Ecotoxicological Monitoring of DSS Microorganisms and Quorum Sensing-Mediated Behavior Control over Metal Corrosion of Al, Zn and Fe
Abstract
1. Introduction
2. General Experimental Design
2.1. Analytical Methods
2.2. Preparation of Metal Samples
2.3. Materials and Methods
2.3.1. Preparation of Diatoms Suspension
2.3.2. Preparation of Yeast Suspension Saccharomyces sp.
2.3.3. Preparation of Algal Suspension Spirulina sp.
2.4. The Research Method
2.4.1. Monitoring of Ph, Oxygen and Electrical Conductivity Evolution
2.4.2. Total Dissolved Solids (TDS) Assessment
2.4.3. Optical Density (OD600) and Viable Counts Measurements
2.4.4. Corrosion Volumetric Tests
2.4.5. Determination of Volumetric Index
2.4.6. Determination of Gravimetric Index and the Mass of Metal Consumed in the Corrosion Reaction
2.4.7. The Penetration Index
2.5. Statistical Data Process
3. Results and Discussion
3.1. Physicochemical Parameters: The Evolution of pH, Dissolved Oxygen (DO) Content, Conductivity, Total Dissolved Solids (TDS), Measured in Biological Cultures of DSS in the Presence of Al, Zn, and Fe
3.2. Biological Parameters: Optical Density (OD600), Viable Count Cells and McFarland Quantification
3.3. Biofilm Evolution: Quorum Sensing (QS) Control of Bioreactors Behaviors
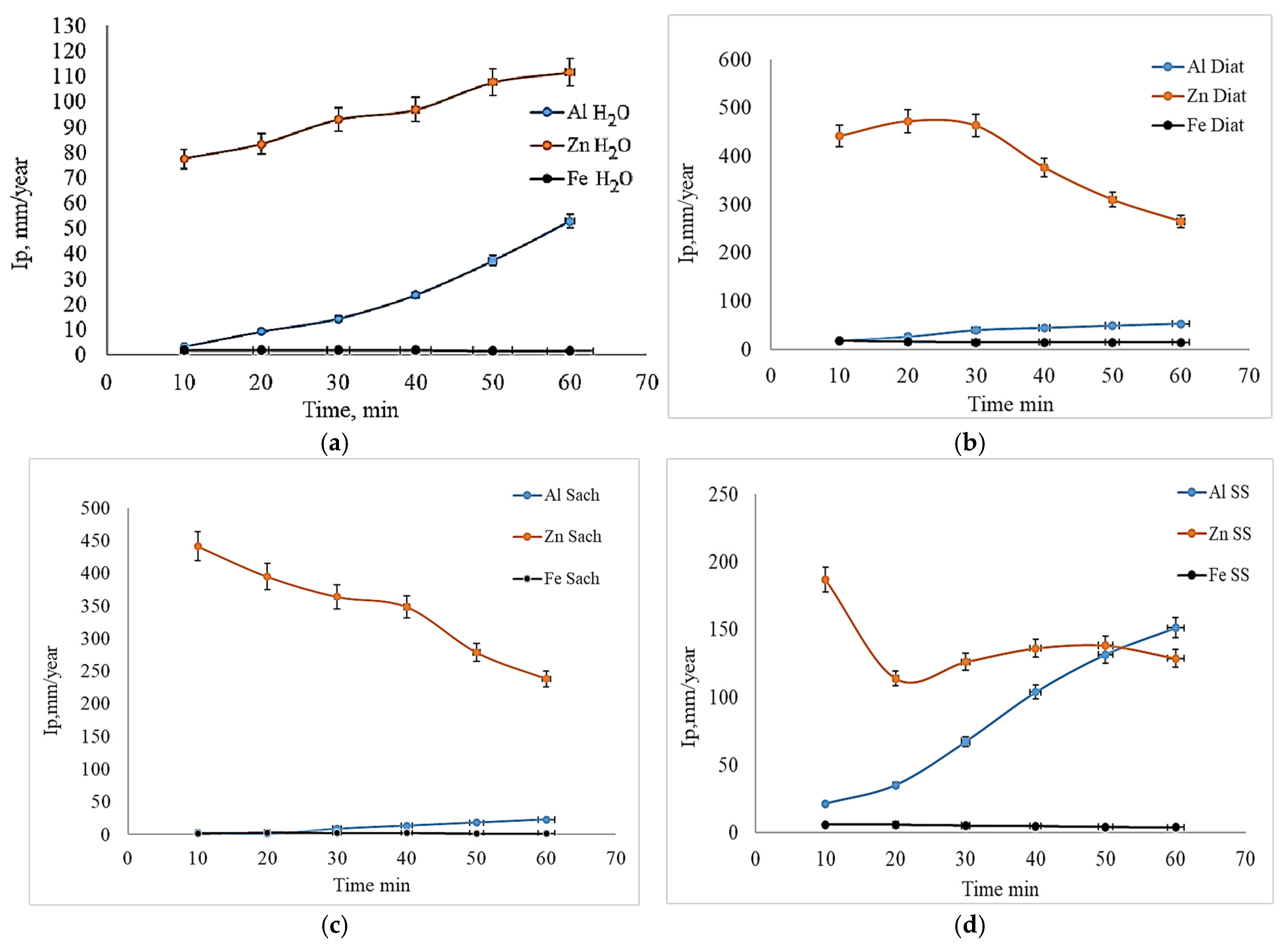
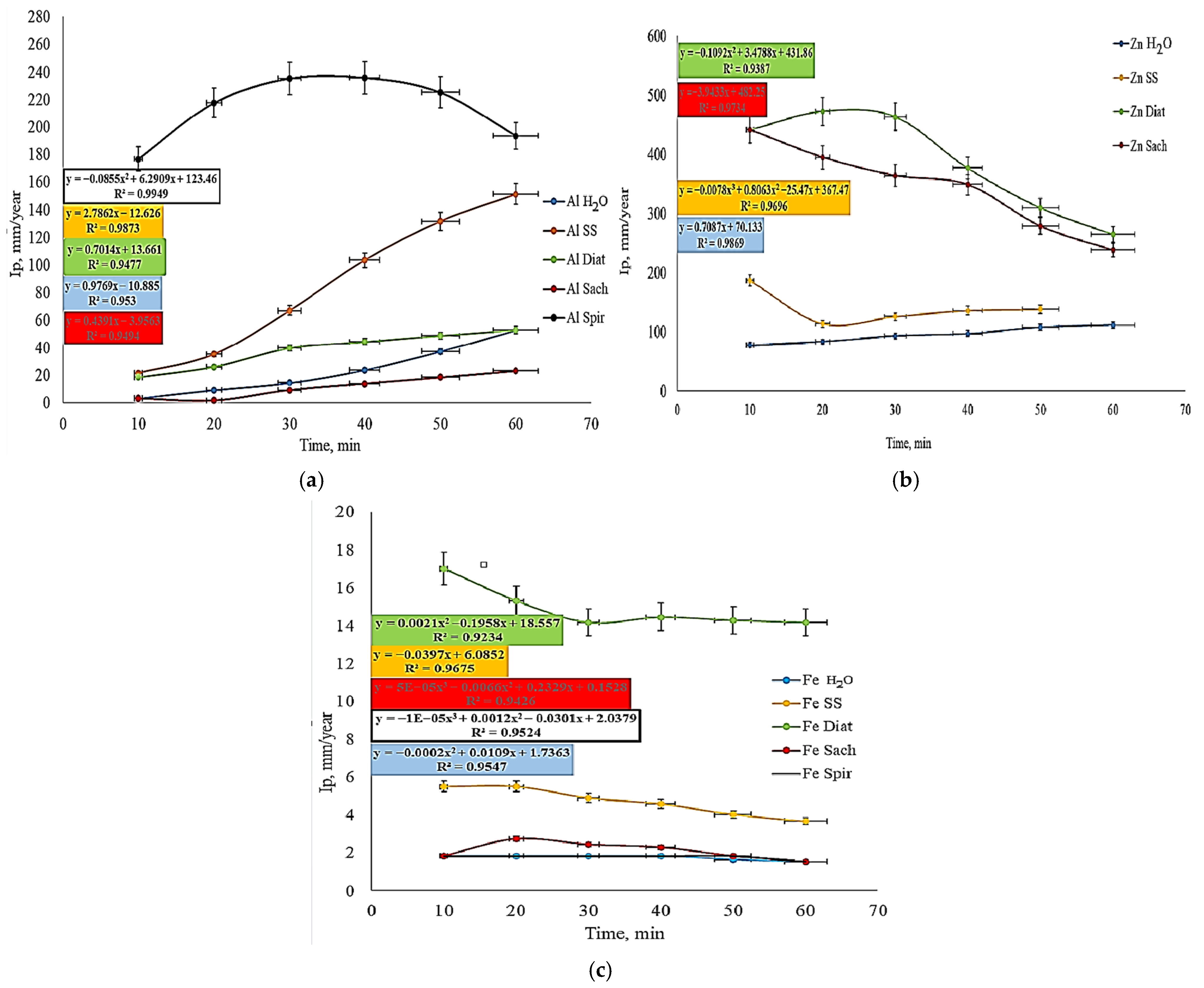
3.4. Corrosion Tests: Measurement of Volumetric Index, Hydrogen Release Volume, and Penetration Index (Ip)
3.5. Microscopic View: Optical and Scanning Electron Microscopy Examinations
4. Conclusions
Author Contributions
Funding
Institutional Review Board Statement
Informed Consent Statement
Data Availability Statement
Conflicts of Interest
Abbreviations
| DO | Dissolved oxygen |
| DSS | Diatoms, Saccharomyces, Spirulina |
| Ip | Penetration index |
| Ic | Corrosion index |
| Kg | Gravimetric index |
| OD600 | Optical density |
| QS | Quorum sensing |
| MIC | Microbiologically influenced corrosion |
| MM | Mineral medium |
| OECD | Guidelines for the testing of chemicals of the Organization for Economic Cooperation and Development |
References
- Costley, S.C.; Wallis, F.M. Bioremediation of heavy metals in a synthetic wastewater using a rotating biological contactor. Water Res. 2001, 35, 3715–3723. [Google Scholar] [CrossRef]
- Diaconu, M.; Soreanu, G.; Balan, C.D.; Buciscanu, I.I.; Maier, V.; Cretescu, I. Study of Spirulina platensis (Arthrospira) development under the heavy metals influence, as a potential promoter of wastewater remediation. Water 2023, 15, 3962. [Google Scholar] [CrossRef]
- European Environment Agency (EEA). Europe’s State of Water 2024: The Need for Improved Water Resilience; EEA Report 07/2024; Pérez-Burillo, J., Valoti, G., Eds.; European Environment Agency: Copenhagen, Denmark, 2024; Available online: https://www.eea.europa.eu/en/analysis/publications/europes-state-of-water-2024 (accessed on 12 December 2025).
- Masatlis, I.; Chatzis, A.; Zouboulis, A. Biofilm control in wastewater treatment: A review regarding the application of quorum sensing and quenching processes and future perspectives. Water 2026, 18, 77. [Google Scholar] [CrossRef]
- Ali, A.; Zahra, A.; Kamthan, M.; Husain, F.M.; Albalawi, T.; Zubair, M.; Alatawy, R.; Abid, M.; Noorani, S. Microbial biofilms: Applications, clinical consequences, and alternative therapies. Microorganisms 2023, 11, 1934. [Google Scholar] [CrossRef]
- Paluch, E.; Rewak-Soroczyńska, J.; Jędrusik, I.; Mazurkiewicz, E.; Jermakow, K. Prevention of biofilm formation by quorum quenching. Appl. Microbiol. Biotechnol. 2020, 104, 1871–1881. [Google Scholar] [CrossRef]
- NTPA-001/28.02.2002. Norms Concerning the Limits for Pollutant Loads in Industrial and Municipal Wastewater Discharged into Natural Receiving Bodies (in Romanian), 2002, M. Of., No. 187. Available online: https://legislatie.just.ro/Public/DetaliiDocumentAfis/98311 (accessed on 15 March 2026).
- Bezerra, I.P.Q.M.; Moraes, L.; Cardoso, L.G.; Druzian, J.I.; Morais, M.G.; Nunes, I.L. Spirulina sp. LEB 18 cultivation in seawater and reduced nutrients: Bioprocess strategy for increasing carbohydrates in biomass. Bioresour. Technol. 2020, 316, 123883. [Google Scholar] [CrossRef]
- Tian, B.-C.; Liu, G.-L.; Chi, Z.; Hu, Z.; Chi, Z.-M. Occurrence and distribution of strains of Saccharomyces cerevisiae in China Seas. J. Mar. Sci. Eng. 2021, 9, 590. [Google Scholar] [CrossRef]
- Pérez-Burillo, J.; Valoti, G.; Witkowski, A.; Prado, P.; Mann, D.G.; Trobajo, R. Assessment of marine benthic diatom communities: Insights from a combined morphological–metabarcoding approach in Mediterranean shallow coastal waters. Mar. Pollut. Bull. 2022, 174, 113183. [Google Scholar] [CrossRef]
- Dang, H.; Lovell, C.R. Microbial surface colonization and biofilm development in marine environments. Microbiol. Mol. Biol. Rev. 2015, 80, 91–138. [Google Scholar] [CrossRef]
- Cao, S.; Wang, J.; Chen, H.; Chen, D. Progress of marine biofouling and antifouling technologies. Chin. Sci. Bull. 2011, 56, 598–612. [Google Scholar] [CrossRef]
- McGoverin, C.; Steed, C.; Esan, A.; Robertson, J.; Swift, S.; Vanholsbeeck, F. Optical methods for bacterial detection and characterization. Appl. Photon. 2021, 6, 080903. [Google Scholar] [CrossRef]
- Mert, B.D.; Mert, M.E.; Kardaş, G.; Yazıcı, B. The role of Spirulina platensis on corrosion behavior of carbon steel. Mater. Chem. Phys. 2011, 130, 697–701. [Google Scholar] [CrossRef]
- Ahmed, M.A.; Amin, S.; Mohamed, A.A. Current and emerging trends of inorganic, organic and eco-friendly corrosion inhibitors. RSC Adv. 2024, 14, 31877–31920. [Google Scholar] [CrossRef]
- Bica, I.; Alboiu, I.N.; Iancu, I.; Dimache, A.; Stefanescu, M.; Voicu, A.; Lazaroaie, M.; Cirstea, D.; Onutu, I.; Petrisor, I.G. Innovative forensic assessment and remediation strategies for polluted aquifers. Environ. Forensics 2009, 10, 214–228. [Google Scholar] [CrossRef]
- Yap, C.K.; Ismail, A.; Omar, H.; Tan, S.G. Toxicities and tolerances of Cd, Cu, Pb and Zn in a primary producer (Isochrysis galbana) and in a primary consumer (Perna viridis). Environ. Int. 2004, 29, 1097–1104. [Google Scholar] [CrossRef]
- Azeez, P.A.; Banerjee, D.K. Nickel uptake and toxicity in cyanobacteria. Toxicol. Environ. Chem. 2008, 30, 43–50. [Google Scholar] [CrossRef]
- Harasim, P.; Filipek, T. Nickel in the environment. J. Elem. 2015, 20, 525–534. [Google Scholar] [CrossRef]
- Whiteley, M.; Diggle, S.P.; Greenberg, E.P. Progress in and promise of bacterial quorum sensing research. Nature 2017, 551, 313–320. [Google Scholar] [CrossRef]
- Crane, M.; Handy, R.D.; Garrod, J.; Owen, R. Ecotoxicity test methods and environmental hazard assessment for engineered nanoparticles. Ecotoxicology 2008, 17, 421–437. [Google Scholar] [CrossRef]
- Rangsayatorn, N.; Upatham, E.S.; Kruatrachue, M.; Pokethitiyook, P.; Lanza, G.R. Phytoremediation potential of Spirulina (Arthrospira) platensis: Biosorption and toxicity studies of cadmium. Environ. Pollut. 2002, 119, 45–53. [Google Scholar] [CrossRef]
- Bruins, M.R.; Kapil, S.; Oehme, F.W. Microbial resistance to metals in the environment. Ecotoxicol. Environ. Saf. 2000, 45, 198–207. [Google Scholar] [CrossRef]
- Chen, H.; Pan, S.S. Bioremediation potential of spirulina: Toxicity and biosorption studies of lead. J. Zhejiang Univ. Sci. 2005, 6, 171–174. [Google Scholar] [CrossRef]
- Organisation for Economic Co-operation and Development (OECD). Test No. 308: Aerobic and Anaerobic Transformation in Aquatic Sediment Systems; OECD: Paris, France, 2025. [Google Scholar]
- Zarnea, G. Microbiologie Generala; Ed. Didactica si Pedagogica: București, Romania, 1970. [Google Scholar]
- Microbiological Examination of Non-Sterile Products: Microbial Enumeration Tests <61>; USP 39-NF 34; United States Pharmacopeial Convention: Rockville, MD, USA, 2016; Available online: https://www.usp.org/sites/default/files/usp/document/harmonization/gen-method/q05b_pf_ira_34_6_2008.pdf (accessed on 15 March 2026).
- USP Chapter <1223> Validation of Alternative Microbiological Methods EP Chapter 5.1.6 Alternative Methods for Control of Microbiological Quality; Particle Measuring Systems, Inc.: Niwot, CO, USA, 2016.
- Sterility tests <71>, Chapter 2.6.12, 2.6.13. Microbiological Examination of Non-sterile Products- Microbial Enumeration Tests, European Pharmacopoeia, 2013 Edition. Available online: https://ehpm.org/wp-content/uploads/2022/04/QG22_2-6-12_Microbiological_examination_of_non-sterile_products-microbial_enumeration_tests_ep10-2.pdf (accessed on 15 March 2026).
- Popovici, D.R.; Gheorghe, C.G.; Dușescu-Vasile, C.M. Assessment of the Active Sludge microorganisms Population During Wastewater Treatment in a Micro-Pilot Plant. Bioengineering 2024, 11, 1306. [Google Scholar] [CrossRef]
- European Pharmacopoeia 6.0 Chapter 5.3. Statistical Analysis of Results of Biological Assays and Tests, 2008; 50300. Available online: http://www.uspbpep.com/ep60/5.3.%20%20statistical%20analysis%20of%20results%20of%20biological%20assays%20and%20tests%2050300e.pdf (accessed on 15 March 2026).
- Sayahi, N.; Othmani, B.; Mnif, W.; Algarni, Z.; Khadhraoui, M.; Ben Rebah, F. Microbial extracellular polymeric substances as corrosion inhibitors. Surfaces 2025, 8, 49. [Google Scholar] [CrossRef]
- Unsal, T.; Yucel, S.; Rabba, D.O.; Aksu, A.; Taskin, O.S.; Cetintasoglu, M.E.; Bilgin, R.; Korkmaz, N.; Ilhan, E.B.B.; Dur, O.; et al. Microbiologically influenced corrosion of aerospace aluminum alloys. Microorganisms 2025, 13, 2555. [Google Scholar] [CrossRef]
- Petrucciani, A.; Amato, A.; Norici, A.; Dibenedetto, A.; Aresta, M. Life cycle assessment of diatom frustule production: A multitask bio-material. Algal Res. 2025, 92, 104353. [Google Scholar] [CrossRef]
- Davidovich, N.A.; Mouget, J.-L.; Gaudin, P. Heterothallism in the pennate diatom Haslea ostrearia. Eur. J. Phycol. 2009, 44, 251–261. [Google Scholar] [CrossRef][Green Version]
- Kourtchenko, O.; Rajala, T.; Godhe, A. Growth of a common planktonic diatom quantified using solid medium culturing. Sci. Rep. 2018, 8, 9757. [Google Scholar] [CrossRef]
- Wolff, D.; Krah, D.; Dötsch, A.; Ghattas, A.; Wick, A.; Ternes, T. Insights into the variability of microbial community composition and micropollutant degradation in diverse biological wastewater treatment systems. Water Res. 2018, 143, 313–324. [Google Scholar] [CrossRef]
- Butler, B.A.; Ford, R.G. Evaluating relationships between total dissolved solids (TDS) and total suspended solids (TSS) in a mining-influenced watershed. Mine Water Environ. 2018, 37, 18–30. [Google Scholar] [CrossRef]
- Dolatabadi, S.; Hosseini, S.A. Wastewater treatment using Spirulina platensis. J. Chem. Bio. Phys. Sci. Sec. D 2016, 6, 1239–1246. [Google Scholar]
- ISO 18749:2004; Water Quality—Adsorption of Substances on Activated Sludge—Batch Test Using Specific Analytical Methods. ISO: Geneva, Switzerland, 2004.
- Adl, S.M.; Bass, D.; Lane, C.E.; Lukeš, J.; Schoch, C.L.; Smirnov, A.; Agatha, S.; Berney, C.; Brown, M.W.; Burki, F.; et al. Revisions to the Classification, Nomenclature, and Diversity of Eukaryotes. J. Eukaryot. Microbiol. 2018, 66, 4–119. [Google Scholar] [CrossRef]
- Vaulot, D.; Bilcke, G.; Chaerle, P.; Falciatore, A.; Gourvil, P.; Lomas, M.W.; Probert, I.; Vyverman, W. Culturing Diatoms. In Diatom Photosynthesis; Goessling, J.W., Serôdio, J., Lavaud, J., Eds.; John Wiley & Sons, Inc.: Hoboken, NJ, USA, 2024; pp. 391–424. Available online: https://onlinelibrary.wiley.com/doi/10.1002/9781119842156.ch14 (accessed on 14 March 2026).
- EPA Office of Chemical Safety and Pollution Prevention. OCSPP 850.1000 Ecological Effects Test Guidelines; EPA Office of Chemical Safety and Pollution Prevention: Washington, DC, USA, 2016.
- JCGM 100:2008; Evaluation of Measurement Data: Guide to the Expression of Uncertainty in Measurement. European Pharmacopoeia: Strasbourg, France, 2008.
- Branzoi, I.V.; Branzoi, F.; Pilan, L. Caracteristici Generale Privind Coroziunea si Protectia Anticoroziva a Metalelor; Ed. Printech: București, Romania, 2006. [Google Scholar]
- Chen, X.; Liu, K.; Liu, Q.; Kong, J.; Cristino, V.A.M.; Lo, K.-H.; Xie, Z.; Wang, Z.; Song, D.; Kwok, C.-T. Influence of Zn content on the corrosion behaviour of Al-Si-Mg-Fe-Zn alloys. Materials 2025, 18, 3306. [Google Scholar] [CrossRef]
- Saini, S.; Tewari, S.; Dwivedi, J.; Sharma, V. Biofilm-mediated wastewater treatment: A comprehensive review. Mater. Adv. 2023, 4, 1415–1443. [Google Scholar] [CrossRef]
- Council of the European Union. Directive 2000/60/EC of the European Parliament: Establishing a Framework for Community Action in the Field of Water Policy; Official Journal of the European Union Communities: Brussels, Belgium, 2000. [Google Scholar]
- Rodrigues, L.S.; do Valle, A.F.; D’Elia, E. Biomass of Spirulina maxima as a corrosion inhibitor for 1020 carbon steel in acidic solution. Int. J. Electrochem. Sci. 2018, 7, 6169–6189. [Google Scholar] [CrossRef]
- Xiong, H.; Zhou, X.; Cao, Z.; Xu, A.; Dong, W.; Jiang, M. Microbial biofilms as a platform for diverse biocatalytic applications. Bioresour. Technol. 2024, 411, 131302. [Google Scholar] [CrossRef]
- Eshamuddin, M.; Zuccaro, G.; Nourrit, G.; Albasi, C. The influence of process operating conditions on microbial community 14 in moving bed biofilm reactors. J. Environ. Chem. Eng. 2024, 12, 113266. [Google Scholar] [CrossRef]
- Guiry, M.D.; Guiry, G.M.; Morrison, L.; Rindi, F.; Miranda, S.V.; Mathieson, A.C.; Parker, B.C.; Langangen, A.; John, D.M.; Bárbara, I.; et al. AlgaeBase: An On-line Resource for Algae. Cryptogam. Algol. 2014, 35, 105–115. [Google Scholar] [CrossRef]
- Khan, M.S.; Yang, K.; Liu, Z.; Zhou, L.; Liu, W.; Lin, S.; Wang, X.; Shang, C. Microorganisms involved in the biodegradation and microbiological corrosion of structural materials. Coatings 2023, 13, 1683. [Google Scholar] [CrossRef]
- Liu, N.; Qiu, L.; Qiu, L. Carbon steel corrosion induced by sulfate-reducing bacteria: A review. Coatings 2024, 14, 1105. [Google Scholar] [CrossRef]
- Sun, J.; Cheng, J.; Yang, Z.; Li, K.; Zhou, J.; Cen, K. Microstructures and functional groups of Nannochloropsis sp. cells with arsenic adsorption and lipid accumulation. Bioresour. Technol. 2015, 194, 305–311. [Google Scholar] [CrossRef]
- Giorgi, F.; Curran, J.M.; Patterson, E.A. Real-time monitoring of the dynamics and interactions of bacteria and the early-stage formation of biofilms. Sci. Rep. 2022, 12, 18146. [Google Scholar] [CrossRef]
- Etim, I.-I.N.; Dong, J.; Wei, J.; Nan, C.; Daniel, E.F.; Subedi, D.B.; Xu, D.; Yadav, A.P.; Su, M.; Ke, W. Mitigation of sulphate-reducing bacteria attack on the corrosion of 20SiMn steel rebar in sulphoaluminate concrete using organic silicon quaternary ammonium salt. Constr. Build. Mater. 2020, 257, 119047. [Google Scholar] [CrossRef]
- Mahesh, P.P.; Kolape, J.; Sultana, H.; Neelakanta, G. McFarland standards-based spectrophotometry method for calculating approximate multiplicity of infection for an obligate intracellular bacterium Anaplasma phagocytophilum. Microorganisms 2025, 13, 662. [Google Scholar] [CrossRef] [PubMed]
- Jung, C.H.G.; Braune, S.; Waldeck, P.; Küpper, J.-H.; Petrick, I.; Jung, F. Morphology and growth of Arthrospira platensis during cultivation in a flat-type bioreactor. Life 2021, 11, 536. [Google Scholar] [CrossRef] [PubMed]
- Macfie, S.M.; Welbourn, P.M. The cell wall as a barrier to uptake of metal ions in the unicellular green alga Chlamydomonas reinhardtii (Chlorophyceae). Arch. Environ. Contam. Toxicol. 2014, 39, 413–419. [Google Scholar] [CrossRef]
- Choudhary, M.; Jetley, U.K.; Khan, M.A.; Zlutshi, S.; Fatma, T. Effect of heavy metal stress on proline, malondialdehyde, and superoxide dismutase activity in the cyanobacterium Spirulina platensis-S5. Ecotoxicol. Environ. Saf. 2007, 66, 204–209. [Google Scholar] [CrossRef]
- Giner-Lamia, J.; Pereira, S.B.; Bovea-Marco, M.; Futschik, M.E.; Tamagnini, P.; Oliveira, P. Extracellular proteins: Novel key components of metal resistance in cyanobacteria? Front. Microbiol. 2016, 7, 878. [Google Scholar] [CrossRef]
- Andrade, L.R.; Leal, R.N.; Noseda, M.; Duarte, M.E.; Pereira, M.S.; Mourão, P.A.; Farina, M.; Amado Filho, G.M. Brown algae overproduce cell wall polysaccharides as a protection mechanism against the heavy metal toxicity. Mar. Pollut. Bull. 2010, 60, 1482–1488. [Google Scholar] [CrossRef] [PubMed]
- Leong, Y.K.; Chang, J.S. Bioremediation of heavy metals using microalgae: Recent advances and mechanisms. Bioresour. Technol. 2020, 303, 122886. [Google Scholar] [CrossRef]















| Bioreactors | Metal Plate | Series | ||||
|---|---|---|---|---|---|---|
| 1 AlH2O | 4 Alss | 7 AlDiat | 10 AlSach | 13 AlSpir | Al | A |
| 2 ZnH2O | 5 Znss | 8 ZnDiat | 11 ZnSach | 14 ZnSpir | Zn | B |
| 3 FeH2O | 6 Fess | 9 FeDiat | 12 FeSach | 15 FeSpir | Fe | C |
| Reaction Environment | ||||||
| H2O | NaCl 3% | Diatoms | Saccharomyces c. | Spirulina p. | ||
Disclaimer/Publisher’s Note: The statements, opinions and data contained in all publications are solely those of the individual author(s) and contributor(s) and not of MDPI and/or the editor(s). MDPI and/or the editor(s) disclaim responsibility for any injury to people or property resulting from any ideas, methods, instructions or products referred to in the content. |
© 2026 by the authors. Licensee MDPI, Basel, Switzerland. This article is an open access article distributed under the terms and conditions of the Creative Commons Attribution (CC BY) license.
Share and Cite
Dragomir, R.E.; Gheorghe, C.G.; Dușescu-Vasile, C.M.; Manta, A.-M.; Movileanu, D.L.; Bombos, D. Ecotoxicological Monitoring of DSS Microorganisms and Quorum Sensing-Mediated Behavior Control over Metal Corrosion of Al, Zn and Fe. Toxics 2026, 14, 297. https://doi.org/10.3390/toxics14040297
Dragomir RE, Gheorghe CG, Dușescu-Vasile CM, Manta A-M, Movileanu DL, Bombos D. Ecotoxicological Monitoring of DSS Microorganisms and Quorum Sensing-Mediated Behavior Control over Metal Corrosion of Al, Zn and Fe. Toxics. 2026; 14(4):297. https://doi.org/10.3390/toxics14040297
Chicago/Turabian StyleDragomir, Raluca Elena, Catalina Gabriela Gheorghe, Cristina Maria Dușescu-Vasile, Ana-Maria Manta, Daniela Luminita Movileanu, and Dorin Bombos. 2026. "Ecotoxicological Monitoring of DSS Microorganisms and Quorum Sensing-Mediated Behavior Control over Metal Corrosion of Al, Zn and Fe" Toxics 14, no. 4: 297. https://doi.org/10.3390/toxics14040297
APA StyleDragomir, R. E., Gheorghe, C. G., Dușescu-Vasile, C. M., Manta, A.-M., Movileanu, D. L., & Bombos, D. (2026). Ecotoxicological Monitoring of DSS Microorganisms and Quorum Sensing-Mediated Behavior Control over Metal Corrosion of Al, Zn and Fe. Toxics, 14(4), 297. https://doi.org/10.3390/toxics14040297

