Association between Urinary Phthalate Metabolites and Markers of Endothelial Dysfunction in Adolescents and Young Adults
Abstract
1. Introduction
2. Methods
2.1. Study Participants
2.2. Assessment of Personal and Anthropometric Data
2.3. Biochemical Measurements
2.4. Analysis of Urine Phthalate Metabolites
2.5. Measurements of EMPs and PMPs
2.6. Statistical Analysis
3. Results
4. Discussion
5. Conclusions
Supplementary Materials
Author Contributions
Funding
Institutional Review Board Statement
Informed Consent Statement
Data Availability Statement
Acknowledgments
Conflicts of Interest
References
- Oehlmann, J.; Oetken, M.; Schulte-Oehlmann, U. A critical evaluation of the environmental risk assessment for plasticizers in the freshwater environment in Europe, with special emphasis on bisphenol A and endocrine disruption. Environ. Res. 2008, 108, 140–149. [Google Scholar] [CrossRef] [PubMed]
- Lee, J.; Lee, J.-H.; Kim, C.-K.; Thomsen, M. Childhood exposure to DEHP, DBP and BBP under existing chemical manage-ment systems: A comparative study of sources of childhood exposure in Korea and in Denmark. Environ. Int. 2014, 63, 77–91. [Google Scholar] [CrossRef]
- European Chemicals Agency. Data on Manufacture, Import, Export, Uses and Releases of Dibutylphthalate (DBP) as Well as Information on Potential Alternatives to Its Use. 2009. Available online: https://echa.europa.eu/documents/10162/6ce77be0-6c61-4e95-9241-0c262817555a (accessed on 30 December 2020).
- European Commission. Office for Official Publications of the European Community. European Union Risk Assessment Report Dibutyl Phthalate. Available online: https://echa.europa.eu/documents/10162/04f79b21-0b6d-4e67-91b9-0a70d4ea7500 (accessed on 5 December 2020).
- Chen, X.; Xu, S.; Tan, T.; Lee, S.T.; Cheng, S.H.; Lee, F.W.-F.; Xu, S.J.L.; Ho, K.-C. Toxicity and Estrogenic Endocrine Disrupting Activity of Phthalates and Their Mixtures. Int. J. Environ. Res. Public Health 2014, 11, 3156–3168. [Google Scholar] [CrossRef]
- Kay, V.R.; Chambers, C.; Foster, W.G. Reproductive and developmental effects of phthalate diesters in females. Crit. Rev. Toxicol. 2013, 43, 200–219. [Google Scholar] [CrossRef]
- David, R.M.; Moore, M.R.; Finney, D.C.; Guest, D. Chronic toxicity of di(2-ethylhexyl)phthalate in rats. Toxicol. Sci. 2000, 55, 433–443. [Google Scholar] [CrossRef]
- Priya, V.M.; Mayilvanan, C.; Akilavalli, N.; Rajesh, P.; Balasubramanian, K. Lactational exposure of phthalate impairs insu-lin signaling in the cardiac muscle of f1 female albino rats. Cardiovasc. Toxicol. 2014, 14, 10–20. [Google Scholar] [CrossRef]
- Martinez–Arguelles, D.; McIntosh, M.; Rohlicek, C.; Culty, M.; Zirkin, B.; Papadopoulos, V. Maternal in utero exposure to the endocrine disruptor di-(2-ethylhexyl) phthalate affects the blood pressure of adult male offspring. Toxicol. Appl. Pharmacol. 2013, 266, 95–100. [Google Scholar] [CrossRef]
- Mariana, M.; Feiteiro, J.; Verde, I.; Cairrao, E. The effects of phthalates in the cardiovascular and reproductive systems: A review. Environ. Int. 2016, 94, 758–776. [Google Scholar] [CrossRef]
- Muscogiuri, G.; Colao, A. Phtalates: New cardiovascular health disruptors? Arch. Toxicol. 2016, 91, 1513–1517. [Google Scholar] [CrossRef] [PubMed]
- Hlisníková, H.; Petrovičová, I.; Kolena, B.; Šidlovská, M.; Sirotkin, A. Effects and Mechanisms of Phthalates’ Action on Repro-ductive Processes and Reproductive Health: A Literature Review. Int. J. Environ. Res. Public Health 2020, 17, 6811. [Google Scholar] [CrossRef] [PubMed]
- Amara, I.; Timoumi, R.; Annabi, E.; Neffati, F.; Najjar, M.F.; Bouaziz, C.; Abid-Essefi, S. Di (2-ethylhexyl) phthalate induces cardiac disorders in BALB/c mice. Environ. Sci. Pollut. Res. 2019, 26, 7540–7549. [Google Scholar] [CrossRef] [PubMed]
- Ferguson, K.K.; Loch-Caruso, R.; Meeker, J.D. Exploration of Oxidative Stress and Inflammatory Markers in Relation to Urinary Phthalate Metabolites: NHANES 1999–2006. Environ. Sci. Technol. 2011, 46, 477–485. [Google Scholar] [CrossRef]
- Horstman, L.L.; Jy, W.; Jimenez, J.J.; Ahn, Y.S. Endothelial microparticles as markers of endothelial dysfunction. Front. Biosci. 2004, 9, 118–135. [Google Scholar] [CrossRef] [PubMed]
- Dignat-George, F.; Boulanger, C.M. The Many Faces of Endothelial Microparticles. Arterioscler. Thromb. Vasc. Biol. 2011, 31, 27–33. [Google Scholar] [CrossRef] [PubMed]
- Chirinos, J.A.; Heresi, G.A.; Velasquez, H.; Jy, W.; Jimenez, J.J.; Ahn, E.; Horstman, L.L.; Soriano, A.O.; Zambrano, J.P.; Ahn, Y.S. Elevation of Endothelial Microparticles, Platelets, and Leukocyte Activation in Patients With Venous Thromboembolism. J. Am. Coll. Cardiol. 2005, 45, 1467–1471. [Google Scholar] [CrossRef] [PubMed]
- Heiss, C.; Rodriguez-Mateos, A.; Kelm, M. Central Role of eNOS in the Maintenance of Endothelial Homeostasis. Antioxid. Redox Signal. 2015, 22, 1230–1242. [Google Scholar] [CrossRef]
- Lin, C.Y.; Hsieh, C.J.; Lo, S.C.; Chen, P.C.; Torng, P.L.; Hu, A.; Sung, F.C.; Su, T.C. Positive association between concentra-tion of phthalate metabolites in urine and microparticles in adolescents and young adults. Environ. Int. 2016, 92, 157–164. [Google Scholar] [CrossRef]
- Melki, I.; Tessandier, N.; Zufferey, A.; Boilard, E. Platelet microvesicles in health and disease. Platelets 2017, 28, 214–221. [Google Scholar] [CrossRef]
- Bulut, D.; Maier, K.; Bulut-Streich, N.; Börgel, J.; Hanefeld, C.; Mügge, A. Circulating Endothelial Microparticles Correlate Inversely With Endothelial Function in Patients With Ischemic Left Ventricular Dysfunction. J. Card. Fail. 2008, 14, 336–340. [Google Scholar] [CrossRef] [PubMed]
- Kataria, A.; Levine, D.; Wertenteil, S.; Vento, S.; Xue, J.; Rajendiran, K.; Kannan, K.; Thurman, J.M.; Morrison, D.; Brody, R.; et al. Exposure to bisphenols and phthalates and association with oxidant stress, insulin resistance, and endothelial dysfunction in children. Pediatr. Res. 2017, 81, 857–864. [Google Scholar] [CrossRef]
- Tsai, C.W.; Kuo, C.C.; Wu, C.F.; Chien, K.L.; Wu, V.C.; Chen, M.F.; Sung, F.C.; Su, T.C. Associations of renal vascular re-sistance with albuminuria in adolescents and young adults. Nephrol. Dial. Transplant. 2011, 26, 3943–3949. [Google Scholar] [CrossRef][Green Version]
- Su, T.C.; Liao, C.C.; Chien, K.L.; Hsu, S.H.; Sung, F.C. An overweight or obese status in childhood predicts subclinical ather-osclerosis and prehypertension/hypertension in young adults. J. Atheroscler. Thromb. 2014, 21, 1170–1182. [Google Scholar] [CrossRef] [PubMed][Green Version]
- US Department of Health and Human Services, National Institutes of Health. The Fourth Report on the Diagnosis, Evaluation, and Treatment of High Blood Pressure in Children and Adolescents; US Department of Health and Human Services: Washington, DC, USA, 2005.
- World Health Organization; Office of Occupational Health. Biological Monitoring of Chemical Exposure in the Workplace: Guidelines; World Health Organization: Geneva, Switzerland, 1996. [Google Scholar]
- Su, T.-C.; Hwang, J.-S.; Torng, P.-L.; Wu, C.; Lin, C.-Y.; Sung, F.-C. Phthalate exposure increases subclinical atherosclerosis in young population. Environ. Pollut. 2019, 250, 586–593. [Google Scholar] [CrossRef] [PubMed]
- US Department of Health and Human Services, Centers for Disease Control and Prevention. Fourth National Report on Human Exposure to Environmental Chemicals; US Department of Health and Human Services: Washington, DC, USA, 2009.
- Chirinos, J.A.; Zambrano, J.P.; Virani, S.S.; Jimenez, J.J.; Jy, W.; Ahn, E.; Horstman, L.L.; Castellanos, A.; Myerburg, R.J.; Ahn, Y.S. Correlation Between Apoptotic Endothelial Microparticles and Serum Interleukin-6 and C-Reactive Protein in Healthy Men. Am. J. Cardiol. 2005, 95, 1258–1260. [Google Scholar] [CrossRef]
- Zhao, Y.; Shi, H.; Xie, C.-Q.; Chen, J.; Laue, H.; Zhang, Y. Prenatal phthalate exposure, infant growth, and global DNA methylation of human placenta. Environ. Mol. Mutagenesis 2014, 56, 286–292. [Google Scholar] [CrossRef]
- Kim, Y.A.; Kho, Y.; Chun, K.-C.; Koh, J.W.; Park, J.W.; Bunderson-Schelvan, M.; Cho, Y.H. Increased Urinary Phthalate Levels in Women with Uterine Leiomyoma: A Case-Control Study. Int. J. Environ. Res. Public Health 2016, 13, 1247. [Google Scholar] [CrossRef]
- Watkins, D.J.; Eliot, M.; Sathyanarayana, S.; Calafat, A.M.; Yolton, K.; Lanphear, B.P.; Braun, J.M. Variability and Predictors of Urinary Concentrations of Phthalate Metabolites during Early Childhood. Environ. Sci. Technol. 2014, 48, 8881–8890. [Google Scholar] [CrossRef]
- Hartopo, A.B.; Puspitawati, I.; Gharini, P.P.; Setianto, B.Y. Platelet microparticle number is associated with the extent of my-ocardial damage in acute myocardial infarction. Arch. Med. Sci. 2016, 12, 529–537. [Google Scholar] [CrossRef] [PubMed]
- Yel, S.; Dursun, İ.; Çetin, F.; Baştuğ, F.; Tülpar, S.; Düşünsel, R.; Gündüz, Z.; Poyrazoğlu, H.; Yılmaz, K. Increased circulating endothelial microparticles in children with fmf. Biomarkers 2018, 23, 558–562. [Google Scholar] [CrossRef] [PubMed]
- Pastore, I.; Bolla, A.M.; Montefusco, L.; Lunati, M.E.; Rossi, A.; Assi, E.; Zuccotti, G.V.; Fiorina, P. The Impact of Diabetes Mellitus on Cardiovascular Risk Onset in Children and Adolescents. Int. J. Mol. Sci. 2020, 21, 4928. [Google Scholar] [CrossRef] [PubMed]
- Oda, N.; Kajikawa, M.; Maruhashi, T.; Kishimoto, S.; Yusoff, F.M.; Goto, C.; Nakashima, A.; Tomiyama, H.; Takase, B.; Yamashina, A.; et al. Endothelial function is preserved in light to moderate alcohol drinkers but is impaired in heavy drinkers in women: Flow-mediated Dilation Japan (FMD-J) study. PLoS ONE 2020, 15, e0243216. [Google Scholar] [CrossRef]
- Sangha, G.S.; Goergen, C.J.; Ranadive, S.M.; Prior, S.J.; Clyne, A.M. Preclinical Techniques to Investigate Exercise Training in Vascular Pathophysiology. Am. J. Physiol. Circ. Physiol. 2021. [Google Scholar] [CrossRef] [PubMed]
- Cooper, D.C.; Milic, M.S.; Mills, P.J.; Bardwell, W.A.; Ziegler, M.G.; Dimsdale, J.E. Endothelial function: The impact of objec-tive and subjective socioeconomic status on flow-mediated dilation. Ann. Behav. Med. 2010, 39, 222–231. [Google Scholar] [CrossRef] [PubMed]
- Burnouf, T.; Goubran, H.A.; Chou, M.-L.; Devos, D.; Radosevic, M. Platelet microparticles: Detection and assessment of their paradoxical functional roles in disease and regenerative medicine. Blood Rev. 2014, 28, 155–166. [Google Scholar] [CrossRef]
- Deng, F.; Wang, S.; Zhang, L. Endothelial microparticles act as novel diagnostic and therapeutic biomarkers of circulatory hypoxia-related diseases: A literature review. J. Cell. Mol. Med. 2017, 21, 1698–1710. [Google Scholar] [CrossRef]
- Cardama, A.L.; De Quirós, A.R.B.; Bustos, J.; Lomo, M.L.; Losada, P.P.; Sendón, R. Estimation of Dietary Exposure to Contaminants Transferred from the Packaging in Fatty Dry Foods Based on Cereals. Foods 2020, 9, 1038. [Google Scholar] [CrossRef]
- European Commission; Office for Official Publications of the European Community. European Union Risk Assessment Report BIS(2-ETHYLHEXYL) PHTHALATE (DEHP). 2008. Available online: https://echa.europa.eu/documents/10162/e614617d-58e7-42d9-b7fb-d7bab8f26feb (accessed on 5 December 2020).
- Fierens, T.; Standaert, A.; Cornelis, C.; Sioen, I.; De Henauw, S.; Willems, H.; Bellemans, M.; De Maeyer, M.; Van Holderbeke, M. A semi-probabilistic modelling approach for the estimation of dietary exposure to phthalates in the belgian adult popula-tion. Environ. Int. 2014, 73, 117–127. [Google Scholar] [CrossRef]
- Huang, P.-C.; Tsai, C.-H.; Liang, W.-Y.; Li, S.-S.; Pan, W.-H.; Chiang, H.-C. Age and Gender Differences in Urinary Levels of Eleven Phthalate Metabolites in General Taiwanese Population after a DEHP Episode. PLoS ONE 2015, 10, e0133782. [Google Scholar] [CrossRef]
- Zhao, J.F.; Hsiao, S.H.; Hsu, M.H.; Pao, K.C.; Kou, Y.R.; Shyue, S.K.; Lee, T.S. Di-(2-ethylhexyl) phthalate accelerates athero-sclerosis in apolipoprotein e-deficient mice. Arch. Toxicol. 2016, 90, 181–190. [Google Scholar] [CrossRef]
- Su, T.-C.; Hwang, J.-J.; Sun, C.-W.; Wang, S.-L. Urinary phthalate metabolites, coronary heart disease, and atherothrombotic markers. Ecotoxicol. Environ. Saf. 2019, 173, 37–44. [Google Scholar] [CrossRef] [PubMed]
- Ferguson, K.K.; Cantonwine, D.E.; Rivera-González, L.O.; Loch-Caruso, R.; Mukherjee, B.; Del Toro, L.V.A.; Jiménez-Vélez, B.; Calafat, A.M.; Ye, X.; Alshawabkeh, A.N.; et al. Urinary Phthalate Metabolite Associations with Biomarkers of Inflammation and Oxidative Stress Across Pregnancy in Puerto Rico. Environ. Sci. Technol. 2014, 48, 7018–7025. [Google Scholar] [CrossRef] [PubMed]
- Shiue, I. Urine phthalate concentrations are higher in people with stroke: United states national health and nutrition exami-nation surveys (nhanes), 2001–2004. Eur. J. Neurol. 2013, 20, 728–731. [Google Scholar] [CrossRef] [PubMed]
- Osman, A.M.; van Dartel, D.A.; Zwart, E.; Blokland, M.; Pennings, J.L.; Piersma, A.H. Proteome profiling of mouse embry-onic stem cells to define markers for cell differentiation and embryotoxicity. Reprod. Toxicol. 2010, 30, 322–332. [Google Scholar] [CrossRef]
- Dursun, I.; Düsünsel, R.; Poyrazoglu, H.M.; Gunduz, Z.; Patıroglu, T.; Ülger, H.; Gurgoze, M.K. Circulating endothelial mi-croparticles in children with henoch–schönlein purpura; preliminary results. Rheumatol. Int. 2011, 31, 1595–1600. [Google Scholar] [CrossRef]
- Dursun, I.; Poyrazoglu, H.M.; Gunduz, Z.; Ulger, H.; Yýkýlmaz, A.; Dusunsel, R.; Patýroglu, T.; Gurgoze, M. The relation-ship between circulating endothelial microparticles and arterial stiffness and atherosclerosis in children with chronic kidney disease. Nephrol. Dial. Transplant. 2009, 24, 2511–2518. [Google Scholar] [CrossRef]
- Gündüz, Z.; Dursun, İ.; Tülpar, S.; Baştuğ, F.; Baykan, A.; Yıkılmaz, A.; Patıroğlu, T.; Poyrazoglu, H.M.; Akın, L.; Yel, S. In-creased endothelial microparticles in obese and overweight children. J. Pediatric Endocrinol. Metab. 2012, 25, 1111–1117. [Google Scholar] [CrossRef]
- Yang, G.; Zhou, X.; Wang, J.; Zhang, W.; Zheng, H.; Lu, W.; Yuan, J. MEHP-induced oxidative DNA damage and apoptosis in HepG2 cells correlates with p53-mediated mitochondria-dependent signaling pathway. Food Chem. Toxicol. 2012, 50, 2424–2431. [Google Scholar] [CrossRef] [PubMed]
- Trasande, L.; Sathyanarayana, S.; Trachtman, H. Dietary phthalates and low-grade albuminuria in us children and adoles-cents. Clin. J. Am. Soc. Nephrol. 2014, 9, 100–109. [Google Scholar] [CrossRef] [PubMed]
- Yang, J.; Hauser, R.; Goldman, R.H. Taiwan food scandal: The illegal use of phthalates as a clouding agent and their contri-bution to maternal exposure. Food Chem. Toxicol. 2013, 58, 362–368. [Google Scholar] [CrossRef]
- Bammert, T.D.; Hijmans, J.G.; Kavlich, P.J.; Lincenberg, G.M.; Reiakvam, W.R.; Fay, R.T.; Greiner, J.J.; Stauffer, B.L.; DeSou-za, C.A. Influence of sex on the number of circulating endothelial microparticles and microrna expression in middle-aged adults. Exp. Physiol. 2017, 102, 894–900. [Google Scholar] [CrossRef]
- Enjeti, A.K.; Ariyarajah, A.; D’Crus, A.; Seldon, M.; Lincz, L.F. Circulating microvesicle number, function and small rna con-tent vary with age, gender, smoking status, lipid and hormone profiles. Thromb. Res. 2017, 156, 65–72. [Google Scholar] [CrossRef] [PubMed]
- Vafeiadi, M.; Myridakis, A.; Roumeliotaki, T.; Margetaki, K.; Chalkiadaki, G.; Dermitzaki, E.; Venihaki, M.; Sarri, K.; Vassilaki, M.; Leventakou, V.; et al. Association of Early Life Exposure to Phthalates With Obesity and Cardiometabolic Traits in Childhood: Sex Specific Associations. Front. Public Health 2018, 6, 327. [Google Scholar] [CrossRef] [PubMed]
- Buser, M.C.; Murray, H.E.; Scinicariello, F. Age and sex differences in childhood and adulthood obesity association with phthalates: Analyses of NHANES 2007–2010. Int. J. Hyg. Environ. Health 2014, 217, 687–694. [Google Scholar] [CrossRef] [PubMed]


| Characteristics | N | ΣDEHP | MnBP |
|---|---|---|---|
| 697 | 0.23 (0.21–0.25) | 38.99 (36.47–41.68) | |
| Age | |||
| 12–19 | 204 | 0.25 (0.22–0.28) | 40.01 (35.53–45.05) |
| 20–30 | 493 | 0.22 (0.20–0.24) | 38.58 (35.58–41.82) |
| Gender | |||
| Male | 261 | 0.20 c (0.17–0.22) | 35.23 c (31.53–39.36) |
| Female | 436 | 0.25 c (0.23–0.28) | 41.43 c (38.12–45.03) |
| Hypertension | |||
| Yes | 62 | 0.27 (0.20–0.36) | 43.84 (34.88–55.12) |
| No | 635 | 0.23 (0.21–0.24) | 38.55 (35.94–41.34) |
| Diabetes mellitus | |||
| Yes | 17 | 0.35 b (0.23–0.52) | 45.78 (30.26–69.24) |
| No | 680 | 0.23 b (0.21–0.25) | 38.83 (36.29–41.56) |
| Total cholesterol (mg/dL) | |||
| <200 | 154 | 0.21 (0.18–0.25) | 41.96 (36.80–47.85) |
| ≥200 | 543 | 0.23 (0.22–0.25) | 38.19 (35.34–41.25) |
| Body mass index (kg/m2) | |||
| <24 | 544 | 0.22 b (0.20–0.24) | 36.64 c (33.94–39.55) |
| ≥24 | 153 | 0.26 b (0.23–0.31) | 48.65 c (42.67–55.47) |
| Smoking status | |||
| Non-active smoker | 579 | 0.24 (0.22–0.26) | 39.84 (37.06–42.82) |
| Active smoker | 118 | 0.21 (0.17–0.25) | 35.09 (29.51–41.72) |
| Alcohol consumption | |||
| Yes | 44 | 0.21 (0.16–0.28) | 39.79 (31.08–50.94) |
| No | 653 | 0.23 (0.21–0.25) | 38.94 (36.33–41.74) |
| Physical activity | |||
| Yes | 508 | 0.22 (0.20–0.24) | 38.46 (35.57–41.59) |
| No | 189 | 0.25 (0.22–0.29) | 40.44 (35.54–46.03) |
| Household income | |||
| <50,000 NTD/month | 260 | 0.24 (0.21–0.27) | 36.84 (32.54–41.71) |
| ≥50,000 NTD/month | 437 | 0.22 (0.21–0.25) | 40.33 (37.34–43.55) |
| Ln-ΣDEHP | Ln-MnBP | |||||||
|---|---|---|---|---|---|---|---|---|
| Ln-EMPs | p-Value | Ln-PMPs | p-Value | Ln-EMPs | p-Value | Ln-PMPs | p-Value | |
| Overall | 0.236 (0.046) | <0.001 | 0.186 (0.065) | 0.005 | 0.208 (0.052) | <0.001 | 0.036 (0.074) | 0.626 |
| Age | ||||||||
| 12–19 | 0.257 (0.102) | 0.013 | 0.174 (0.129) | 0.177 | 0.299 (0.103) | 0.004 | 0.078 (0.131) | 0.544 |
| 20–30 | 0.211 (0.053) | <0.001 | 0.171 (0.077) | 0.026 | 0.161 (0.062) | 0.010 | −0.004 (0.089) | 0.964 |
| Gender | ||||||||
| Male | 0.231 (0.073) | 0.002 | 0.138 (0.110) | 0.210 | 0.246 (0.082) | 0.003 | −0.045 (0.124) | 0.714 |
| Female | 0.233 (0.060) | <0.001 | 0.220 (0.081) | 0.007 | 0.183 (0.069) | 0.008 | 0.083 (0.923) | 0.367 |
| Hypertension | ||||||||
| No | 0.288 (0.049) | <0.001 | 0.171 (0.069) | 0.014 | 0.210 (0.054) | <0.001 | 0.051 (0.077) | 0.508 |
| Yes | 0.273 (0.166) | 0.107 | 0.321 (0.214) | 0.140 | 0.133 (0.226) | 0.560 | −0.063 (0.291) | 0.829 |
| Diabetes mellitus | ||||||||
| No | 0.228 (0.046) | <0.001 | 0.177 (0.066) | 0.007 | 0.208 (0.052) | <0.001 | 0.032 (0.074) | 0.663 |
| Yes | 0.109 (1.052) | 0.921 | 1.323 (1.397) | 0.380 | −0.324 (0.584) | 0.599 | 0.177 (0.848) | 0.842 |
| Total cholesterol (mg/dL) | ||||||||
| <200 | 0.210 (0.051) | <0.001 | 0.141 (0.071) | 0.049 | 0.188 (0.056) | <0.001 | 0.009 (0.078) | 0.906 |
| ≥200 | 0.349 (0.114) | 0.003 | 0.384 (0.167) | 0.023 | 0.323 (0.140) | 0.022 | 0.192 (0.205) | 0.351 |
| BMI status(kg/m2) | ||||||||
| <24 | 0.159 (0.053) | 0.003 | 0.135 (0.072) | 0.062 | 0.171 (0.058) | 0.004 | 0.059 (0.080) | 0.464 |
| ≥24 | 0.515 (0.103) | <0.001 | 0.432 (0.160) | 0.008 | 0.406 (0.129) | 0.002 | 0.008 (0.195) | 0.967 |
| Smoking status | ||||||||
| Non-active smoker | 0.236 (0.052) | <0.001 | 0.158 (0.073) | 0.032 | 0.180 (0.059) | 0.002 | 0.0004 (0.082) | 0.995 |
| Active smoker | 0.224 (0.107) | 0.039 | 0.278 (0.159) | 0.082 | 0.336 (0.116) | 0.005 | 0.205 (0.177) | 0.248 |
| Alcoholic consumption | ||||||||
| No | 0.228 (0.048) | <0.001 | 0.196 (0.066) | 0.003 | 0.200 (0.053) | <0.001 | 0.049 (0.074) | 0.509 |
| Yes | 0.360 (0.228) | 0.123 | −0.039 (0.404) | 0.923 | 0.422 (0.256) | 0.109 | −0.225 (0.454) | 0.623 |
| Physical activity | ||||||||
| No | 0.268 (0.082) | 0.001 | 0.308 (0.115) | 0.008 | 0.141 (0.097) | 0.148 | −0.010 (0.136) | 0.940 |
| Yes | 0.222 (0.056) | <0.001 | 0.131 (0.079) | 0.098 | 0.218 (0.063) | <0.001 | 0.030 (0.088) | 0.730 |
| Household income | ||||||||
| <50,000 NTD/month | 0.242 (0.071) | <0.001 | 0.164 (0.101) | <0.105 | 0.167 (0.079) | <0.036 | −0.082 (0.110) | 0.459 |
| ≥50,000 NTD/month | 0.232 (0.062) | <0.001 | 0.182 (0.087) | 0.037 | 0.239 (0.071) | <0.001 | 0.102 (0.100) | 0.308 |
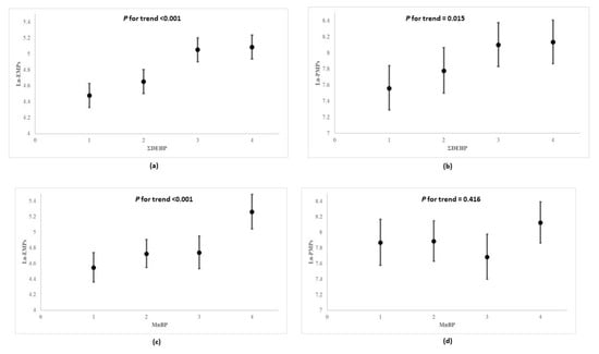
| Phthalate metabolites | EMPs | |||||
| Quartile 1 (n = 173) | Quartile 2 (n = 176) | Quartile 3 (n = 172) | Quartile 4 (n = 176) | p-1 value b | p-2 value c | |
| <52.86 | 52.86–145.71 | 145.71–364.29 | >364.29 | |||
| ΣDEHP | 0.206 (0.016) | 0.194 (0.014) | 0.226 (0.017) | 0.310 (0.022) | <0.001 | <0.001 |
| MnBP | 34.811 (2.425) | 32.980 (2.291) | 42.093 (2.723) | 47.813 (3.096) | <0.001 | <0.001 |
| PMPs | ||||||
| Quartile 1 (n = 173) | Quartile 2 (n = 176) | Quartile 3 (n = 172) | Quartile 4 (n = 176) | p-1 value b | p-2 value c | |
| <1062.86 | 1062.86–3628.57 | 3628.57–12040.0 | >12040.0 | |||
| ΣDEHP | 0.195 (0.015) | 0.218 (0.015) | 0.251 (0.020) | 0.262 (0.020) | 0.0150 | 0.0026 |
| MnBP | 36.250 (2.255) | 40.35 (2.676) | 41.861 (3.295) | 37.704 (2.388) | 0.4776 | 0.4826 |
| Phthalate Metabolites | Microparticles | |||
|---|---|---|---|---|
| EMPs d | PMPs d | |||
| p-value | p-value | |||
| ΣDEHP | 1.258 (1.122, 1.411) | <0.001 | 1.263 (1.072, 1.488) | 0.005 |
| MnBP | 1.144 (1.022, 1.281) | 0.017 | 0.958 (0.816, 1.124) | 0.594 |
Publisher’s Note: MDPI stays neutral with regard to jurisdictional claims in published maps and institutional affiliations. |
© 2021 by the authors. Licensee MDPI, Basel, Switzerland. This article is an open access article distributed under the terms and conditions of the Creative Commons Attribution (CC BY) license (http://creativecommons.org/licenses/by/4.0/).
Share and Cite
Chu, P.-C.; Wu, C.; Su, T.-C. Association between Urinary Phthalate Metabolites and Markers of Endothelial Dysfunction in Adolescents and Young Adults. Toxics 2021, 9, 33. https://doi.org/10.3390/toxics9020033
Chu P-C, Wu C, Su T-C. Association between Urinary Phthalate Metabolites and Markers of Endothelial Dysfunction in Adolescents and Young Adults. Toxics. 2021; 9(2):33. https://doi.org/10.3390/toxics9020033
Chicago/Turabian StyleChu, Po-Ching, Charlene Wu, and Ta-Chen Su. 2021. "Association between Urinary Phthalate Metabolites and Markers of Endothelial Dysfunction in Adolescents and Young Adults" Toxics 9, no. 2: 33. https://doi.org/10.3390/toxics9020033
APA StyleChu, P.-C., Wu, C., & Su, T.-C. (2021). Association between Urinary Phthalate Metabolites and Markers of Endothelial Dysfunction in Adolescents and Young Adults. Toxics, 9(2), 33. https://doi.org/10.3390/toxics9020033

