PubMed]
- Ebele, A.J.; Abou-Elwafa Abdallah, M.; Harrad, S. Pharmaceuticals and personal care products (PPCPs) in the freshwater aquatic environment. Emerg. Contam. 2017, 3, 1–16. [Google Scholar] [CrossRef]
- Yılmaz, Ç.; Özcengiz, G. Antibiotics: Pharmacokinetics, toxicity, resistance and multidrug efflux pumps. Biochem. Pharmacol. 2017, 133, 43–62. [Google Scholar] [CrossRef]
- Park, S.; Choi, K. Hazard assessment of commonly used agricultural antibiotics on aquatic ecosystems. Ecotoxicology 2008, 17, 526–538. [Google Scholar] [CrossRef]
- Fick, J.; Söderström, H.; Lindberg, R.H.; Phan, C.; Tysklind, M.; Larsson, D.G.J. Contamination of surface, ground, and drinking water from pharmaceutical production. Environ. Toxicol. Chem. 2009, 28, 2522–2527. [Google Scholar] [CrossRef]
- Boxall, A.B.A.; Kolpin, D.W.; Halling-Sørensen, B.; Tolls, J. Are veterinary medicines causing environmental risks? Environ. Sci. Technol. 2003, 37, 286A–294A. [Google Scholar] [CrossRef] [PubMed] [Green Version]
- Putra, E.K.; Pranowo, R.; Sunarso, J.; Indraswati, N.; Ismadji, S. Performance of activated carbon and bentonite for adsorption of amoxicillin from wastewater: Mechanisms, isotherms and kinetics. Water Res. 2009, 43, 2419–2430. [Google Scholar] [CrossRef]
- Azanu, D.; Styrishave, B.; Darko, G.; Weisser, J.J.; Abaidoo, R.C. Occurrence and risk assessment of antibiotics in water and lettuce in Ghana. Sci. Total Environ. 2018, 622–623, 293–305. [Google Scholar] [CrossRef] [PubMed]
- Aydin, E.; Talinli, I. Analysis, occurrence and fate of commonly used pharmaceuticals and hormones in the Buyukcekmece Watershed, Turkey. Chemosphere 2013, 90, 2004–2012. [Google Scholar] [CrossRef]
- Calamari, D.; Zuccato, E.; Castiglioni, S.; Bagnati, R.; Fanelli, R. Strategic survey of therapeutic drugs in the rivers Po and Lambro in Northern Italy. Environ. Sci. Technol. 2003, 37, 1241–1248. [Google Scholar] [CrossRef]
- Andreozzi, R.; Caprio, V.; Ciniglia, C.; de Champdoré, M.; Lo Giudice, R.; Marotta, R.; Zuccato, E. Antibiotics in the environment: Occurrence in Italian STPs, fate, and preliminary assessment on algal toxicity of amoxicillin. Environ. Sci. Technol. 2004, 38, 6832–6838. [Google Scholar] [CrossRef] [PubMed]
- Ebert, I.; Bachmann, J.; Kühnen, U.; Küster, A.; Kussatz, C.; Maletzki, D.; Schlüter, C. Toxicity of the fluoroquinolone antibiotics enrofloxacin and ciprofloxacin to photoautotrophic aquatic organisms. Environ. Toxicol. Chem. 2011, 30, 2786–2792. [Google Scholar] [CrossRef]
- Andrieu, M.; Rico, A.; Phu, T.M.; Huong, D.T.T.; Phuong, N.T.; Van den Brink, P.J. Ecological risk assessment of the antibiotic enrofloxacin applied to Pangasius catfish farms in the Mekong Delta, Vietnam. Chemosphere 2015, 119, 407–414. [Google Scholar] [CrossRef]
- Gao, L.; Shi, Y.; Li, W.; Liu, J.; Cai, Y. Occurrence, distribution and bioaccumulation of antibiotics in the Haihe River in China. J. Environ. Monit. 2012, 14, 1248–1255. [Google Scholar] [CrossRef]
- Jiang, L.; Hu, X.; Yin, D.; Zhang, H.; Yu, Z. Occurrence, distribution and seasonal variation of antibiotics in the Huangpu River, Shanghai, China. Chemosphere 2011, 82, 822–828. [Google Scholar] [CrossRef]
- Song, C.; Zhang, C.; Fan, L.; Qiu, L.; Wu, W.; Meng, S.; Hu, G.; Kamira, B.; Chen, J. Occurrence of antibiotics and their impacts to primary productivity in fishponds around Tai Lake, China. Chemosphere 2016, 161, 127–135. [Google Scholar] [CrossRef] [PubMed]
- Pena, A.; Chmielova, D.; Lino, C.M.; Solich, P. Determination of fluoroquinolone antibiotics in surface waters from Mondego River by high performance liquid chromatography using a monolithic column. J. Sep. Sci. 2007, 30, 2924–2928. [Google Scholar] [CrossRef] [Green Version]
- Tamtam, F.; Mercier, F.; Le Bot, B.; Eurin, J.; Tuc Dinh, Q.; Clément, M.; Chevreuil, M. Occurrence and fate of antibiotics in the seine river in various hydrological conditions. Sci. Total Environ. 2008, 393, 84–95. [Google Scholar] [CrossRef] [PubMed]
- Kolpin, D.W.; Skopec, M.; Meyer, M.T.; Furlong, E.T.; Zaugg, S.D. Urban contribution of pharmaceuticals and other organic wastewater contaminants to streams during differing flow conditions. Sci. Total Environ. 2004, 328, 119–130. [Google Scholar] [CrossRef]
- Keswani, N.; Choudhary, S.; Kishore, N. Interaction of weakly bound antibiotics neomycin and lincomycin with bovine and human serum albumin: Biophysical approach. J. Biochem. 2010, 148, 71–84. [Google Scholar] [CrossRef] [PubMed]
- Organization for Economic Co-Operation and Development. Section 2: Effects on biotic systems. In OECD Guideline for Testing of Chemicals, Test NO. 201: Freshwater Alga and Cyanobacteria, Growth Inhibition Test; OECD Publishing: Paris, France, 2011. [Google Scholar]
- US Environmental Protection Agency. Ecological Effects Test Guidelines. OPPTS 850.5400. Algal Toxicity, Tiers I and II; EPA 712-C96-164; United States Environmental Protection Agency: Washington, DC, USA, 1996. [Google Scholar]
- Organization for Economic Co-Operation and Development. Section 2: Effects on biotic systems. In OECD Guideline for Testing of Chemicals, Test NO. 211: Daphnia magna Reproduction Test; OECD Publishing: Paris, France, 2008. [Google Scholar]
- Organization for Economic Co-Operation and Development. Section 2: Effects on biotic systems. In OECD Guideline for Testing of Chemicals, Test NO. 202: Daphnia sp. Acute Immobilization Test; OECD Publishing: Paris, France, 2004. [Google Scholar]
- Oh, S.; Choi, K. Optimal conditions for three brood chronic toxicity test method using a freshwater macroinvertebrate Moina macrocopa. Environ. Monit. Assess. 2012, 184, 3687–3695. [Google Scholar] [CrossRef]
- Olmstead, A.W.; LeBlanc, G.A. Effects of endocrine-active chemicals on the development of sex characteristics of Daphnia magna. Environ. Toxicol. Chem. 2000, 19, 2107–2113. [Google Scholar] [CrossRef]
- Organization for Economic Co-Operation and Development. Section 2: Effects on biotic systems. In OECD Guideline for Testing of Chemicals, Test NO. 210: Fish, Early-Life Stage Toxicity Test; OECD Publishing: Paris, France, 2013. [Google Scholar]
- European Commission. Technical Guidance Document in Support of Commission Directive 93/67 EEC on Risk Assessment for New Notified Substances, Commission Regulation (EC); No 1488/94 on Risk Assessment for Existing Substances and Directive 98/8/EC of the European Parliament and of the Council concerning the Placing of Biocidal Products on the Market; Joint Research Centre: Ispra, Italy, 2003. [Google Scholar]
- Lotka, A.J. A natural population norm I. J. Wash. Acad. Sci. 1913, 3, 241–248. Available online: https://www.jstor.org/stable/24521071 (accessed on 15 July 2021).
- González-Pleiter, M.; Gonzalo, S.; Rodea-Palomares, I.; Leganés, F.; Rosal, R.; Boltes, K.; Marco, E.; Fernández-Piñas, F. Toxicity of five antibiotics and their mixtures towards photosynthetic aquatic organisms: Implications for environmental risk assessment. Water Res. 2013, 47, 2050–2064. [Google Scholar] [CrossRef] [PubMed]
- Halling-Sørensen, B. Algal toxicity of antibacterial agents used in intensive farming. Chemosphere 2000, 40, 731–739. [Google Scholar] [CrossRef]
- Lützhøft, H.H.; Halling-Sørensen, B.; Jørgensen, S.E. Algal toxicity of antibacterial agents applied in danish fish farming. Arch. Environ. Contam. Toxicol. 1999, 36, 1–6. [Google Scholar] [CrossRef]
- van der Grinten, E.; Pikkemaat, M.G.; van den Brandhof, E.J.; Stroomberg, G.J.; Kraak, M.H. Comparing the sensitivity of algal, cyanobacterial and bacterial bioassays to different groups of antibiotics. Chemosphere 2010, 80, 1–6. [Google Scholar] [CrossRef] [PubMed] [Green Version]
- Oliveira, R.; McDonough, S.; Ladewig, J.C.L.; Soares, A.M.V.M.; Nogueira, A.J.A.; Domingues, I. Effects of oxytetracycline and amoxicillin on development and biomarkers activities of zebrafish (Danio rerio). Environ. Toxicol. Pharmacol. 2013, 36, 903–912. [Google Scholar] [CrossRef]
- Yasser, E.N.; El-Dahdouh, N. Toxicity of amoxicillin and erythromycin to fish and mosquitoes. Ecotoxicol. Environ. Contam. 2015, 10, 13–21. Available online: http://hdl.handle.net/20.500.12358/25903 (accessed on 15 July 2021). [CrossRef]
- Robinson, A.A.; Belden, J.B.; Lydy, M.J. Toxicity of fluoroquinolone antibiotics to aquatic organisms. Environ. Toxicol. Chem. 2005, 24, 423–430. [Google Scholar] [CrossRef] [PubMed]
- Qin, H.W.; Chen, L.F.; Lu, N.; Zhao, Y.H.; Yuan, X. Toxic effects of enrofloxacin on Scenedesmus obliquus. Front. Environ. Sci. Eng. 2012, 6, 107–116. [Google Scholar] [CrossRef]
- Xiong, J.Q.; Kurade, M.B.; Jeon, B.H. Ecotoxicological effects of enrofloxacin and its removal by monoculture of microalgal species and their consortium. Environ. Pollut. 2017, 226, 486–493. [Google Scholar] [CrossRef]
- Kim, J.; Park, J.; Kim, P.G.; Lee, C.; Choi, K.; Choi, K. Implication of global environmental changes on chemical toxicity-effect of water temperature, pH, and ultraviolet B irradiation on acute toxicity of several pharmaceuticals in Daphnia magna. Ecotoxicology 2010, 19, 662–669. [Google Scholar] [CrossRef] [PubMed]
- Oh, S. Aquatic Toxicities of Major Veterinary Antibiotics and Anthelmintics on Microbes and Macroinvertebrates. Master’s Thesis, Seoul National University, Seoul, Korea, 2004. [Google Scholar]
- Dalla Bona, M.; Di Leva, V.; De Liguoro, M. The sensitivity of Daphnia magna and Daphnia curvirostris to 10 veterinary antibacterials and to some of their binary mixtures. Chemosphere 2014, 115, 67–74. [Google Scholar] [CrossRef] [PubMed]
- Sun, M.; Duker, R.Q.; Gillissen, F.; Van den Brink, P.J.; Focks, A.; Rico, A. Influence of pH on the toxicity of ionisable pharmaceuticals and personal care products to freshwater invertebrates. Ecotoxicol. Environ. Saf. 2020, 191, 110172. [Google Scholar] [CrossRef]
- Vance, B.D. Sensitivity of Microcystis aeruginosa and other blue-green algae and associated bacteria to selected antibiotics. J. Phycol. 1966, 2, 125–128. [Google Scholar] [CrossRef] [PubMed]
- Whitton, B.A. Effect of light on toxicity of various substances to Anacystis nidulans. Plant Cell Physiol. 1968, 9, 23–26. [Google Scholar] [CrossRef]
- US Environmental Protection Agency, 2020 ECOTOX User Guide. ECOTOXicology Database System. Version 4.0. Available online: http://www.epa.gov/ecotox/ (accessed on 17 March 2020).
- Brain, R.A.; Johnson, D.J.; Richards, S.M.; Sanderson, H.; Sibley, P.K.; Solomon, K.R. Effects of 25 pharmaceutical compounds to Lemna gibba using a seven-day static-renewal test. Environ. Toxicol. Chem. 2004, 23, 371–382. [Google Scholar] [CrossRef] [PubMed]
- Hernando, M.D.; De Vettori, S.; Martínez Bueno, M.J.; Fernández-Alba, A.R. Toxicity evaluation with Vibrio fischeri test of organic chemicals used in aquaculture. Chemosphere 2007, 68, 724–730. [Google Scholar] [CrossRef] [PubMed]
- Crane, M.; Watts, C.; Boucard, T. Chronic aquatic environmental risks from exposure to human pharmaceuticals. Sci. Total Environ. 2006, 367, 23–41. [Google Scholar] [CrossRef]
- Ji, K.; Kim, S.; Han, S.; Seo, J.; Lee, S.; Park, Y.; Choi, K.; Kho, Y.L.; Kim, P.G.; Park, J.; et al. Risk assessment of chlortetracycline, oxytetracycline, sulfamethazine, sulfathiazole, and erythromycin in aquatic environment: Are the current environmental concentrations safe? Ecotoxicology 2012, 21, 2031–2050. [Google Scholar] [CrossRef]
- National Institute of Environmental Research. Development of Analytical Method and Study of Exposure of Pharmaceuticals and Personal Care Products in Environment (II); Ministry of the Environment: Sejong, Korea, 2007; Available online: https://dl.nanet.go.kr/law/SearchDetailView.do?cn=NONB1200931362 (accessed on 15 July 2021).
- National Institute of Environmental Research. Development of Analytical Method and Study of Exposure of Pharmaceuticals and Personal Care Products Residues (I); Ministry of the Environment: Sejong, Korea, 2008; Available online: https://dl.nanet.go.kr/law/SearchDetailView.do?cn=NONB1200931438 (accessed on 15 July 2021).
- Velpandian, T.; Halder, N.; Nath, M.; Das, U.; Moksha, L.; Gowtham, L.; Batta, S.P. Un-segregated waste disposal: An alarming threat of antimicrobials in surface and ground water sources in Delhi. Environ. Sci. Pollut. Res. Int. 2018, 25, 29518–29528. [Google Scholar] [CrossRef]
- Dinh, Q.T.; Alliot, F.; Moreau-Guigon, E.; Eurin, J.; Chevreuil, M.; Labadie, P. Measurement of trace levels of antibiotics in river water using on-line enrichment and triple-quadrupole LC-MS/MS. Talanta 2011, 85, 1238–1245. [Google Scholar] [CrossRef]
- Wang, Q.J.; Mo, C.H.; Li, Y.W.; Gao, P.; Tai, Y.P.; Zhang, Y.; Ruan, Z.L.; Xu, J.W. Determination of four fluoroquinolone antibiotics in tap water in Guangzhou and Macao. Environ. Pollut. 2010, 158, 2350–2358. [Google Scholar] [CrossRef]
- Chen, K.; Zhou, J.L. Occurrence and behavior of antibiotics in water and sediments from the Huangpu River, Shanghai, China. Chemosphere 2014, 95, 604–612. [Google Scholar] [CrossRef] [PubMed]
- Shao, B.; Chen, D.; Zhang, J.; Wu, Y.; Sun, C. Determination of 76 pharmaceutical drugs by liquid chromatography-tandem mass spectrometry in slaughterhouse wastewater. J. Chromatogr. A 2009, 1216, 8312–8318. [Google Scholar] [CrossRef]
- Tong, C.; Zhuo, X.; Guo, Y. Occurrence and risk assessment of four typical fluoroquinolone antibiotics in raw and treated sewage and in receiving waters in Hangzhou, China. J. Agric. Food Chem. 2011, 59, 7303–7309. [Google Scholar] [CrossRef] [PubMed]
- Zhang, R.; Zhang, G.; Zheng, Q.; Tang, J.; Chen, Y.; Xu, W.; Zou, Y.; Chen, X. Occurrence and risks of antibiotics in the Laizhou Bay, China: Impacts of river discharge. Ecotoxicol. Environ. Saf. 2012, 80, 208–215. [Google Scholar] [CrossRef]
- Hanna, N.; Sun, P.; Sun, Q.; Li, X.; Yang, X.; Ji, X.; Zou, H.; Ottoson, J.; Nilsson, L.E.; Berglund, B.; et al. Presence of antibiotic residues in various environmental compartments of Shandong Province in Eastern China: Its potential for resistance development and ecological and human risk. Environ. Int. 2018, 114, 131–142. [Google Scholar] [CrossRef] [PubMed]
- Yao, L.; Wang, Y.; Tong, L.; Deng, Y.; Li, Y.; Gan, Y.; Guo, W.; Dong, C.; Duan, Y.; Zhao, K. Occurrence and risk assessment of antibiotics in surface water and groundwater from different depths of aquifers: A case study at Jianghan Plain, Central China. Ecotoxicol. Environ. Saf. 2017, 135, 236–242. [Google Scholar] [CrossRef] [PubMed]
- Yan, C.; Yang, Y.; Zhou, J.; Liu, M.; Nie, M.; Shi, H.; Gu, L. Antibiotics in the surface water of the Yangtze Estuary: Occurrence, distribution and risk assessment. Environ. Pollut. 2013, 175, 22–29. [Google Scholar] [CrossRef]
- National Institute of Environmental Research. Development of Analytical Method and Study of Exposure of Pharmaceuticals and Personal Care Products in Environment (I); Ministry of the Environment: Sejong, Korea, 2006; Available online: http://dl.nanet.go.kr/law/SearchDetailView.do?cn=NONB1200931436 (accessed on 15 July 2021).
- National Institute of Environmental Research. Development of Analytical Method and Study of Exposure of Pharmaceuticals and Personal Care Products Residues (II); Ministry of the Environment: Sejong, Korea, 2009; Available online: https://scienceon.kisti.re.kr/srch/selectPORSrchReport.do?cn=TRKO201300007870 (accessed on 15 July 2021).
- National Institute of Environmental Research. Development of Analytical Method and Study of Exposure of Pharmaceuticals and Personal Care Products Residues (III); Ministry of the Environment: Sejong, Korea, 2010; Available online: https://scienceon.kisti.re.kr/srch/selectPORSrchReport.do?cn=TRKO201300007428 (accessed on 15 July 2021).
- National Institute of Environmental Research. Development of Analytical Method and Study of Exposure of Pharmaceuticals and Personal Care Products Residues (IV); Ministry of the Environment: Sejong, Korea, 2011; Available online: https://scienceon.kisti.re.kr/srch/selectPORSrchReport.do?cn=TRKO201300007704 (accessed on 15 July 2021).
- Nguyen Dang Giang, C.; Sebesvari, Z.; Renaud, F.; Rosendahl, I.; Hoang Minh, Q.; Amelung, W. Occurrence and dissipation of the antibiotics sulfamethoxazole, sulfadiazine, trimethoprim, and enrofloxacin in the Mekong Delta, Vietnam. PLoS ONE 2015, 10, e0131855. [Google Scholar] [CrossRef] [PubMed] [Green Version]
- Gracia-Lor, E.; Sancho, J.V.; Hernández, F. Multi-class determination of around 50 pharmaceuticals, including 26 antibiotics, in environmental and wastewater samples by ultra-high performance liquid chromatography-tandem mass spectrometry. J. Chromatogr. A 2011, 1218, 2264–2275. [Google Scholar] [CrossRef] [PubMed]




| Pharmaceuticals /Location | Number of Detect (Total n) | LOQ (µg/L) | Concentration (µg/L) | Reference | ||
|---|---|---|---|---|---|---|
| Mean | Min. | Max. | ||||
| Amoxicillin | ||||||
| Africa | ||||||
| Ghana | ||||||
| Kumasi region (Rivers) | –(39) | - | - | <LOQ | 0.0027 | Azanu et al. [16] |
| Asia | ||||||
| India | ||||||
| Yamuna River | 4 (7) | - | 0.18 | - | - | Velpandian et al. [60] |
| Korea | ||||||
| Four Major River water a | 0 (40) | 0.00442 | <LOQ | <LOQ | <LOQ | NIER [58] |
| Turkey | ||||||
| Buyukcekmece Lake | 2 (5) | 0.0015 | 0.00291 b | <LOQ | 0.00400 | Aydin and Talinli [17] |
| Karasu River | 5 (5) | 0.0015 | 0.0214 b | 0.00389 | 0.0639 | Aydin and Talinli [17] |
| Tahtakopru River | 4 (5) | 0.0015 | 0.00635 b | <LOQ | 0.0142 | Aydin and Talinli [17] |
| Hamza River | 4 (5) | 0.0015 | 0.0123 b | <LOQ | 0.0573 | Aydin and Talinli [17] |
| Ahlat River | 5 (5) | 0.0015 | 0.0406 b | 0.00640 | 1.654 | Aydin and Talinli [17] |
| Beylikcayi River | 5 (5) | 0.0015 | 0.0138 b | 0.00280 | 0.0336 | Aydin and Talinli [17] |
| Europe | ||||||
| France | ||||||
| Seine River | - | 0.0392 | 0.068 | - | - | Dinh et al. [61] |
| Italy | ||||||
| River Po and Arno | 0 (8) | <0.001 | <LOQ | <LOQ | <LOQ | Calamari et al. [18] |
| River Arno (Castelfranco) | 4 (4) | <0.00208 | 0.00557 | 0.00357 | 0.00991 | Zuccato et al. [8] |
| River Arno (Limite sull’Arno) | - | <0.00208 | 0.00377 | - | - | Zuccato et al. [8] |
| River Arno (Pisa) | - | <0.00208 | 0.00991 | - | - | Zuccato et al. [8] |
| River Po (Monticelli PV) | - | <0.00208 | <0.00208 | - | - | Zuccato et al. [8] |
| Oceania | ||||||
| South-East Queensland, drinking water | 0 (20) | 0.020 | <LOQ | <LOQ | <LOQ | Watkinson et al. [7] |
| South-East Queensland, environmental water | 29 (98) | 0.020 | <LOQ | <LOQ | 0.2 | Watkinson et al. [7] |
| Enrofloxacin | ||||||
| Asia | ||||||
| China | ||||||
| Chentaizi drainage River | 3 (4) | 0.0001 | 0.0044 | ND | 0.0112 | Gao et al. [22] |
| Dagu drainage River | 1 (6) | 0.0001 | 0.0002 | ND | 0.0012 | Gao et al. [22] |
| Duliujian River | 2 (2) | 0.0001 | 0.0041 | 0.002 | 0.0062 | Gao et al. [22] |
| Guangzhou –Tap water | –(10) | 0.00028 | 0.002 b | ND | 0.0083 | Yiruhan et al. [62] |
| Haihe River | 4 (9) | 0.0001 | 0.0004 | ND | 0.001 | Gao et al. [22] |
| Haihe River, tributary | 2 (6) | 0.0001 | 0.0012 | ND | 0.0051 | Gao et al. [22] |
| Huangpu River | 2 (38) | 0.01134 | <LOQ | ND | <LOQ | Jiang et al. [23] |
| Huangpu River | 5 (13) | - | 0.0028 | ND | 0.0146 | Chen and Zhou [63] |
| Nansha River | 12 (12) | 0.001 | 0.00867 | 0.003 | 0.02 | Shao et al. [64] |
| Qiantang River, Hangzhou | 2 (2) | 0.027 | 0.0146 | 0.0105 | 0.0187 | Tong et al. [65] |
| River discharging to Laizhou Bay | 13 (23) | 0.005 | 0.0106 | ND | 0.0246 | Zhang et al. [66] |
| River in Shandong province | 12 (25) | 0.00133 | 0.00274 | 0.0002 | 0.0522 | Hanna et al. [67] |
| Shahu county, Jianghan | 19 (20) | 0.00145 d | 0.02457 | 0.00017 | 0.136 | Yao et al. [68] |
| Tai Lake | 6 (101) | - | 0.00508 | - | 0.183 | Song et al. [24] |
| Yangtz estuary | 4 (28) | 0.00168 | - | ND | 0.00477 | Yan et al. [69] |
| India | ||||||
| Isakavagu-Nakkavagu Rivers | 4 (5) | 0.01 | 0.064 b | ND | 30 | Fick et al. [13] |
| Korea | ||||||
| 4 Major Rivers a | 5 (40) | 0.010 | 0.0608 c | <LOQ | 0.188 | NIER [70] |
| 4 Major Rivers a | 1 (40) | 0.0829 | 0.0870 c | <LOQ | 0.0870 | NIER [58] |
| 4 Major Rivers a | 8 (80) | 0.00316 | 0.0156 c | <LOQ | 0.0300 | NIER [59] |
| 4 Major Rivers a | 0 (80) | 0.0407 | <LOQ c | <LOQ | <LOQ | NIER [71] |
| 4 Major Rivers a | 0 (80) | 0.009 | <LOQ c | <LOQ | <LOQ | NIER [72] |
| 4 Major Rivers a | 1 (80) | 0.008 | 0.011 c | <LOQ | <LOQ | NIER [73] |
| Macao | ||||||
| Macao -Tap water | –(12) | 0.00028 | 0.0040 b | 0.0028 | 0.0052 | Yiruhan et al. [62] |
| Vietnam | ||||||
| Freshwater near Mekong delta | 42 (154) | 0.001 | 0.012 b | < LOQ | 0.059 | Nguyen DangGiang et al. [74] |
| Panguasius catfish pond | –(19) | 0.02 | 0.05 | 0.68 | Andrieu et al. [21] | |
| Europe | ||||||
| France | ||||||
| Seine River | 0 (44) | 0.01 | - | - | < 0.01 | Tamtam et al. [26] |
| Seine River | - | 0.011 | <LOQ | <LOQ | <LOQ | Dinh et al. [61] |
| Portugal | ||||||
| Mondego River | 8 (22) | 0.025 | - | <LOQ | 0.1025 | Pena et al. [25] |
| Spain | ||||||
| Castellon and Valencia provinces | 18 (18) | 0.009 | - | - | 0.070 | Gracia-Lor et al. [75] |
| North America | ||||||
| United States | ||||||
| 139 Streams | 0 (115) | 0.02 d | ND b | - | ND | Kolpin et al. [5] |
| 23 Streams in Iowa, high-flow | 0 (23) | 0.01 d | ND | - | ND | Kolpin et al. [27] |
| 23 streams in Iowa, normal-flow | 0 (23) | 0.01 d | ND | - | ND | Kolpin et al. [27] |
| 23 streams in Iowa, low-flow | 1 (30) | 0.01 d | - | - | 0.01 | Kolpin et al. [27] |
| Oceania | ||||||
| Australia | ||||||
| South-East Queensland, drinking water | 0 (20) | 0.001 | ND b | <LOQ | <LOQ | Watkinson et al. [7] |
| South-East Queensland, environmental water | 43 (97) | 0.001 | ND b | - | 0.30 | Watkinson et al. [7] |
| Neomycin | ||||||
| Asia | ||||||
| India | ||||||
| Yamuna River | 3 (7) | - | 1.18 | - | - | Velpandian et al. [60] |
| Korea | ||||||
| 4 Major Rivers a | 1 (40) | 0.00008 | 0.94 c | <LOQ | 0.94 | NIER [58] |
| 4 Major Rivers a | 0 (80) | 0.001 | <LOQ | <LOQ | <LOQ | NIER [59] |
| Pharmaceuticals | MECmean (µg/L) | MECmax (µg/L) | Lowest NOEC (mg/L) | AF | PNEC (µg/L) | HQ Based on MECmean | HQ Based on MECmax |
|---|---|---|---|---|---|---|---|
| Amoxicillin | 0.068 | 1.654 | 0.00078 b | 10 | 0.078 | 0.87 | 21.2 |
| Enrofloxacin | 0.087 | 30 | 0.049 c | 10 | 4.9 | 0.018 | 6.1 |
| Neomycin | 1.18 | 1.18 a | 0.03 d | 10 | 3.0 | 0.39 | 0.39 |
Publisher’s Note: MDPI stays neutral with regard to jurisdictional claims in published maps and institutional affiliations. |
© 2021 by the authors. Licensee MDPI, Basel, Switzerland. This article is an open access article distributed under the terms and conditions of the Creative Commons Attribution (CC BY) license (https://creativecommons.org/licenses/by/4.0/).
Share and Cite
Lee, S.; Kim, C.; Liu, X.; Lee, S.; Kho, Y.; Kim, W.-K.; Kim, P.; Choi, K. Ecological Risk Assessment of Amoxicillin, Enrofloxacin, and Neomycin: Are Their Current Levels in the Freshwater Environment Safe? Toxics 2021, 9, 196. https://doi.org/10.3390/toxics9080196
Lee S, Kim C, Liu X, Lee S, Kho Y, Kim W-K, Kim P, Choi K. Ecological Risk Assessment of Amoxicillin, Enrofloxacin, and Neomycin: Are Their Current Levels in the Freshwater Environment Safe? Toxics. 2021; 9(8):196. https://doi.org/10.3390/toxics9080196
Chicago/Turabian StyleLee, Sangwoo, Cheolmin Kim, Xiaoshan Liu, Saeram Lee, Younglim Kho, Woo-Keun Kim, Pilje Kim, and Kyungho Choi. 2021. "Ecological Risk Assessment of Amoxicillin, Enrofloxacin, and Neomycin: Are Their Current Levels in the Freshwater Environment Safe?" Toxics 9, no. 8: 196. https://doi.org/10.3390/toxics9080196
APA StyleLee, S., Kim, C., Liu, X., Lee, S., Kho, Y., Kim, W.-K., Kim, P., & Choi, K. (2021). Ecological Risk Assessment of Amoxicillin, Enrofloxacin, and Neomycin: Are Their Current Levels in the Freshwater Environment Safe? Toxics, 9(8), 196. https://doi.org/10.3390/toxics9080196

