Simultaneous Removal of Organic Pollutants and Pathogens from Stormwater by an Enhanced Ecological Gabion
Abstract
1. Introduction
2. Materials and Methods
2.1. Experimental Setup
2.2. Physicochemical Analysis
2.3. Propidium Monoazide (PMA) Treatment, Deoxyribonucleic Acid (DNA) Extraction, and qPCR Procedures
2.4. Analysis of Spectrometric Determination
2.5. Multivariate Statistical Analysis
3. Results
3.1. Water Quality Comparison: Traditional vs. Ecological Gabions
3.2. Removal of Particulate and Dissolved Organic Carbon
3.2.1. Removal of Total Contents of POC and DOC
3.2.2. Removal of DOC Components
3.2.3. Removal of POC Components
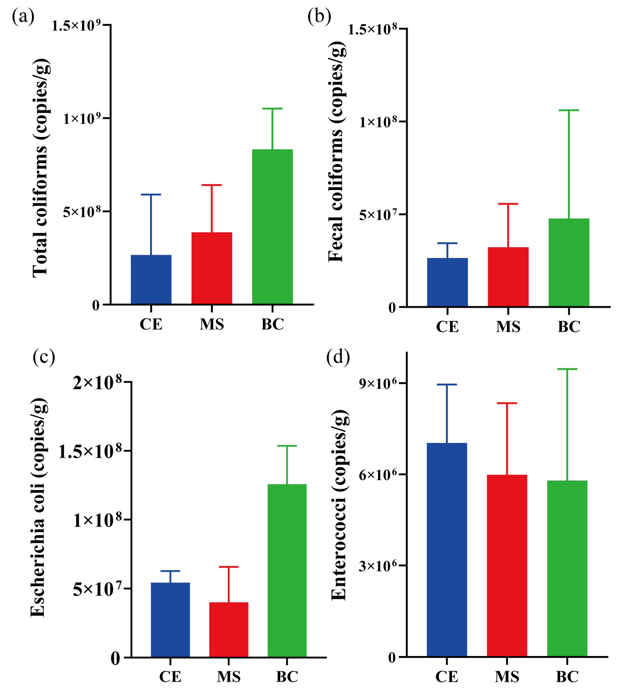
3.3. Removal of Fecal Indicator Bacteria (FIB)
3.4. Stratified Filtration Mechanisms and Synergistic Pollutant Removal in EG
3.4.1. Surface Properties and Nutrient Retention
3.4.2. Organic Matter Fractionation and Removal Pathways
3.4.3. Microbial Pathogen Sequestration at the Filler Interface
3.5. Integrated Pollutant Removal and Design Implications
4. Conclusions
Author Contributions
Funding
Institutional Review Board Statement
Informed Consent Statement
Data Availability Statement
Conflicts of Interest
References
- Barbosa, A.E.; Fernandes, J.N.; David, L.M. Key Issues for Sustainable Urban Stormwater Management. Water Res. 2012, 46, 6787–6798. [Google Scholar] [CrossRef] [PubMed]
- Solomon, S.D.; Qin, D.; Manning, M.; Chen, Z.; Marquis, M.; Avery, K.B.; Tignor, M.; Miller, H.L. Contribution of Working Group I to the Fourth Assessment Report of the Intergovernmental Panel on Climate Change; Cambridge University Press: Cambridge, UK, 2013. [Google Scholar]
- Acharyaa, A.; Piechotaa, T.C.; Acharyab, K. Characterization of First Flush Phenomenon in an Urban Stormwater Runoff: A Case Study of Flamingo Tropicana Watershed in Las Vegas Valley. In Proceedings of the World Environmental and Water Resources Congress 2010: Challenges of Change, Providence, RI, USA, 16–20 May 2010; pp. 3366–3375. [Google Scholar] [CrossRef]
- Chandrasena, G.I.; Deletic, A.; McCarthy, D.T. Survival of Escherichia Coli in Stormwater Biofilters. Environ. Sci. Pollut. Res. 2014, 21, 5391–5401. [Google Scholar] [CrossRef]
- Goorden, M.A.; Larsen, K.G.; Nielsen, J.E.; Nielsen, T.D.; Rasmussen, M.R.; Srba, J. Learning Safe and Optimal Control Strategies for Storm Water Detention Ponds⁎. IFAC-Pap. 2021, 54, 13–18. [Google Scholar] [CrossRef]
- Davis, A.P.; Hunt, W.F.; Traver, R.G.; Clar, M. Bioretention Technology: Overview of Current Practice and Future Needs. J. Environ. Eng. 2009, 135, 109–117. [Google Scholar] [CrossRef]
- Hatt, B.E.; Fletcher, T.D.; Deletic, A. Hydraulic and Pollutant Removal Performance of Fine Media Stormwater Filtration Systems. Environ. Sci. Technol. 2008, 42, 2535–2541. [Google Scholar] [CrossRef]
- Feng, W.; Hatt, B.E.; McCarthy, D.T.; Fletcher, T.D.; Deletic, A. Biofilters for Stormwater Harvesting: Understanding the Treatment Performance of Key Metals That Pose a Risk for Water Use. Environ. Sci. Technol. 2012, 46, 5100–5108. [Google Scholar] [CrossRef]
- Hill, A.R. Groundwater Nitrate Removal in Riparian Buffer Zones: A Review of Research Progress in the Past 20 Years. Biogeochemistry 2019, 143, 347–369. [Google Scholar] [CrossRef]
- Markiewicz, A.; Koda, E.; Kiraga, M.; Wrzesiński, G.; Kozanka, K.; Naliwajko, M.; Vaverková, M.D. Polymeric Products in Erosion Control Applications: A Review. Polymers 2024, 16, 2490. [Google Scholar] [CrossRef]
- Wang, P.; Ding, J.; He, Y.; Wang, D.; Cao, C.; Huang, M. Ecological Revetments for Enhanced Interception of Nonpoint Source Pollutants: A Review. Environ. Rev. 2020, 28, 262–268. [Google Scholar] [CrossRef]
- Makisha, N. Application of Biofilm Carrier in Aerobic Reactors as a Method to Improve Quality of Wastewater Treatment. Hydrology 2021, 8, 77. [Google Scholar] [CrossRef]
- Wang, R.; Liu, Y.; Luo, F.; Bai, G.; Tang, Y.; Fang, Q.; Zhu, J.; Li, B.; Liu, Z.; He, F.; et al. Synergistic Effect of Vermiculite and Submerged Plants on Lake Sediments. Water Biol. Secur. 2023, 2, 100181. [Google Scholar] [CrossRef]
- Cavaillé, P.; Dommanget, F.; Daumergue, N.; Loucougaray, G.; Spiegelberger, T.; Tabacchi, E.; Evette, A. Biodiversity Assessment Following a Naturality Gradient of Riverbank Protection Structures in French Prealps Rivers. Ecol. Eng. 2013, 53, 23–30. [Google Scholar] [CrossRef]
- Xia, H.; Yan, Z.; Huang, K.; Wang, B.; Li, T.; Chen, Q. Leaching Dynamics of Dissolved Organic Matter and Particulate Organic Matter in Stormwater Runoff from Floodplain Soils. J. Contam. Hydrol. 2025, 274, 104641. [Google Scholar] [CrossRef]
- Carini, P.; Marsden, P.J.; Leff, J.W.; Morgan, E.E.; Strickland, M.S.; Fierer, N. Relic DNA Is Abundant in Soil and Obscures Estimates of Soil Microbial Diversity. Nat. Microbiol. 2016, 2, 16242. [Google Scholar] [CrossRef] [PubMed]
- Duan, Z.; Zhu, Y.; Xia, H.; Huang, K.; Peng, L. A Novel Strategy for Eliminating Antibiotic Resistance Genes during Fertilization of Dewatered Sludge by Earthworms: Vermicomposting Practice Using Chinese Herbal Residues Derived from Lianhua Qingwen as a Bulking Material. J. Environ. Manag. 2024, 349, 119444. [Google Scholar] [CrossRef] [PubMed]
- Cui, G.; Bhat, S.A.; Li, W.; Wei, Y.; Kui, H.; Fu, X.; Gui, H.; Wei, C.; Li, F. Gut Digestion of Earthworms Significantly Attenuates Cell-Free and -Associated Antibiotic Resistance Genes in Excess Activated Sludge by Affecting Bacterial Profiles. Sci. Total Environ. 2019, 691, 644–653. [Google Scholar] [CrossRef]
- Maheux, A.F.; Boudreau, D.K.; Bisson, M.-A.; Dion-Dupont, V.; Bouchard, S.; Nkuranga, M.; Bergeron, M.G.; Rodriguez, M.J. Molecular Method for Detection of Total Coliforms in Drinking Water Samples. Appl. Environ. Microbiol. 2014, 80, 4074–4084. [Google Scholar] [CrossRef]
- Bernasconi, C.; Volponi, G.; Picozzi, C.; Foschino, R. Use of the Tna Operon as a New Molecular Target for Escherichia coli Detection. Appl. Environ. Microbiol. 2007, 73, 6321–6325. [Google Scholar] [CrossRef] [PubMed]
- Humus Chemistry: Genesis, Composition, Reactions, Second Edition (Stevenson, F.J.). J. Chem. Educ. 1995, 72, A93. [CrossRef]
- Thurman, E.M.; Malcolm, R.L. Preparative Isolation of Aquatic Humic Substances. Environ. Sci. Technol. 1981, 15, 463–466. [Google Scholar] [CrossRef]
- Six, J.; Elliott, E.T.; Paustian, K. Soil Structure and Soil Organic Matter II. A Normalized Stability Index and the Ef-fect of Mineralogy. Soil Sci. Soc. Am. J. 2000, 64, 1042–1049. [Google Scholar] [CrossRef]
- Chen, W.; Westerhoff, P.; Leenheer, J.A.; Booksh, K. Fluorescence Excitation−Emission Matrix Regional Integration to Quantify Spectra for Dissolved Organic Matter. Environ. Sci. Technol. 2003, 37, 5701–5710. [Google Scholar] [CrossRef] [PubMed]
- Yu, Z.; Tang, J.; Liao, H.; Liu, X.; Zhou, P.; Chen, Z.; Rensing, C.; Zhou, S. The Distinctive Microbial Community Improves Composting Efficiency in a Full-Scale Hyperthermophilic Composting Plant. Bioresour. Technol. 2018, 265, 146–154. [Google Scholar] [CrossRef]
- Vymazal, J. Removal of Nutrients in Various Types of Constructed Wetlands. Sci. Total Environ. 2007, 380, 48–65. [Google Scholar] [CrossRef]
- Rivett, M.O.; Buss, S.R.; Morgan, P.; Smith, J.W.N.; Bemment, C.D. Nitrate Attenuation in Groundwater: A Review of Biogeochemical Controlling Processes. Water Res. 2008, 42, 4215–4232. [Google Scholar] [CrossRef]
- Warneke, S.; Schipper, L.A.; Bruesewitz, D.A.; McDonald, I.; Cameron, S. Rates, Controls and Potential Adverse Effects of Nitrate Removal in a Denitrification Bed. Ecol. Eng. 2011, 37, 511–522. [Google Scholar] [CrossRef]
- Grasso*, D.; Subramaniam, K.; Butkus, M.; Strevett, K.; Bergendahl, J. A Review of Non-DLVO Interactions in Environmental Colloidal Systems. Rev. Environ. Sci. Bio/Technol. 2002, 1, 17–38. [Google Scholar] [CrossRef]
- Vohla, C.; Kõiv, M.; Bavor, H.J.; Chazarenc, F.; Mander, Ü. Filter Materials for Phosphorus Removal from Wastewater in Treatment Wetlands—A Review. Ecol. Eng. 2011, 37, 70–89. [Google Scholar] [CrossRef]
- Cucarella, V.; Renman, G. Phosphorus Sorption Capacity of Filter Materials Used for On-site Wastewater Treatment Determined in Batch Experiments–A Comparative Study. J. Environ. Qual. 2009, 38, 381–392. [Google Scholar] [CrossRef]
- Huang, F.; Graham, N.J.D.; Su, Z.; Xu, L.; Yu, W. Capabilities of Microbial Consortia from Disparate Environment Matrices in the Decomposition of Nature Organic Matter by Biofiltration. Water Res. 2024, 262, 122047. [Google Scholar] [CrossRef]
- Stanley, E.H.; Powers, S.M.; Lottig, N.R.; Buffam, I.; Crawford, J.T. Contemporary Changes in Dissolved Organic Carbon (DOC) in Human-dominated Rivers: Is There a Role for DOC Management? Freshw. Biol. 2012, 57, 26–42. [Google Scholar] [CrossRef]
- Fellman, J.B.; Hood, E.; Spencer, R.G.M. Fluorescence Spectroscopy Opens New Windows into Dissolved Organic Matter Dynamics in Freshwater Ecosystems: A Review. Limnol. Oceanogr. 2010, 55, 2452–2462. [Google Scholar] [CrossRef]
- Boguta, P.; Cybulak, M.; Sokołowska, Z.; Zarzycki, R.; Kacprzak, A.; Kobyłecki, R. Quality and Quantity of Humic-like and Fulvic-like Acids Entrapped in Biochars—The Effect of Various Forestry Feedstock and Pyrolysis Temperature of Biochars. Fuel 2023, 333, 126405. [Google Scholar] [CrossRef]
- Tien, C.; Ramarao, B.V. (Eds.) Granular Filtration of Aerosols and Hydrosols, 2nd ed.; Butterworths Series in Chemical Engineering; Butterworths: Boston, MA, USA, 2007. [Google Scholar]
- Cui, Y.; Wooster, J.K.; Baker, P.F.; Dusterhoff, S.R.; Sklar, L.S.; Dietrich, W.E. Theory of Fine Sediment Infiltration into Immobile Gravel Bed. J. Hydraul. Eng. 2008, 134, 1421–1429. [Google Scholar] [CrossRef]
- Shammi, M.; Rahman, M.M.; Tareq, S.M. Distribution of Bioaerosols in Association with Particulate Matter: A Review on Emerging Public Health Threat in Asian Megacities. Front. Environ. Sci. 2021, 9, 698215. [Google Scholar] [CrossRef]
- Zhao, D.; Liu, X.; Shen, Z. Effect of Oxygen-Containing Functional Groups on the Wettability of Coal through DFT and MD Simulation. Arab. J. Chem. 2023, 16, 104606. [Google Scholar] [CrossRef]
- Galbraith, P.; Henry, R.; McCarthy, D.T. Rise of the Killer Plants: Investigating the Antimicrobial Activity of Australian Plants to Enhance Biofilter-Mediated Pathogen Removal. J. Biol. Eng. 2019, 13, 52. [Google Scholar] [CrossRef]
- Zhang, N.; Liang, C.; Kan, P.; Yangyao, J.; Lu, D.; Yao, Z.; Gan, H.; Zhu, D.Z. Indigenous Microbial Community Governs the Survival of Escherichia Coli O157:H7 in Constructed Wetlands. J. Environ. Manag. 2023, 334, 117524. [Google Scholar] [CrossRef] [PubMed]
- Sousa, V.H.F.D.; Chaves, M.T.R.; Silva, R.F.D.S.; Pessoa, K.D.A.R.; Araújo, R.D.S.; Farias, T.R.L.; Eloi, W.M. Bench-Scale Bioretention Systems: Potential of Substrates with and without Coconut Fiber for Plant Growth Development. J. Environ. Manag. 2025, 377, 124512. [Google Scholar] [CrossRef]
- Lee, D.-J.; Cheng, Y.-L.; Wong, R.-J.; Wang, X.-D. Adsorption Removal of Natural Organic Matters in Waters Using Biochar. Bioresour. Technol. 2018, 260, 413–416. [Google Scholar] [CrossRef]
- Mažeikienė, A.; Šarko, J. Removal of Nitrogen and Phosphorus from Wastewater Using Layered Filter Media. Sustainability 2022, 14, 10713. [Google Scholar] [CrossRef]
- Sun, Y.; Xiong, X.; He, M.; Xu, Z.; Hou, D.; Zhang, W.; Ok, Y.S.; Rinklebe, J.; Wang, L.; Tsang, D.C.W. Roles of Biochar-Derived Dissolved Organic Matter in Soil Amendment and Environmental Remediation: A Critical Review. Chem. Eng. J. 2021, 424, 130387. [Google Scholar] [CrossRef]
- Han, Z.; Xiong, J.; Zhou, J.; Wang, Z.; Hu, T.; Xu, J. Microplastics Removal from Stormwater Runoff by Bioretention Cells: A Review. J. Environ. Sci. 2025, 154, 73–90. [Google Scholar] [CrossRef]
- Tan, Z.; Lin, C.S.K.; Ji, X.; Rainey, T.J. Returning Biochar to Fields: A Review. Appl. Soil Ecol. 2017, 116, 1–11. [Google Scholar] [CrossRef]
- Bai, W.-K.; Dang, F.-N.; Zhu, W.-W.; Yao, Y.; Xue, H.-B.; Gao, J. Investigation of the Impact of Particle Shape on Pore Structures and Clogging Properties of Filter Layers. Appl. Sci. 2025, 15, 4563. [Google Scholar] [CrossRef]
- Qiu, B.; Shao, Q.; Shi, J.; Yang, C.; Chu, H. Application of Biochar for the Adsorption of Organic Pollutants from Wastewater: Modification Strategies, Mechanisms and Challenges. Sep. Purif. Technol. 2022, 300, 121925. [Google Scholar] [CrossRef]
- Kumari, S.; Dong, Y.; Safferman, S.I. Phosphorus Adsorption and Recovery from Waste Streams Using Biochar: Review of Mechanisms, Modifications, and Agricultural Applications. Appl. Water Sci. 2025, 15, 162. [Google Scholar] [CrossRef]
- Davis, A.P.; Shokouhian, M.; Sharma, H.; Minami, C. Water Quality Improvement through Bioretention Media: Nitrogen and Phosphorus Removal. Water Environ. Res. 2006, 78, 284–293. [Google Scholar] [CrossRef] [PubMed]
- Chen, X.; Wang, R.; Chen, F.; Styszko, K. Transport and Removal of Viruses in Soil: Evaluating Low-Cost Filtering Materials for Groundwater Protection. J. Hazard. Mater. 2025, 496, 139538. [Google Scholar] [CrossRef]
- Uneputty, A.; Dávila-Lezama, A.; Garibo, D.; Oknianska, A.; Bogdanchikova, N.; Hernández-Sánchez, J.F.; Susarrey-Arce, A. Strategies Applied to Modify Structured and Smooth Surfaces: A Step Closer to Reduce Bacterial Adhesion and Biofilm Formation. Colloid Interface Sci. Commun. 2022, 46, 100560. [Google Scholar] [CrossRef]
- Scheiner, S.M.; Gurevitch, J. (Eds.) Design and Analysis of Ecological Experiments, 2nd ed.; Oxford University Press: Oxford, UK; New York, NY, USA, 2001. [Google Scholar]
- Wang, M.; Zhu, J.; Mao, X. Removal of Pathogens in Onsite Wastewater Treatment Systems: A Review of Design Considerations and Influencing Factors. Water 2021, 13, 1190. [Google Scholar] [CrossRef]
- Costerton, J.W.; Lewandowski, Z.; Caldwell, D.E.; Korber, D.R.; Lappin-Scott, H.M. MICROBIAL BIOFILMS. Annu. Rev. Microbiol. 1995, 49, 711–745. [Google Scholar] [CrossRef] [PubMed]
- Knowles, P.; Dotro, G.; Nivala, J.; García, J. Clogging in Subsurface-Flow Treatment Wetlands: Occurrence and Contributing Factors. Ecol. Eng. 2011, 37, 99–112. [Google Scholar] [CrossRef]
- Tchobanoglous, G.; Stensel, H.D.; Tsuchihashi, R.; Burton, F.L.; Abu-Orf, M.; Bowden, G.; Pfrang, W.; Eddy, M. (Eds.) Wastewater Engineering: Treatment and Resource Recovery, 5th ed.; McGraw-Hill Education: New York, NY, USA, 2014. [Google Scholar]









| Physicochemical Index | Soil |
|---|---|
| pH | 8.12 ± 0.19 |
| Electrical Conductivity (μS/cm) | 166.60 ± 0.51 |
| Ammonia Nitrogen (mg/g) | 0.36 ± 0.01 |
| Nitrate Nitrogen (g/g) | 0.15 ± 0.01 |
| Total Nitrogen (g/g) | 2.00 ± 0.21 |
| Total Phosphorus (g/g) | 0.29 ± 0.01 |
| Moisture Content (%) | 11.46 ± 0.13 |
| Organic Matter Content (%) | 10.03 ± 0.16 |
| Pathogenic Microorganisms | Function | Sequence (5′→3′) | Reference |
|---|---|---|---|
| Total coliforms | Forward primer | GTTGTAAAGCACTTTGAGTGGTGAGGAAGG | [16] |
| Reverse primer | GCCTCAAGGGCACAACCTCCAAG | ||
| Fecal coliforms | Forward primer | AGAGTTTGATCCTGGCTCAG | [19] |
| Reverse primer | CGGGTAACGTCAATGAGCAAA | ||
| Escherichia coli | Forward primer | GGGGCGGTGACGCAG | [20] |
| Reverse primer | CCTGGTGAGTCGGAATGGTG | ||
| Probe † | CGATGATGCGCGGCG | ||
| Enterococcus spp. | Forward primer | TCTCATCGGCTCCTACCTATC | [16] |
| Reverse primer | AAGCTGTGGACTACACCATTAG |
Disclaimer/Publisher’s Note: The statements, opinions and data contained in all publications are solely those of the individual author(s) and contributor(s) and not of MDPI and/or the editor(s). MDPI and/or the editor(s) disclaim responsibility for any injury to people or property resulting from any ideas, methods, instructions or products referred to in the content. |
© 2026 by the authors. Licensee MDPI, Basel, Switzerland. This article is an open access article distributed under the terms and conditions of the Creative Commons Attribution (CC BY) license.
Share and Cite
Gao, S.; Li, P.; Zhao, Z.; Zhang, L.; Huang, K.; Chai, X. Simultaneous Removal of Organic Pollutants and Pathogens from Stormwater by an Enhanced Ecological Gabion. Toxics 2026, 14, 247. https://doi.org/10.3390/toxics14030247
Gao S, Li P, Zhao Z, Zhang L, Huang K, Chai X. Simultaneous Removal of Organic Pollutants and Pathogens from Stormwater by an Enhanced Ecological Gabion. Toxics. 2026; 14(3):247. https://doi.org/10.3390/toxics14030247
Chicago/Turabian StyleGao, Shuhui, Pingping Li, Zizheng Zhao, Luobin Zhang, Kui Huang, and Xiaojun Chai. 2026. "Simultaneous Removal of Organic Pollutants and Pathogens from Stormwater by an Enhanced Ecological Gabion" Toxics 14, no. 3: 247. https://doi.org/10.3390/toxics14030247
APA StyleGao, S., Li, P., Zhao, Z., Zhang, L., Huang, K., & Chai, X. (2026). Simultaneous Removal of Organic Pollutants and Pathogens from Stormwater by an Enhanced Ecological Gabion. Toxics, 14(3), 247. https://doi.org/10.3390/toxics14030247
